中文English
ISSN 1001-5256 (Print)
ISSN 2097-3497 (Online)
CN 22-1108/R
Volume 40 Issue 3
Mar.  2024
Turn off MathJax
Article Contents

Association between the risk of increase in total cholesterol and the risk of cholelithiasis: A bidirectional Mendelian randomization study

DOI: 10.12449/JCH240322
More Information
  • Corresponding author: GE Hongyan, gehongyan_1999@126.com (ORCID: 0000-0003-3691-2805)
  • Received Date: 2023-06-23
  • Accepted Date: 2023-07-24
  • Published Date: 2024-03-20
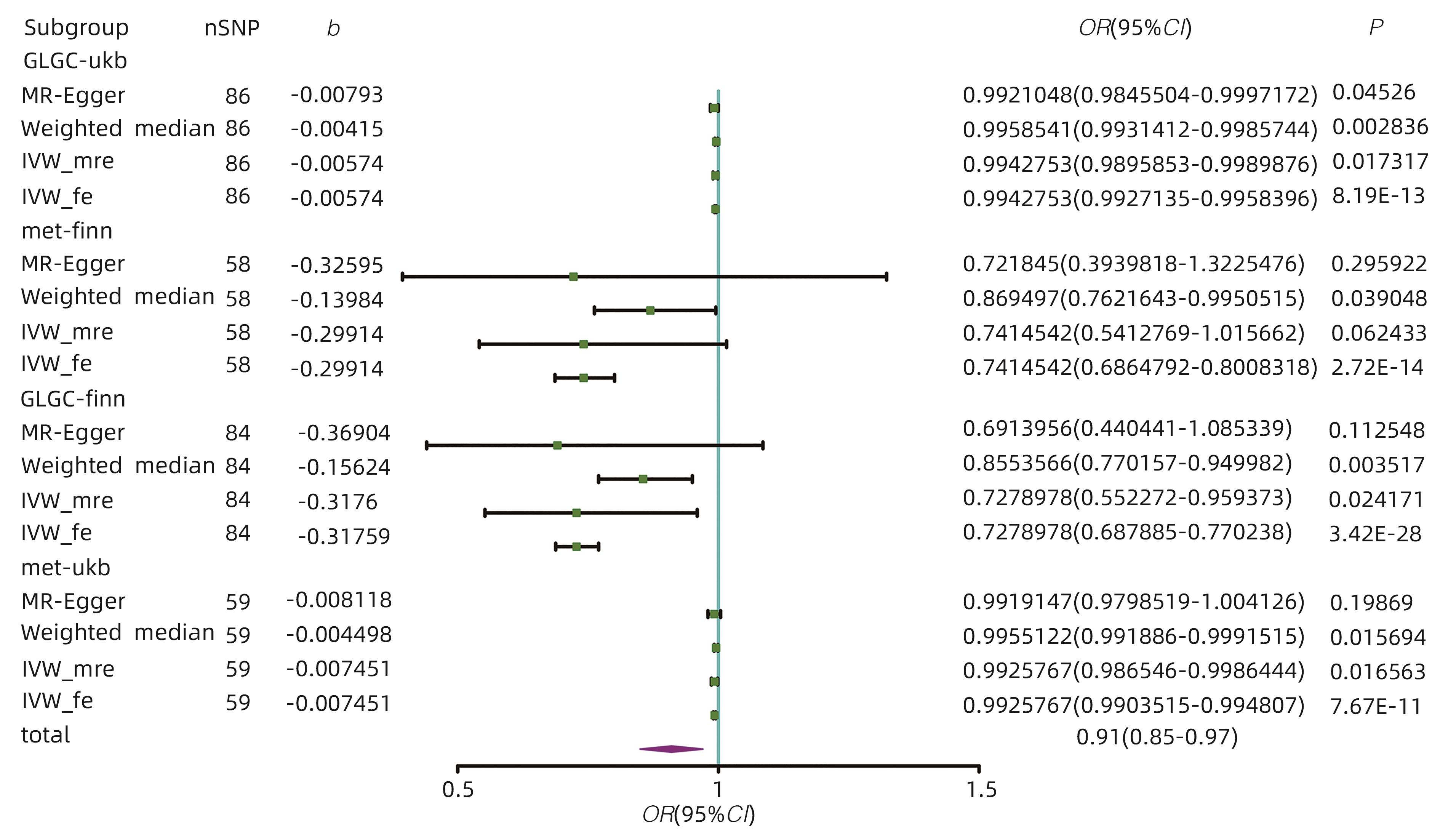
  •   Objective  To investigate the association between the risk of increase in total cholesterol (TC) and the risk of cholelithiasis by using bidirectional Mendelian randomization (MR).  Methods  The open gwas public database was used to obtain the single nucleotide polymorphism data associated with TC and cholelithiasis, and a secondary data analysis was performed for all summary data of genome-wide association studies. The genetic loci closely associated with TC or cholelithiasis were selected as exposure or outcome variables, and the bidirectional MR analysis was performed using the methods such as Egger regression, Weighted median, IVW random effects model, and IVW fixed effects model, with odds ratio (OR) values for evaluating the causal relationship between TC and cholelithiasis.  Results  With TC as the exposure and cholelithiasis as the outcome, TC-cholelithiasis had an overall OR value of 0.91 (95% confidence interval [CI]: 0.85‍ ‍—‍ ‍0.97) before elimination of heterogeneity and 0.93 (95%CI: 0.89‍ ‍—‍ ‍0.97) after elimination of heterogeneity. With cholelithiasis as the exposure and TC as the outcome, TC-cholelithiasis had an overall OR value of 0.20 (95%CI: 0.06‍ ‍—‍ ‍0.65) before elimination of heterogeneity and 0.28 (95%CI: 0.10‍ ‍—‍ ‍0.83) after elimination of heterogeneity. There was a bidirectional causal relationship between genetically predicted TC and cholelithiasis.  Conclusion  This study confirms the bidirectional causal relationship between TC and cholelithiasis. The risk of cholelithiasis decreases with the increase in alleles associated with the elevation of TC level; on the contrary, the risk of elevated TC level decreases with the increase in alleles associated with the onset of cholelithiasis.

     

  • loading
  • [1]
    GERMER CT. Cholelithiasis[J]. Chirurgie(Heidelb), 2022, 93( 6): 533- 534. DOI: 10.1007/s00104-022-01601-2.
    [2]
    CHEN L, YANG H, LI H, et al. Insights into modifiable risk factors of cholelithiasis: A Mendelian randomization study[J]. Hepatology, 2022, 75( 4): 785- 796. DOI: 10.1002/hep.32183.
    [3]
    ATAMANALP SS, KELES MS, ATAMANALP RS, et al. The effects of serum cholesterol, LDL, and HDL levels on gallstone cholesterol concentration[J]. Pak J Med Sci, 2013, 29( 1): 187- 190. DOI: 10.12669/pjms.291.2798.
    [4]
    KAWASHIRI MA, TADA H, NOMURA A, et al. Mendelian randomization: Its impact on cardiovascular disease[J]. J Cardiol, 2018, 72( 4): 307- 313. DOI: 10.1016/j.jjcc.2018.04.007.
    [5]
    PAPADIMITRIOU N, DIMOU N, TSILIDIS KK, et al. Physical activity and risks of breast and colorectal cancer: a Mendelian randomisation analysis[J]. Nat Commun, 2020, 11( 1): 597. DOI: 10.1038/s41467-020-14389-8.
    [6]
    BOWDEN J, DAVEY SMITH G, HAYCOCK PC, et al. Consistent estimation in mendelian randomization with some invalid instruments using a weighted median estimator[J]. Genet Epidemiol, 2016, 40( 4): 304- 314. DOI: 10.1002/gepi.21965.
    [7]
    BOWDEN J, HOLMES MV. Meta-analysis and Mendelian randomization: A review[J]. Res Synth Methods, 2019, 10( 4): 486- 496. DOI: 10.1002/jrsm.1346.
    [8]
    SCHERBER PR, ZÚNIGA SE, GLANEMANN M, et al. Gallstone disease-interdisciplinary treatment[J]. Dtsch Med Wochenschr, 2020, 145( 5): 287- 295. DOI: 10.1055/a-0944-8655.
    [9]
    LAMMERT F, GURUSAMY K, KO CW, et al. Gallstones[J]. Nat Rev Dis Primers, 2016, 2: 16024. DOI: 10.1038/nrdp.2016.24.
    [10]
    LITTLEFIELD A, LENAHAN C. Cholelithiasis: Presentation and management[J]. J Midwifery Womens Health, 2019, 64( 3): 289- 297. DOI: 10.1111/jmwh.12959.
    [11]
    BURGESS S, THOMPSON SG. Interpreting findings from Mendelian randomization using the MR-Egger method[J]. Eur J Epidemiol, 2017, 32( 5): 377- 389. DOI: 10.1007/s10654-017-0255-x.
    [12]
    BOWDEN J, BURGESS S, DAVEY SG. Response to Hartwig and Davies[J]. Int J Epidemiol, 2016, 45( 5): 1679- 1680. DOI: 10.1093/ije/dyw252.
    [13]
    BIRNEY E. Mendelian randomization[J]. Cold Spring Harb Perspect Med, 2022, 12( 4): a041302. DOI: 10.1101/cshperspect.a041302.
    [14]
    BURGESS S, DAVEY SMITH G, DAVIES NM, et al. Guidelines for performing Mendelian randomization investigations: update for summer 2023[J]. Wellcome Open Res, 2019, 4: 186. DOI: 10.12688/wellcomeopenres.15555.3.
    [15]
    SUN H, WARREN J, YIP J, et al. Factors influencing gallstone formation: a review of the literature[J]. Biomolecules, 2022, 12( 4): 550. DOI: 10.3390/biom12040550.
    [16]
    REES J, WOOD AM, BURGESS S. Extending the MR-Egger method for multivariable Mendelian randomization to correct for both measured and unmeasured pleiotropy[J]. Stat Med, 2017, 36( 29): 4705- 4718. DOI: 10.1002/sim.7492.
  • 加载中

Catalog

    通讯作者: 陈斌, bchen63@163.com
    • 1. 

      沈阳化工大学材料科学与工程学院 沈阳 110142

    1. 本站搜索
    2. 百度学术搜索
    3. 万方数据库搜索
    4. CNKI搜索

    Figures(6)  / Tables(4)

    Article Metrics

    Article views (1769) PDF downloads(95) Cited by()
    Proportional views
    Related

    /

    DownLoad:  Full-Size Img  PowerPoint
    Return
    Return