中文English
ISSN 1001-5256 (Print)
ISSN 2097-3497 (Online)
CN 22-1108/R
Volume 37 Issue 6
Jun.  2021
Turn off MathJax
Article Contents

Value of gamma-glutamyl transpeptidase/albumin ratio in the noninvasive diagnosis of liver fibrosis in patients with chronic hepatitis B virus infection

DOI: 10.3969/j.issn.1001-5256.2021.06.019
  • Received Date: 2020-11-04
  • Accepted Date: 2020-12-03
  • Published Date: 2021-06-20
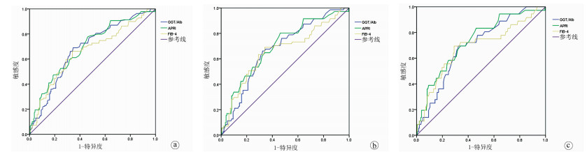
  •   Objective  To investigate the value of gamma-glutamyl transpeptidase (GGT)/albumin (Alb) ratio in the noninvasive diagnosis of liver fibrosis degree in patients with chronic hepatitis B virus (HBV) infection.  Methods  A retrospective analysis was performed for the clinical data of 322 patients with chronic HBV infection who underwent liver biopsy in Chaohu Hospital of Anhui Medical University from January 2018 to March 2020, and according to liver fibrosis degree based on liver biopsy, the 322 patients were divided into S0-S1 group with 183 patients, S2 group with 68 patients, S3 group with 35 patients, and S4 group with 36 patients. The clinical indices of routine blood test, virology, and blood biochemistry were collected. A one-way analysis of variance was used for comparison of normally distributed continuous data between multiple groups, and the Kruskal-Wallis H test was used for comparison of non-normally distributed continuous data between multiple groups; the chi-square test was used for comparison of categorical data. A Spearman rank correlation analysis was used to investigate the correlation of the three noninvasive models GGT/Alb ratio, aspartate aminotransferase-to-platelet ratio index (APRI) score, and fibrosis-4 (FIB-4) index with liver fibrosis degree. A receiver operating characteristic (ROC) curve was plotted for GGT/Alb ratio to evaluate its diagnostic value.  Results  With the aggravation of liver fibrosis degree, there were gradual reductions in Alb (F=7.351, P < 0.05), HBV DNA (χ2=2.820, P < 0.05), and platelet count (F=6.182, P < 0.05) and gradual increases in age (χ2=3.145, P < 0.05), GGT (χ2=6.149, P < 0.05), GGT/Alb ratio (χ2=7.064, P < 0.05), APRI score (χ2=9.022, P < 0.05), and FIB-4 index (χ2=8.254, P < 0.05). The Spearman rank correlation analysis showed that GGT/Alb ratio was positively correlated with liver fibrosis stage (r=0.396, P < 0.01), with a significantly higher correlation coefficient than APRI score (r=0.327, P < 0.001) and FIB-4 index (r=0.370, P < 0.001). The ROC curve analysis showed that in the patients with significant liver fibrosis, severe liver fibrosis, and liver cirrhosis, GGT/Alb ratio had similar areas under the ROC curve to APRI score and FIB-4 index (0.680/0.676/0.695 vs 0.692/0.698/0.728 and 0.659/0.661/0.684, all P > 0.05). At the optimal cut-off values of 0.435, 0.465, 0.465, respectively, GGT/Alb ratio had sensitivities of 69.1%, 66.2%, and 69.0%, respectively, and specificities of 65.4%, 65.9%, and 67.0%, respectively, in the diagnosis of significant liver fibrosis, severe liver fibrosis, and liver cirrhosis.  Conclusion  Like APRI score and FIB-4 index, GGT/Alb ratio is a simple and practical noninvasive model for the diagnosis of liver fibrosis and can provide a reference for the diagnosis of liver fibrosis degree in patients with chronic HBV infection.

     

  • loading
  • [1]
    LIU XD, WU JL, LIANG J, et al. Globulin-platelet model predicts minimal fibrosis and cirrhosis in chronic hepatitis B virus infected patients[J]. World J Gastroenterol, 2012, 18(22): 2784-2792. DOI: 10.3748/wjg.v18.i22.2784.
    [2]
    CUI Y, JIA J. Update on epidemiology of hepatitis B and C in China[J]. J Gastroenterol Hepatol, 2013, 28(Suppl 1): 7-10. DOI: 10.1111/jgh.12220.
    [3]
    Chinese Society of Hepatology, Chinese Medical Association. Chinese guidelines on the management of liver cirrhosis[J]. J Clin Hepatol, 2019, 35(11): 2408-2425. DOI: 10.3969/j.issn.1001-5256.2019.11.006.

    中华医学会肝病学分会. 肝硬化诊治指南[J]. 临床肝胆病杂志, 2019, 35(11): 2408-2425. DOI: 10.3969/j.issn.1001-5256.2019.11.006.
    [4]
    de LEDINGHEN V, VERGNIOL J, BARTHE C, et al. Noninvasive tests for fibrosis and liver stiffness predict 5-year survival of patients chronically infected with hepatitis B virus[J]. Aliment Pharm Ther, 2013, 37(10): 979-988. DOI: 10.1111/apt.12307.
    [5]
    COSKUN BD, ALTINKAYA E, SEVINC E, et al. The diagnostic value of a globulin/platelet model for evaluating liver fibrosis in chronic hepatitis B patients[J]. Rev Esp Enferm Dig, 2015, 107(12): 740-744. DOI: 10.17235/reed.2015.3851/2015.
    [6]
    ZHENG SQ, WANG QZ. Current status and prospects of research on noninvasive diagnosis of liver fibrosis[J]. J Clin Hepatol, 2019, 35(1): 197-200. DOI: 10.3969/j.issn.1001- 5256.2019.01.043.

    郑少秋, 王启之. 无创肝纤维化诊断研究现状与前景[J]. 临床肝胆病杂志, 2019, 35(1): 197-200. DOI: 10.3969/j.issn.1001- 5256.2019.01.043.
    [7]
    ZHAO F, ZHAO J, CHEN J, et al. Comparison of diagnostic value of Fibroscan and ARFI on liver fibrosis in patients with chronic hepatitis B[J/CD]. Chin J Liver Dis (Electronic Version), 2019, 11(2): 71-75. DOI: 10.3969/j.issn.1674-7380.2019.02.015.

    赵帆, 赵娟, 陈静, 等. Fibroscan和ARFI对慢性乙型肝炎肝纤维化诊断价值比较[J/CD]. 中国肝脏病杂志(电子版), 2019, 11(2): 71-75. DOI: 10.3969/j.issn.1674-7380.2019.02.015.
    [8]
    LEMOINE M, SHIMAKAWA Y, NAYAGAM S, et al. The gamma-glutamyl transpeptidase to platelet ratio (GPR) predicts significant liver fibrosis and cirrhosis in patients with chronic HBV infection in West Africa[J]. Gut, 2016, 65(8): 1369-1376. DOI: 10.1136/gutjnl-2015-309260.
    [9]
    ZHANG Z, WANG G, KANG K, et al. The diagnostic accuracy and clinical utility of three noninvasive models for predicting liver fibrosis in patients with HBV infection[J]. PLoS One, 2016, 11(4): e0152757. DOI: 10.1371/journal.pone.0152757.
    [10]
    WANG H, XUE L, YAN R, et al. Comparison of FIB-4 and APRI in Chinese HBV-infected patients with persistently normal ALT and mildly elevated ALT[J]. J Viral Hepat, 2013, 20(4): e3-e10. DOI: 10.1111/jvh.12010.
    [11]
    Chinese Society of Infectious Diseases, Chinese Medical Association; Chinese Society of Hepatology, Chinese Medical Association. Guidelines for the prevention and treatment of chronic hepatitis B (version 2019)[J]. J Clin Hepatol, 2019, 35(12): 2648-2669. DOI: 10.3969/j.issn. 1001-5256.2019.12.007

    中华医学会感染病学分会, 中华医学会肝病学分会. 慢性乙型肝炎防治指南(2019年版)[J]. 临床肝胆病杂志, 2019, 35(12): 2648-2669. DOI: 10.3969/j.issn. 1001-5256.2019.12.007
    [12]
    Chinese Society of Hepatology, Chinese Medical Association; Chinese Society of Gastroenterology, Chinese Medical Association; Chinese Society of Infectious Diseases, Chinese Medical Association. Consensus on the diagnosis and therapy of hepatic fibrosis(2019)[J]. J Clin Hepatol, 2019, 35(10): 2163-2172. DOI: 10.3969/j.issn.1001-5256.2019.10.007.

    中华医学会肝病学分会, 中华医学会消化病学分会, 中华医学会感染病学分会. 肝纤维化诊断及治疗共识(2019年)[J]. 临床肝胆病杂志, 2019, 35(10): 2163-2172. DOI: 10.3969/j.issn.1001-5256.2019.10.007.
    [13]
    JIN CT, GUO LW, LIANG WF. Research progress on non-invasive serum markers for liver fibrosis assessment in patients with chronic hepatitis B[J/CD]. Chin J Exp Clin infect Dis(Electronic Edition), 2018, 12(1): 11-14. DOI: 10.3877/cma.j.issn.1674-1358.2018.01.003.

    金彩婷, 郭利伟, 梁伟峰. 慢性乙型病毒性肝炎肝纤维化无创性血清诊断指标研究进展[J/CD]. 中华实验和临床感染病杂志(电子版), 2018, 12(1): 11-14. DOI: 10.3877/cma.j.issn.1674-1358.2018.01.003.
    [14]
    XU LM, LIU P, SHEN XZ, et al. Guidelines for integrated Chinese and Western medicine diagnosis and treatment of liver fibrosis (2019 edition)[J]. J Clin Hepatol, 2019, 35(7): 1444-1449. DOI: 10.3969/j.issn.1001-5256.2019.07.007.

    徐列明, 刘平, 沈锡中, 等. 肝纤维化中西医结合诊疗指南(2019年版)[J]. 临床肝胆病杂志, 2019, 35(7): 1444-1449. DOI: 10.3969/j.issn.1001-5256.2019.07.007.
    [15]
    MUELLER S, SEITZ HK, RAUSCH V. Non-invasive diagnosis of alcoholic liver disease[J]. World J Gastroenterol, 2014, 20(40): 14626-14641. DOI: 10.3748/wjg.v20.i40.14626.
    [16]
    SILVA IS, FERRAZ ML, PEREZ RM, et al. Role of gamma-glutamyl transferase activity in patients with chronic hepatitis C virus infection[J]. J Gastroenterol Hepatol, 2004, 19(3): 314-318. DOI: 10.1111/j.1440-1746.2003.03256.x.
    [17]
    EVERHART JE, WRIGHT EC. Association of γ-glutamyl transferase (GGT) activity with treatment and clinical outcomes in chronic hepatitis C (HCV)[J]. Hepatology, 2013, 57(5): 1725-1733. DOI: 10.1002/hep.26203.
    [18]
    YANG JG, HE XF, HUANG B, et al. Rule of changes in serum GGT levels and GGT/ALT and AST/ALT ratios in primary hepatic carcinoma patients with different AFP levels[J]. Cancer Biomark, 2018, 21(4): 743-746. DOI: 10.3233/CBM-170088.
    [19]
    LEE J, KIM MY, KANG SH, et al. The gamma-glutamyl transferase to platelet ratio and the FIB-4 score are noninvasive markers to determine the severity of liver fibrosis in chronic hepatitis B infection[J]. Br J Biomed Sci, 2018, 75(3): 128-132. DOI: 10.1080/09674845.2018.1459147.
  • 加载中

Catalog

    通讯作者: 陈斌, bchen63@163.com
    • 1. 

      沈阳化工大学材料科学与工程学院 沈阳 110142

    1. 本站搜索
    2. 百度学术搜索
    3. 万方数据库搜索
    4. CNKI搜索

    Figures(1)  / Tables(2)

    Article Metrics

    Article views (1018) PDF downloads(66) Cited by()
    Proportional views
    Related

    /

    DownLoad:  Full-Size Img  PowerPoint
    Return
    Return