中文English
ISSN 1001-5256 (Print)
ISSN 2097-3497 (Online)
CN 22-1108/R
Volume 37 Issue 1
Jan.  2021
Turn off MathJax
Article Contents

Mechanism of Ganshuang granule extract in alleviating N-acetyl-p-aminophenol-induced hepatocellular injury

DOI: 10.3969/j.issn.1001-5256.2021.01.024
  • Received Date: 2020-06-05
  • Accepted Date: 2020-09-16
  • Published Date: 2021-01-20
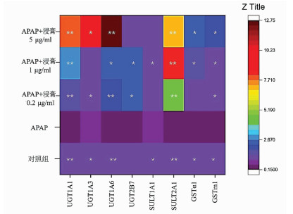
  •   Objective  To investigate the ability of Ganshuang granule (a liver-protecting drug widely used in clinical practice) extract to reduce N-acetyl-p-aminophenol (APAP)-induced hepatotoxicity and possible mechanisms.  Methods  A total of five cell culture groups were set up in this experiment, i.e., normal control group, APAP injury group, and three injury protection groups treated with different concentrations of Ganshuang granule extract. Then 20 mmol/L APAP was added to the cell culture medium and incubated for 24 hours to establish an in vitro model of drug-induced liver injury, and the injury protection groups were treated with different concentrations of Ganshuang granule extract (0.2, 1, and 5 μg/ml) in advance for 8 hours of incubation before APAP were added for 24 hours. Related markers were measured, including the markers for hepatocellular injury [alanine aminotransferase (ALT), aspartate aminotransferase (AST), and lactate dehydrogenase (LDH)], the markers for mitochondrial injury [mitochondrial membrane potential, and glutamate dehydrogenase (GDH)], and antioxidant and oxidative stress markers [glutathione (GSH), superoxide dismutase (SOD), malondialdehyde (MDA), and reactive oxygen species (ROS)]. Related mechanism was discussed based on the experimental results. A one-way analysis of variance was used for comparison of continuous data between multiple groups, and the least significant difference t-test was used for further comparison between two groups.  Results  Ganshuang granule extract alleviated APAP-induced hepatotoxicity, improved cell viability (P < 0.001), and reduced the levels of AST, ALT, and LDH in supernatant (P < 0.001, P < 0.001, and P < 0.05). Ganshuang granule extract inhibited APAP-induced hepatocellular oxidative stress, and compared with the APAP group, the Ganshuang granule extract groups had significant reductions in the oxidative stress indicators ROS and MDA (both P < 0.01). Ganshuang granule extract alleviated the loss of mitochondrial membrane potential induced by APAP (P < 0.05) and reduced the content of the mitochondrial injury marker GDH in supernatant (P < 0.001) in a dose-dependent manner. Ganshuang granule extract inhibited the expression of CYP2E1/1A2 (both P < 0.05) and increased the expression of phase Ⅱ enzymes in hepatocytes. Ganshuang granule extract induced the expression of Nrf2 and its downstream genes NQO-1 and GCLC (all P < 0.05).  Conclusion  Ganshuang granule extract can prevent APAP-induced hepatocellular injury through two ways. The first way is that Ganshuang granule extract downregulates the expression of CYP2E1/1A2 and thus reduces the production of NAPQI, a toxic product of APAP; the second way is that Ganshuang granule extract upregulates the expression of the detoxification pathway, which can activate Nrf2 to increase the expression of antioxidant enzymes (SOD and GSH) and phase Ⅱ enzymes and thus accelerate the harmless metabolism of APAP.

     

  • loading
  • [1]
    HOLUBEK WJ, KALMAN S, HOFFMAN RS. Acetaminophen-induced acute liver failure: Results of a United States multicenter, prospective study[J]. Hepatology, 2006, 43(4): 880; author reply 882.
    [2]
    ZHANG XW, ZHENG SQ, MA YZ, et al. Effects of artichoke on acetaminophen-induced drug-induced liver injury in rats[J]. Chin J Immunol, 2020, 36(17): 2096-2099.(in Chinese) DOI: 10.3969/j.issn.1000-484X.2020.17.010

    张晓文, 郑思琪, 马应卓, 等. 洋蓟素对对乙酰氨基酚诱导的大鼠药物性肝损伤的影响[J]. 中国免疫学杂志, 2020, 36(17): 2096-2099. DOI: 10.3969/j.issn.1000-484X.2020.17.010
    [3]
    BLIEDEN M, PARAMORE LC, SHAH D, et al. A perspective on the epidemiology of acetaminophen exposure and toxicity in the United States[J]. Expert Rev Clin Pharmacol, 2014, 7(3): 341-348. DOI: 10.1586/17512433.2014.904744
    [4]
    ZHOU Y, YANG L, LIAO Z, et al. Epidemiology of drug-induced liver injury in China: A systematic analysis of the Chinese literature including 21, 789 patients[J]. Eur J Gastroenterol Hepatol, 2013, 25(7): 825-829. DOI: 10.1097/MEG.0b013e32835f6889
    [5]
    HARDWICK RN, FERREIRA DW, MORE VR, et al. Altered UDP-glucuronosyltransferase and sulfotransferase expression and function during progressive stages of human nonalcoholic fatty liver disease[J]. Drug Metab Dispos, 2013, 41(3): 554-561. DOI: 10.1124/dmd.112.048439
    [6]
    YU PF, WU Q, DUAN ZP, et al. Research advances in the mechanism of drug-induced liver injury due to paracetamol[J]. J Clin Hepatol, 2019, 35(9): 2108-2112. (in Chinese) DOI: 10.3969/j.issn.1001-5256.2019.09.050

    余朋飞, 吴桥, 段钟平, 等. 对乙酰氨基酚致药物性肝损伤的机制研究进展[J]. 临床肝胆病杂志, 2019, 35(9): 2108-2112. DOI: 10.3969/j.issn.1001-5256.2019.09.050
    [7]
    SUN HQ, WANG XQ, SHI HB, et al. Ganshuang granules protect mouse liver from chronic injury induced by CCl4 via autophagy[J]. J Clin Hepatol, 2015, 31(7): 130-135. (in Chinese) DOI: 10.3969/j.issn.1001-5256.2015.07.028

    孙海青, 王小琪, 时红波, 等. 肝爽颗粒对CCl4诱导的慢性肝损伤小鼠模型和肝损伤细胞模型的保护作用[J]. 临床肝胆病杂志, 2015, 31(7): 130-135. DOI: 10.3969/j.issn.1001-5256.2015.07.028
    [8]
    KANG WW, ZHOU L, DANG SS, et al. Multi center clinical study on the treatment of chronic hepatitis B with Ganshuang Granules[J]. China J Tradit Chin Med Pharma, 2017, 32(12): 5689-5693. (in Chinese) https://www.cnki.com.cn/Article/CJFDTOTAL-BXYY201712121.htm

    康玮玮, 周莉, 党双锁, 等. 肝爽颗粒治疗慢性乙型肝炎的多中心临床研究[J]. 中华中医药杂志, 2017, 32(12): 5689-5693. https://www.cnki.com.cn/Article/CJFDTOTAL-BXYY201712121.htm
    [9]
    KANG SW, HAYDAR G, TANIANE C, et al. AMPK activation prevents and reverses drug-induced mitochondrial and hepatocyte injury by promoting mitochondrial fusion and function[J]. PLoS One, 2016, 11(10): e0165638. DOI: 10.1371/journal.pone.0165638
    [10]
    SHI H, SHI H, REN F, et al. Naringin in Ganshuang Granule suppresses activation of hepatic stellate cells for anti-fibrosis effect by inhibition of mammalian target of rapamycin[J]. J Cell Mol Med, 2017, 21(3): 500-509. DOI: 10.1111/jcmm.12994
    [11]
    HERNÁNDEZ-AQUINO E, MURIEL P. Beneficial effects of naringenin in liver diseases: Molecular mechanisms[J]. World J Gastroenterol, 2018, 24(16): 1679-1707. DOI: 10.3748/wjg.v24.i16.1679
    [12]
    HINSON JA, MICHAEL SL, AULT SG, et al. Western blot analysis for nitrotyrosine protein adducts in livers of saline-treated and acetaminophen-treated mice[J]. Toxicol Sci, 2000, 53(2): 467-473. DOI: 10.1093/toxsci/53.2.467
    [13]
    ZHAO H, JIANG Z, CHANG X, et al. 4-Hydroxyphenylacetic acid prevents acute APAP-induced liver injury by increasing phase Ⅱ and antioxidant enzymes in mice[J]. Front Pharmacol, 2018, 9: 653. DOI: 10.3389/fphar.2018.00653
    [14]
    FAN X, LV H, WANG L, et al. Isoorientin Ameliorates APAP-induced hepatotoxicity via activation Nrf2 antioxidative pathway: The involvement of AMPK/Akt/GSK3β[J]. Front Pharmacol, 2018, 9: 1334. DOI: 10.3389/fphar.2018.01334
    [15]
    FAKURAZI S, SHARIFUDIN SA, ARULSELVAN P. Moringa oleifera hydroethanolic extracts effectively alleviate acetaminophen-induced hepatotoxicity in experimental rats through their antioxidant nature[J]. Molecules, 2012, 17(7): 8334-8350. DOI: 10.3390/molecules17078334
    [16]
    OKAWA H, MOTOHASHI H, KOBAYASHI A, et al. Hepatocyte-specific deletion of the keap1 gene activates Nrf2 and confers potent resistance against acute drug toxicity[J]. Biochem Biophys Res Commun, 2006, 339(1): 79-88. DOI: 10.1016/j.bbrc.2005.10.185
    [17]
    KLAASSEN CD, REISMAN SA. Nrf2 the rescue: Effects of the antioxidative/electrophilic response on the liver[J]. Toxicol Appl Pharmacol, 2010, 244(1): 57-65. DOI: 10.1016/j.taap.2010.01.013
    [18]
    GUM SI, CHO MK. Recent updates on acetaminophen hepatotoxicity: The role of nrf2 in hepatoprotection[J]. Toxicol Res, 2013, 29(3): 165-172. DOI: 10.5487/TR.2013.29.3.165
    [19]
    LIN M, ZHAI X, WANG G, et al. Salvianolic acid B protects against acetaminophen hepatotoxicity by inducing Nrf2 and phase Ⅱ detoxification gene expression via activation of the PI3K and PKC signaling pathways[J]. J Pharmacol Sci, 2015, 127(2): 203-210. DOI: 10.1016/j.jphs.2014.12.010
    [20]
    GOKILA VANI M, KUMAR KJ, LIAO JW, et al. Antcin C from antrodia cinnamomea protects liver cells against free radical-induced oxidative stress and apoptosis in vitro and in vivo through Nrf2-dependent mechanism[J]. Evid Based Complement Alternat Med, 2013, 2013: 296082.
  • 加载中

Catalog

    通讯作者: 陈斌, bchen63@163.com
    • 1. 

      沈阳化工大学材料科学与工程学院 沈阳 110142

    1. 本站搜索
    2. 百度学术搜索
    3. 万方数据库搜索
    4. CNKI搜索

    Figures(3)  / Tables(6)

    Article Metrics

    Article views (1232) PDF downloads(69) Cited by()
    Proportional views
    Related

    /

    DownLoad:  Full-Size Img  PowerPoint
    Return
    Return