中文English
ISSN 1001-5256 (Print)
ISSN 2097-3497 (Online)
CN 22-1108/R
Volume 39 Issue 6
Jun.  2023
Turn off MathJax
Article Contents

Value of atherogenic index of plasma in predicting metabolic associated fatty liver disease in patients with type 2 diabetes mellitus

DOI: 10.3969/j.issn.1001-5256.2023.06.012
Research funding:

Science and Technology Research Project of Henan Province (212102310204)

More Information
  • Corresponding author: WANG Shoujun, wangshoujun02@126.com (ORCID: 0000-0002-0209-8545)
  • Received Date: 2022-12-01
  • Accepted Date: 2022-12-29
  • Published Date: 2023-06-20
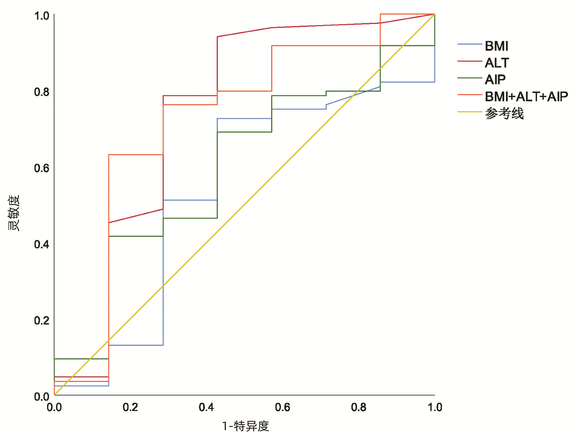
  •   Objective  To investigate the association between atherogenic index of plasma (AIP) and metabolic associated fatty liver (MAFLD) in type 2 diabetes mellitus (T2DM).  Methods  A total of 375 patients with T2DM who were hospitalized and treated in Department of Endocrinology, The First Affiliated Hospital of Zhengzhou University, from September 2021 to September 2022 were enrolled, and according to the presence or absence of MAFLD, they were divided into T2DM+MAFLD group with 245 patients and T2DM group with 130 patients. Related clinical data were recorded, and AIP was calculated. According to the quartiles of AIP, the patients were divided into Q1 group (AIP≤0.20), Q2 group (0.20 < AIP≤0.24), Q3 group (0.24 < AIP≤0.48), and Q4 group (AIP > 0.48). The independent-samples t test was used for comparison of normally distributed continuous data between groups, and the Wilcoxon rank-sum test was used for comparison of non-normally distributed continuous data between groups; the trend chi-square test was used for the trend analysis of categorical data. The multivariate logistic regression analysis was used to investigate the effect of AIP on MAFLD, and the receiver operating characteristic (ROC) curve and the area under the ROC curve (AUC) were used to assess the value of the indicators such as AIP, body mass index (BMI), and alanine aminotransferase (ALT) in predicting T2DM with MAFLD.  Results  Compared with the T2DM group, the T2DM+MAFLD group had significant increases in BMI, systolic pressure, uric acid, fasting blood glucose, glycosylated hemoglobin, ALT, aspartate aminotransferase, gamma-glutamyl transpeptidase, alkaline phosphatase, triglyceride, low-density lipoprotein, and AIP and a significant reduction in high-density lipoprotein (all P < 0.05). The trend chi-square test showed that the prevalence rate of MAFLD in T2DM patients tended to increase with the increase in AIP level (χtrend2=20.338, P < 0.05). The multivariate logistic regression analysis showed that compared with the Q1 group, the Q4 group had a significant increase in the risk of MAFLD (odds ratio =2.396, 95% confidence interval: 1.018-5.640, P=0.045). The ROC curve analysis showed that the diagnostic model of AIP combined with BMI and ALT had the best diagnostic performance (AUC=0.816), with a sensitivity of 70.2% and a specificity of 78.5% at the optimal cut-off value of 0.670.  Conclusion  AIP is an independent risk factor for MAFLD in T2DM patients, and AIP combined with BMI and ALT has a good predictive value for T2DM with MAFLD.

     

  • loading
  • [1]
    de ALWIS NM, DAY CP. Non-alcoholic fatty liver disease: the mist gradually clears[J]. J Hepatol, 2008, 48(Suppl 1): S104-S112. DOI: 10.1016/j.jhep.2008.01.009.
    [2]
    CHALASANI N, YOUNOSSI Z, LAVINE JE, et al. The diagnosis and management of non-alcoholic fatty liver disease: practice Guideline by the American Association for the Study of Liver Diseases, American College of Gastroenterology, and the American Gastroenterological Association[J]. Hepatology, 2012, 55(6): 2005-2023. DOI: 10.1002/hep.25762.
    [3]
    DOU KF, YANG XS. Surgeons should attach importance to the understanding of metabolic associated fatty liver disease[J]. Chin J Dig Surg, 2021, 20(1): 40-45. DOI: 10.3760/cma.j.cn115610-20201214-00780.

    窦科峰, 杨西胜. 外科医师应重视对代谢相关脂肪性肝病的认识[J]. 中华消化外科杂志, 2021, 20(1): 40-45. DOI: 10.3760/cma.j.cn115610-20201214-00780.
    [4]
    XUE R, FAN JG. Brief introduction of an international expert consensus statement: A new definition of metabolic associated fatty liver disease[J]. J Clin Hepatol, 2020, 36(6): 1224-1227. DOI: 10.3969/j.issn.1001-5256.2020.06.007.

    薛芮, 范建高. 代谢相关脂肪性肝病新定义的国际专家共识简介[J]. 临床肝胆病杂志, 2020, 36(6): 1224-1227. DOI: 10.3969/j.issn.1001-5256.2020.06.007.
    [5]
    YOUNOSSI ZM, GOLABI P, de AVILA L, et al. The global epidemiology of NAFLD and NASH in patients with type 2 diabetes: A systematic review and meta-analysis[J]. J Hepatol, 2019, 71(4): 793-801. DOI: 10.1016/j.jhep.2019.06.021.
    [6]
    FERNÁNDEZ-MACÍAS JC, OCHOA-MARTÍNEZ AC, VARELA-SILVA JA, et al. Atherogenic index of plasma: Novel predictive biomarker for cardiovascular illnesses[J]. Arch Med Res, 2019, 50(5): 285-294. DOI: 10.1016/j.arcmed.2019.08.009.
    [7]
    CHANG Y, LI Y, GUO X, et al. The association of ideal cardiovascular health and atherogenic index of plasma in rural population: A cross-sectional study from Northeast China[J]. Int J Environ Res Public Health, 2016, 13(10): 1027. DOI: 10.3390/ijerph13101027.
    [8]
    LIU H, LIU K, PEI L, et al. Atherogenic index of plasma predicts outcomes in acute ischemic stroke[J]. Front Neurol, 2021, 12: 741754. DOI: 10.3389/fneur.2021.741754.
    [9]
    World Health Organization. Definition, diagnosis and classification of diabetes mellitus and its complications: report of a WHO consultation. Part 1, Diagnosis and classification of diabetes mellitus[R]. World health organization, 1999.
    [10]
    XIE J, YANG M, XING Y. Effects of liraglutide on glucose and lipid metabolism and insulin resistance in type 2 diabetes mellitus patients with non-alcoholic fatty liver disease[J/CD]. Chin J Liver Dis (Electronic Version), 2021, 13(4): 46-53. DOI: 10.3969/j.issn.1674-7380.2021.04.008.

    谢晶, 杨淼, 邢英. 利拉鲁肽对2型糖尿病合并非酒精性脂肪性肝病患者糖脂代谢及胰岛素抵抗的影响[J/CD]. 中国肝脏病杂志(电子版), 2021, 13(4): 46-53. DOI: 10.3969/j.issn.1674-7380.2021.04.008.
    [11]
    ZHOU F, ZHOU J, WANG W, et al. Unexpected rapid increase in the burden of NAFLD in China From 2008 to 2018: A systematic review and meta-analysis[J]. Hepatology, 2019, 70(4): 1119-1133. DOI: 10.1002/hep.30702.
    [12]
    DEWIDAR B, KAHL S, PAFILI K, et al. Metabolic liver disease in diabetes - From mechanisms to clinical trials[J]. Metabolism, 2020, 111S: 154299. DOI: 10.1016/j.metabol.2020.154299.
    [13]
    XIE F, ZHOU H, WANG Y. Atherogenic index of plasma is a novel and strong predictor associated with fatty liver: a cross-sectional study in the Chinese Han population[J]. Lipids Health Dis, 2019, 18(1): 170. DOI: 10.1186/s12944-019-1112-6.
    [14]
    SAMIMI S, RAJABZADEH S, RABIZADEH S, et al. Atherogenic index of plasma is an independent predictor of metabolic-associated fatty liver disease in patients with type 2 diabetes[J]. Eur J Med Res, 2022, 27(1): 112. DOI: 10.1186/s40001-022-00731-x.
    [15]
    SCHREUDER TC, VERWER BJ, van NIEUWKERK CM, et al. Nonalcoholic fatty liver disease: an overview of current insights in pathogenesis, diagnosis and treatment[J]. World J Gastroenterol, 2008, 14(16): 2474-2486. DOI: 10.3748/wjg.14.2474.
    [16]
    STEFAN N, KANTARTZIS K, HÄRING HU. Causes and metabolic consequences of fatty liver[J]. Endocr Rev, 2008, 29(7): 939-960. DOI: 10.1210/er.2008-0009.
    [17]
    POSTIC C, GIRARD J. Contribution of de novo fatty acid synthesis to hepatic steatosis and insulin resistance: lessons from genetically engineered mice[J]. J Clin Invest, 2008, 118(3): 829-838. DOI: 10.1172/JCI34275.
    [18]
    ABBASI F, REAVEN GM. Comparison of two methods using plasma triglyceride concentration as a surrogate estimate of insulin action in nondiabetic subjects: triglycerides×glucose versus triglyceride/high-density lipoprotein cholesterol[J]. Metabolism, 2011, 60(12): 1673-1676. DOI: 10.1016/j.metabol.2011.04.006.
    [19]
    DONG BY, MAO YQ, LI ZY, et al. The value of the atherogenic index of plasma in non-obese people with non-alcoholic fatty liver disease: a secondary analysis based on a cross-sectional study[J]. Lipids Health Dis, 2020, 19(1): 148. DOI: 10.1186/s12944-020-01319-2.
    [20]
    FRACANZANI AL, PETTA S, LOMBARDI R, et al. Liver and cardiovascular damage in patients with lean nonalcoholic fatty liver disease, and association with visceral obesity[J]. Clin Gastroenterol Hepatol, 2017, 15(10): 1604-1611. e1. DOI: 10.1016/j.cgh.2017.04.045.
    [21]
    GAWRIEH S, WILSON LA, CUMMINGS OW, et al. Histologic findings of advanced fibrosis and cirrhosis in patients with nonalcoholic fatty liver disease who have normal aminotransferase levels[J]. Am J Gastroenterol, 2019, 114(10): 1626-1635. DOI: 10.14309/ajg.0000000000000388.
    [22]
    CHEN JF, QIN Q, WU ZQ, et al. A cohort study on the correlation between alanine aminotransferase trajectories and new-onset metabolic fatty liver disease[J]. Chin J Epidemiol, 2022, 43(2): 234-240. DOI: 10.3760/cma.j.cn112338-20210809-00621.

    陈静锋, 秦迁, 吴卓青, 等. 谷丙转氨酶轨迹与新发代谢相关脂肪性肝病相关性的队列研究[J]. 中华流行病学杂志, 2022, 43(2): 234-240. DOI: 10.3760/cma.j.cn112338-20210809-00621.
  • 加载中

Catalog

    通讯作者: 陈斌, bchen63@163.com
    • 1. 

      沈阳化工大学材料科学与工程学院 沈阳 110142

    1. 本站搜索
    2. 百度学术搜索
    3. 万方数据库搜索
    4. CNKI搜索

    Figures(4)  / Tables(3)

    Article Metrics

    Article views (674) PDF downloads(51) Cited by()
    Proportional views
    Related

    /

    DownLoad:  Full-Size Img  PowerPoint
    Return
    Return