中文English
ISSN 1001-5256 (Print)
ISSN 2097-3497 (Online)
CN 22-1108/R
Volume 39 Issue 8
Aug.  2023
Turn off MathJax
Article Contents

Construction and analysis of a noninvasive diagnostic model for steatohepatitis in metabolic associated fatty liver disease

DOI: 10.3969/j.issn.1001-5256.2023.08.014
Research funding:

The Thirteenth Five-Year Plan for Major and Special Programs of the National Science and Technology of China (2018ZX10725506-003);

The Thirteenth Five-Year Plan for Major and Special Programs of the National Science and Technology of China (2018ZX10725505-004);

The Specific Research Fund for TCM Science and Technology of Guangdong Provincial Hospital of Chinese Medicine (YN2022DB04);

The Specific Research Fund for TCM Science and Technology of Guangdong Provincial Hospital of Chinese Medicine (YN10101903);

Chi Xiaoling National Famous Traditional Chinese Medicine Expert Inheritance Studio (Teaching Letter from State Traditional Chinese Medicine Office (2022-75));

Open Project of State Key Laboratory of Dampness Syndrome of Chinese Medicine (SZ2021KF08)

More Information
  • Corresponding author: CHI Xiaoling, chixiaolingqh@163.com (ORCID: 0000-0003-3193-1943)
  • Received Date: 2022-12-30
  • Accepted Date: 2023-02-13
  • Published Date: 2023-08-20
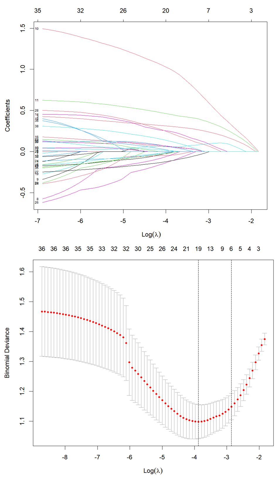
  •   Objective  To establish a diagnostic model for steatohepatitis in metabolic associated fatty liver disease (MAFLD) based on LASSO and logistic regression analyses by using general clinical data, serological parameters, and noninvasive liver elastography, and to evaluate the diagnostic value of this model.  Methods  A total of 299 patients who were diagnosed with MAFLD and underwent liver biopsy in Guangdong Provincial Hospital of Traditional Chinese Medicine from January 2018 to December 2021 were enrolled as subjects, and according to NAS score, they were divided into steatohepatitis group with 170 patients and non-steatohepatitis group with 129 patients. The LASSO regression analysis and the multivariate logistic regression analysis were used to identify the influencing factors for steatohepatitis in MAFLD, and a noninvasive diagnostic model was established, visualized in the form of nomogram, and internally validated by the enhanced Bootstrap method. The receiver operating characteristic (ROC) curve and the calibration curve were plotted for the model, and its diagnostic efficacy was observed in the MAFLD+NAFLD and MAFLD+cHBVi subgroups, which was then compared with other diagnostic models. The chi-square test was used for comparison of categorical data between groups; the independent-samples t test was used for comparison of normally distributed continuous data between groups, and the Mann-Whitney U test was used for comparison of non-normally distributed continuous data between groups. A multivariate logistic regression analysis was used to determine optimal diagnostic factors, and a nomogram diagnostic model was established; the ROC curve was plotted, and the area under the ROC curve (AUC) was calculated; the enhanced Bootstrap method was used for internal validation of the model, and the calibration curve was plotted to show the level of calibration.  Results  There were significant differences between the two groups in body mass index (BMI), alanine aminotransferase, aspartate aminotransferase (AST), adenosine deaminase, alkaline phosphatase, gamma-glutamyl transpeptidase, total bile acid, total carbon dioxide concentration, uric acid, HbA1c (all P < 0.05). As for FibroScan, there were significant differences between the two groups in liver stiffness measurement (LSM) and controlled attenuation parameter (CAP) (both P < 0.001); as for pathology, there were significant differences between the two groups in fibrosis degree, steatosis score, lobular inflammation score, ballooning degeneration score, and total NAS score (all P < 0.001). In the subgroup analysis, there were 63 patients with steatohepatitis and 48 patients without steatohepatitis in the MAFLD+NAFLD group, and there were 90 patients with steatohepatitis and 71 patients without steatohepatitis in the MAFLD+cHBVi group. The LASSO regression analysis showed that LSM, CAP, BMI, and AST were the best diagnostic factors for the presence or absence of steatohepatitis in MAFLD patients, and the LCBA model was established based on these indices. The LCBA model showed an AUC of 0.816 in the total MAFLD population, 0.866 in the MAFLD+NAFLD population, and 0.764 in the MAFLD+cHBVi population (all P < 0.001), and comparisons based on the ROC curve showed that they were superior to the acNASH, HSI, and NFS models.  Conclusion  The LCBA model has a stable performance in the diagnosis of steatohepatitis in patients with MAFLD and is superior to acNASH, HSI, and NFS. Therefore, it holds promise for clinical application.

     

  • loading
  • [1]
    ESLAM M, NEWSOME PN, SARIN SK, et al. A new definition for metabolic dysfunction-associated fatty liver disease: An international expert consensus statement[J]. J Hepatol, 2020, 73(1): 202-209. DOI: 10.1016/j.jhep.2020.03.039.
    [2]
    KOLAKOWSKI A, DZIEMITKO S, CHMIELECKA A, et al. Molecular Advances in MAFLD—A Link between Sphingolipids and Extracellular Matrix in Development and Progression to Fibrosis[J]. Int J Mol Sci, 2022, 23(19): 11380. DOI: 10.3390/ijms231911380.
    [3]
    MA YQ, XIE YP, LAING XY, et al. Study on the expression characteristics of serum leptin and receptor genes in patients with non-alcoholic fatty liver disease and cirrhosis[J]. Clin J Med Offic, 2021, 49(8): 930-932. DOI: 10.16680/j.1671-3826.2021.08.28.

    马艳芹, 谢永鹏, 梁旭阳, 等. 非酒精性脂肪肝转归肝硬化患者血清瘦素及受体基因表达特征研究[J]. 临床军医杂志, 2021, 49(8): 930-932. DOI: 10.16680/j.1671-3826.2021.08.28.
    [4]
    DOU KF, YANG XS. Surgeons should attach importance to the understanding of metabolic associated fatty liver disease[J]. Chin J Dig Surg, 2021, 20(1): 40-45. DOI: 10.3760/cma.j.cn115610-20201214-00780.

    窦科峰, 杨西胜. 外科医师应重视对代谢相关脂肪性肝病的认识[J]. 中华消化外科杂志, 2021, 20(1): 40-45. DOI: 10.3760/cma.j.cn115610-20201214-00780.
    [5]
    Chinese Society of Hepatology, Chinese Medical Association; Chiese Society of Gastroenterology, Chinese Medical Association; Chinese Society of Infectious Diseases, Chinese Medical Association. Consensus on the diagnosis and therapy of hepatic fibrosis(2019)[J]. J CIin HepatoI, 2019, 35(10): 2163-2172. DOI: 10.3969/j.issn.1001-5256.2019.10.007.

    中华医学会肝病学分会, 中华医学会消化病学分会, 中华医学会感染病学分会. 肝纤维化诊断及治疗共识(2019年)[J]. 临床肝胆病杂志, 2019, 35(10): 2163-2172. DOI: 10.3969/j.issn.1001-5256.2019.10.007.
    [6]
    NLÁ S, VARELA-CHINCHILLA CD, TRINIDAD-CALDERÓN PA. MAFLD/NAFLD biopsy-free scoring systems for hepatic steatosis, NASH, and fibrosis diagnosis[J]. Front Med (Lausanne), 2021, 8: 774079. DOI: 10.3389/fmed.2021.774079.
    [7]
    OTGONSUREN M, ESTEP MJ, HOSSAIN N, et al. Single non-invasive model to diagnose non-alcoholic fatty liver disease (NAFLD) and non-alcoholic steatohepatitis (NASH)[J]. J Gastroenterol Hepatol, 2014, 29(12): 2006-2013. DOI: 10.1111/jgh.12665.
    [8]
    ESLAM M, SARIN SK, WONG VW, et al. The Asian Pacific Association for the Study of the Liver clinical practice guidelines for the diagnosis and management of metabolic associated fatty liver disease[J]. Hepatol Int, 2020, 14(6): 889-919. DOI: 10.1007/s12072-020-10094-2.
    [9]
    KLEINER DE, BRUNT EM, van NATTA M, et al. Design and validation of a histological scoring system for nonalcoholic fatty liver disease[J]. Hepatology, 2005, 41(6): 1313-1321. DOI: 10.1002/hep.20701
    [10]
    National Workshop on Fatty Liver and Alcoholic Liver Disease, Chinese Society of Hepatology, Chinese Medical Association; Fatty Liver Expert Committee, Chinese Medical Doctor Association. Guidelines of prevention and treatment for nonalcoholic fatty liver disease: a 2018 update[J]. J CIin HepatoI, 2018, 34(5): 947-957. DOI: 10.3969/j.issn.1001-5256.2018.05.007.

    中华医学会肝病学分会脂肪肝和酒精性肝病学组, 中国医师协会脂肪性肝病专家委员会. 非酒精性脂肪性肝病防治指南(2018年更新版)[J]. 临床肝胆病杂志, 2018, 34(5): 947-957. DOI: 10.3969/j.issn.1001-5256.2018.05.007.
    [11]
    Chinese Society of Infectious Diseases, Chinese Medical Association; Chinese Society of Hepatology, Chinese Medical Association. Guidelines for the prevention and treatment of chronic hepatitis B (version 2019)[J]. J CIin HepatoI, 2019, 35(12): 2648-2669. DOI: 10.3969/j.issn.1001-5256.2019.12.007.

    中华医学会感染病学分会, 中华医学会肝病学分会. 慢性乙型肝炎防治指南(2019年版)[J]. 临床肝胆病杂志, 2019, 35(12): 2648-2669. DOI: 10.3969/j.issn.1001-5256.2019.12.007.
    [12]
    Consensus expert committee on clinical application of transient elastography(TE). Expert consensus on clinical application of transient elastography (TE) (2015)[J/CD]. Chin J Liver Dis: Electronic Edition, 2015, 7(2): 12-18. DOI: 10.3969/j.issn.1674-7380.2015.02.002.

    瞬时弹性成像技术(TE)临床应用共识专家委员会. 瞬时弹性成像技术(TE)临床应用专家共识(2015年)[J/CD]. 中国肝脏病杂志(电子版), 2015, 7(2): 12-18. DOI: 10.3969/j.issn.1674-7380.2015.02.002.
    [13]
    WU XX, ZHENG KI, BOURSIER J, et al. acNASH index to diagnose nonalcoholic steatohepatitis: a prospective derivation and global validation study[J]. EClinicalMedicine, 2021, 41: 101145. DOI: 10.1016/j.eclinm.2021.101145.
    [14]
    YOUNOSSI Z, TACKE F, ARRESE M, et al. Global perspectives on nonalcoholic fatty liver disease and nonalcoholic steatohepatitis[J]. Hepatology, 2019, 69(6): 2672-2682. DOI: 10.1002/hep.30251.
    [15]
    YOUNOSSI ZM, KOENIG AB, ABDELATIF D, et al. Global epidemiology of nonalcoholic fatty liver disease-Meta-analytic assessment of prevalence, incidence, and outcomes[J]. Hepatology, 2016, 64(1): 73-84. DOI: 10.1002/hep.28431.
    [16]
    NEWSOME PN, SASSO M, DEEKS JJ, et al. FibroScan-AST (FAST) score for the non-invasive identification of patients with non-alcoholic steatohepatitis with significant activity and fibrosis: a prospective derivation and global validation study[J]. Lancet Gastroenterol Hepatol, 2020, 5(4): 362-373. DOI: 10.1016/S2468-1253(19)30383-8.
    [17]
    CAO YT, XIANG LL, QI F, et al. Accuracy of controlled attenuation parameter (CAP) and liver stiffness measurement (LSM) for assessing steatosis and fibrosis in non-alcoholic fatty liver disease: A systematic review and meta-analysis[J]. EClinicalMedicine, 2022, 51: 101547. DOI: 10.1016/j.eclinm.2022.101547.
    [18]
    TAYLOR RS, TAYLOR RJ, BAYLISS S, et al. Association between fibrosis stage and outcomes of patients with nonalcoholic fatty liver disease: A systematic review and meta-analysis[J]. Gastroenterology, 2020, 158(6): 1611-1625. e12. DOI: 10.1053/j.gastro.2020.01.043.
    [19]
    HAGSTRÖM H, NASR P, EKSTEDT M, et al. Fibrosis stage but not NASH predicts mortality and time to development of severe liver disease in biopsy-proven NAFLD[J]. J Hepatol, 2017, 67(6): 1265-1273. DOI: 10.1016/j.jhep.2017.07.027.
    [20]
    VILALTA A, GUTIÉRREZ JA, CHAVES S, et al. Adipose tissue measurement in clinical research for obesity, type 2 diabetes and NAFLD/NASH[J]. Endocrinol Diabetes Metab, 2022, 5(3): e00335. DOI: 10.1002/edm2.335.
    [21]
    HORN CL, MORALES AL, SAVARD C, et al. Role of cholesterol-associated steatohepatitis in the development of NASH[J]. Hepatol Commun, 2022, 6(1): 12-35. DOI: 10.1002/hep4.1801.
    [22]
    LIM S, KIM JW, TARGHER G. Links between metabolic syndrome and metabolic dysfunction-associated fatty liver disease[J]. Trends Endocrinol Metab, 2021, 32(7): 500-514. DOI: 10.1016/j.tem.2021.04.008.
    [23]
    KWO PY, COHEN SM, LIM JK. ACG clinical guideline: evaluation of abnormal liver chemistries[J]. Am J Gastroenterol, 2017, 112(1): 18-35. DOI: 10.1038/ajg.2016.517.
  • 加载中

Catalog

    通讯作者: 陈斌, bchen63@163.com
    • 1. 

      沈阳化工大学材料科学与工程学院 沈阳 110142

    1. 本站搜索
    2. 百度学术搜索
    3. 万方数据库搜索
    4. CNKI搜索

    Figures(4)  / Tables(4)

    Article Metrics

    Article views (966) PDF downloads(127) Cited by()
    Proportional views
    Related

    /

    DownLoad:  Full-Size Img  PowerPoint
    Return
    Return