中文English
ISSN 1001-5256 (Print)
ISSN 2097-3497 (Online)
CN 22-1108/R
Volume 41 Issue 2
Feb.  2025
Turn off MathJax
Article Contents

Characteristics of mitochondrial translational initiation factor 2 gene methylation and its association with the development of hepatocellular carcinoma

DOI: 10.12449/JCH250214
Research funding:

Natural Science Foundation of Sichuan Province (2022NSFSC1415);

Management Project of General Hospital of Western Theater Comm (2021-XZYG-C22)

More Information
  • Corresponding author: CHANG Kai, ck8148@126.com (ORCID: 0000-0001-6013-9256)
  • Received Date: 2024-07-18
  • Accepted Date: 2024-10-19
  • Published Date: 2025-02-25
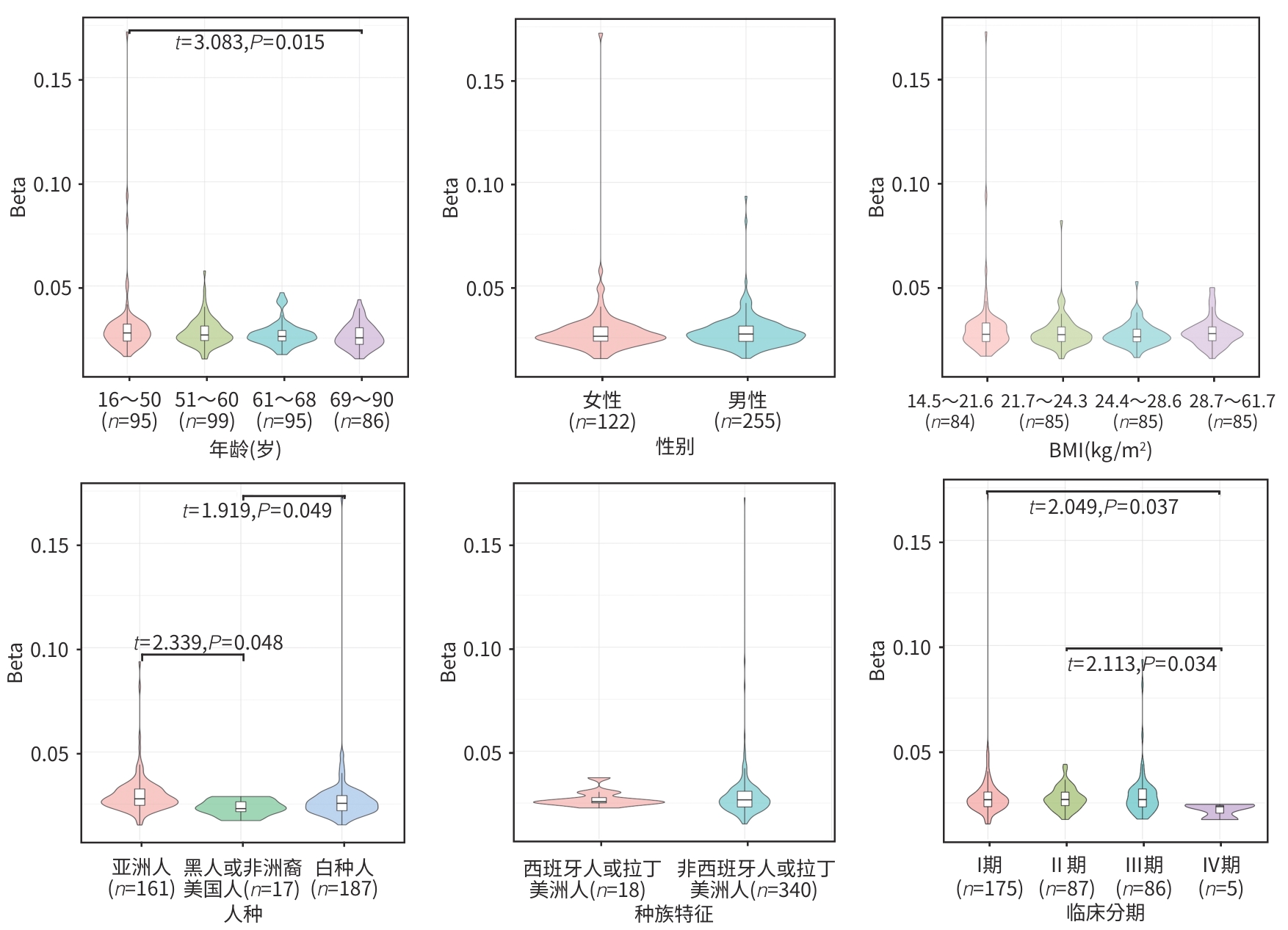
  •   Objective  To investigate the characteristics of mitochondrial translational initiation factor 2 (MTIF2) gene methylation and its association with the development and progression of hepatocellular carcinoma (HCC).  Methods  MethSurv and EWAS Data Hub were used to perform the standardized analysis and the cluster analysis of MTIF2 methylation samples, including survival curve analysis, methylation signature analysis, the association of tumor signaling pathways, and a comparative analysis based on pan-cancer database. The independent-samples t test was used for comparison between two groups; a one-way analysis of variance was used for comparison between multiple groups, and the least significant difference t-test was used for further comparison between two groups. The Cox proportional hazards model was used to perform the univariate and multivariate survival analyses of methylation level at the CpG site. The Kaplan-Meier method was used to investigate the survival differences between the patients with low methylation level and those with high methylation level, and the Log-likelihood ratio method was used for survival difference analysis.  Results  Global clustering of MTIF2 methylation showed that there was no significant difference in MTIF2 gene methylation level between different races, ethnicities, BMI levels, and ages. The Kaplan-Meier survival curve analysis showed that the patients with N-Shore hypermethylation of the MTIF2 gene had a significantly better prognosis than those with hypomethylation (hazard ratio [HR]=0.492, P<0.001), while there was no significant difference in survival rate between the patients with different CpG island and S-Shore methylation levels (P>0.05). The methylation profile of the MTIF2 gene based on different ages, sexes, BMI levels, races, ethnicities, and clinical stages showed that the N-Shore and CpG island methylation levels of the MTIF2 gene decreased with the increase in age, and the Caucasian population had significantly lower N-Shore methylation levels of the MTIF2 gene than the Asian population (P<0.05); the patients with clinical stage Ⅳ had significantly lower N-Shore and CpG island methylation levels of the MTIF2 gene than those with stage Ⅰ/Ⅱ (P<0.05). Clinical validation showed that the patients with stage Ⅲ/Ⅳ HCC had a significantly lower methylation level of the MTIF2 gene than those with stage Ⅰ/Ⅱ HCC and the normal population (P<0.05).  Conclusion  N-Shore hypomethylation of the MTIF2 gene is a risk factor for the development and progression of HCC.

     

  • loading
  • [1]
    PANNEERSELVAM S, WILSON C, KUMAR P, et al. Overview of hepatocellular carcinoma: From molecular aspects to future therapeutic options[J]. Cell Adh Migr, 2023, 17( 1): 1- 21. DOI: 10.1080/19336918.2023.2258539.
    [2]
    ZENG YY, FU J, LIN KY, et al. Current status and prospects of postoperative adjuvant therapy for hepatocellular carcinoma[J]. Chin J Dig Surg, 2024, 23( 2): 221- 227. DOI: 10.3760/cma.j.cn115610-20231128-00220.

    曾永毅, 傅俊, 林孔英, 等. 肝细胞癌术后辅助治疗的现状与展望[J]. 中华消化外科杂志, 2024, 23( 2): 221- 227. DOI: 10.3760/cma.j.cn115610-20231128-00220.
    [3]
    CHANG K, NA WL, LIU CX, et al. A study on the mechanism of Avilamycin intervention MTIF2 regulating ribosomal translation process to inhibit hepatitis B virus replication[J]. Acta Univ Med Anhui, 2022, 57( 2): 203- 207. DOI: 10.19405/j.cnki.issn1000-1492.2022.02.008.

    常凯, 那琬琳, 刘晨霞, 等. 阿维霉素干预MTIF2调控核糖体翻译进程抑制乙型肝炎病毒复制的机制研究[J]. 安徽医科大学学报, 2022, 57( 2): 203- 207. DOI: 10.19405/j.cnki.issn1000-1492.2022.02.008.
    [4]
    WU DQ, LI YJ. Application of adoptive cell therapy in hepatocellular carcinoma[J]. Immunology, 2023, 170( 4): 453- 469. DOI: 10.1111/imm.13677.
    [5]
    WANG J, WANG FF, WANG N, et al. Diagnostic and prognostic value of protein post-translational modifications in hepatocellular carcinoma[J]. J Clin Transl Hepatol, 2023, 11( 5): 1192- 1200. DOI: 10.14218/JCTH.2022.00006S.
    [6]
    GRASSO DG, CHRISTIAN BE, SPENCER A, et al. Overexpression and purification of mammalian mitochondrial translational initiation factor 2 and initiation factor 3[J]. Methods Enzymol, 2007, 430: 59- 78. DOI: 10.1016/S0076-6879(07)30004-9.
    [7]
    LI XD, CHEN JL, MENG J. Comprehensive analysis of the prognostic values and immune implication of ESYT3 in lung adenocarcinoma[J]. Medicine(Baltimore), 2023, 102( 35): e34557. DOI: 10.1097/MD.0000000000034557.
    [8]
    XIE ZH, HUANG JP, LI YJ, et al. Single-cell RNA sequencing revealed potential targets for immunotherapy studies in hepatocellular carcinoma[J]. Sci Rep, 2023, 13( 1): 18799. DOI: 10.1038/s41598-023-46132-w.
    [9]
    HAN YX, JI LY, GUAN YF, et al. An epigenomic landscape of cervical intraepithelial neoplasia and cervical cancer using single-base resolution methylome and hydroxymethylome[J]. Clin Transl Med, 2021, 11( 7): e498. DOI: 10.1002/ctm2.498.
    [10]
    XU RH, WEI W, KRAWCZYK M, et al. Circulating tumour DNA methylation markers for diagnosis and prognosis of hepatocellular carcinoma[J]. Nat Mater, 2017, 16( 11): 1155- 1161. DOI: 10.1038/nmat4997.
    [11]
    CHANG K, WANG YY, JIANG ZY, et al. Proteomic analysis and validation of DNA repair regulation in the process of hepatocellular carcinoma recurrence[J]. J Clin Hepatol, 2024, 40( 2): 319- 326. DOI: 10.12449/JCH240216.

    常凯, 王艳艳, 江忠勇, 等. 肝细胞癌复发进程中DNA修复调节的蛋白质组学分析及验证[J]. 临床肝胆病杂志, 2024, 40( 2): 319- 326. DOI: 10.12449/JCH240216.
    [12]
    WANG Y, ZHANG JQ, YANG Y, et al. Single-cell analysis revealed that MTIF2 could promote hepatocellular carcinoma progression through modulating the ROS pathway[J]. Heliyon, 2024, 10( 14): e34438. DOI: 10.1016/j.heliyon.2024.e34438.
    [13]
    XU DF, WANG Y, WU JC, et al. MTIF2 impairs 5 fluorouracil-mediated immunogenic cell death in hepatocellular carcinoma in vivo: Molecular mechanisms and therapeutic significance[J]. Pharmacol Res, 2021, 163: 105265. DOI: 10.1016/j.phrs.2020.105265.
  • 加载中

Catalog

    通讯作者: 陈斌, bchen63@163.com
    • 1. 

      沈阳化工大学材料科学与工程学院 沈阳 110142

    1. 本站搜索
    2. 百度学术搜索
    3. 万方数据库搜索
    4. CNKI搜索

    Figures(7)  / Tables(1)

    Article Metrics

    Article views (861) PDF downloads(64) Cited by()
    Proportional views
    Related

    /

    DownLoad:  Full-Size Img  PowerPoint
    Return
    Return