中文English
ISSN 1001-5256 (Print)
ISSN 2097-3497 (Online)
CN 22-1108/R
Volume 37 Issue 6
Jun.  2021
Turn off MathJax
Article Contents

Association between the alteration of serum N-glycan profile and the change of glycosyltransferase expression in liver tissue in patients with hepatitis B virus-related hepatocellular carcinoma

DOI: 10.3969/j.issn.1001-5256.2021.06.024
  • Received Date: 2020-11-09
  • Accepted Date: 2020-12-18
  • Published Date: 2021-06-20
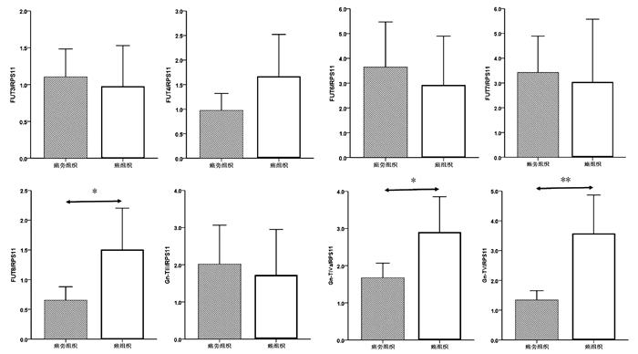
  •   Objective  To investigate the potential mechanism of serum N-glycan alterations in patients with hepatitis B virus (HBV)-related hepatocellular carcinoma (HCC) by measuring serum N-glycan profile and comparing glycosyltransferase gene expression between HCC tissue and adjacent tissue.  Methods  The samples of HCC tissue, adjacent tissue, and normal liver tissue were collected from 34 patients with HBV-related HCC who were admitted to Chinese PLA General Hospital, and serum samples were also collected. Among these 34 patients, 8 were randomly selected and their serum samples were established as HCC experimental group, and the serum samples of 20 healthy adults were established as control group. DNA sequencer-aided fluorophore-assisted carbohydrate electrophoresis was used to analyze serum N-glycan profile in the HCC experimental group and the control group. Quantitative real-time PCR was used to measure the mRNA expression of 8 glycosyltransferase genes (FUT3, FUT4, FUT6, FUT7, FUT8, Gn-TIII, Gn-TIVa, and Gn-TV) in the HCC tissue and adjacent tissue of 34 patients with HBV-related HCC, and Western blot was used to measure the expression of corresponding proteins. The independent samples t-test was used for comparison of continuous data between two groups.  Results  Compared with the control group, the HCC experimental group had a significant increase in the abundance of N-glycan peak9 (NA3Fb) in serum(t=-2.514, P < 0.05). There were significant differences in the mRNA expression of FUT8, Gn-TIVa, and Gn-TV between HCC tissue and adjacent tissue, and the mRNA and protein expression levels of FUT8 and Gn-TV in HCC tissue were significantly higher than those in adjacent tissue (FUT8 mRNA: 1.50±0.34 vs 0.65±0.11, t=-2.354, P=0.022; Gn-TV mRNA: 3.57±0.64 vs 1.33±0.16, t=-3.384, P=0.001; FUT8 protein: 0.70±0.11 vs 0.083±0.017, t=9.555, P=0.001; Gn-TV protein: 1.33±0.19 vs 0.60±0.15, t=5.097, P=0.007). The mRNA expression level of Gn-TIVa in HCC tissue was significantly higher than that in adjacent tissue (2.90±0.47 vs 1.68±0.19, t=-2.403, P=0.019), but there was no significant difference in the protein expression level of Gn-TIVa between HCC tissue and adjacent tissue (0.52±0.24 vs 0.24±0.11, t=1.833, P=0.141). The changes of glycosyltransferase gene expression in HCC tissue were consistent with the alteration of serum N-glycan profile.  Conclusion  Serum N-glycan alterations in patients with HBV-related HCC may be closely associated with the upregulated expression of the glycosyltransferase genes FUT8, Gn-TIVa, and Gn-TV in HCC tissue.

     

  • loading
  • [1]
    BRAY F, FERLAY J, SOERJOMATARAM I, et al. Global cancer statistics 2018: GLOBOCAN estimates of incidence and mortality worldwide for 36 cancers in 185 countries[J]. CA Cancer J Clin, 2018, 68(6): 394-424. DOI: 10.3322/caac.21492.
    [2]
    DRAKE RR. Glycosylation and cancer: Moving glycomics to the forefront[J]. Adv Cancer Res, 2015, 126: 1-10. DOI: 10.1016/bs.acr.2014.12.002.
    [3]
    HÄUSELMANN I, BORSIG L. Altered tumor-cell glycosylation promotes metastasis[J]. Front Oncol, 2014, 4: 28. DOI: 10.3389/fonc.2014.00028.
    [4]
    LIU XE, DESMYTER L, GAO CF, et al. N-glycomic changes in hepatocellular carcinoma patients with liver cirrhosis induced by hepatitis B virus[J]. Hepatology, 2007, 46(5): 1426-1435. DOI: 10.1002/hep.21855.
    [5]
    Bureau of Medical Administration, National Health Commission of the People's Republic of China. Guidelines for diagnosis and treatment of primary liver cancer in China(2019 edition)[J]. J Clin Hepatol, 2020, 36(2): 277-292. DOI: 10.3969/j.issn.1001-5256.2020.02.007.

    中华人民共和国国家卫生健康委员会医政医管局. 原发性肝癌诊疗规范(2019年版)[J]. 临床肝胆病杂志, 2020, 36(2): 277-292. DOI: 10.3969/j.issn.1001-5256.2020.02.007.
    [6]
    CAO X, SHANG QH, CHI XL, et al. Serum N-glycan markers for diagnosing liver fibrosis induced by hepatitis B virus[J]. World J Gastroenterol, 2020, 26(10): 1067-1079. DOI: 10.3748/wjg.v26.i10.1067.
    [7]
    CHENG L, GAO S, SONG X, et al. Comprehensive N-glycan profiles of hepatocellular carcinoma reveal association of fucosylation with tumor progression and regulation of FUT8 by microRNAs[J]. Oncotarget, 2016, 7(38): 61199-61214. DOI: 10.18632/oncotarget.11284.
    [8]
    CHEN C, DIAO D, GUO L, et al. All-trans-retinoic acid modulates ICAM-1 N-glycan composition by influencing GnT-Ⅲ levels and inhibits cell adhesion and trans-endothelial migration[J]. PLoS One, 2012, 7(12): e52975. DOI: 10.1371/journal.pone.0052975.
    [9]
    NIE H, LIU X, ZHANG Y, et al. Specific N-glycans of Hepatocellular Carcinoma Cell Surface and the Abnormal Increase of Core-α-1, 6-fucosylated Triantennary Glycan via N-acetylglucosaminyltransferases-IVa Regulation[J]. Sci Rep, 2015, 5: 16007. DOI: 10.1038/srep16007.
    [10]
    WANG G, LIU J, CAI Y, et al. Loss of Barx1 promotes hepatocellular carcinoma metastasis through up-regulating MGAT5 and MMP9 expression and indicates poor prognosis[J]. Oncotarget, 2017, 8(42): 71867-71880. DOI: 10.18632/oncotarget.18288.
    [11]
    WU X, DAO THI VL, LIU P, et al. Pan-genotype hepatitis E virus replication in stem cell-derived hepatocellular systems[J]. Gastroenterology, 2018, 154(3): 663-674. e7. DOI: 10.1053/j.gastro.2017.10.041.
    [12]
    KIZUKA Y, TANIGUCHI N. Enzymes for N-glycan branching and their genetic and nongenetic regulation in cancer[J]. Biomolecules, 2016, 6(2). DOI: 10.3390/biom6020025.
    [13]
    FANG M, ZHAO YP, ZHOU FG, et al. N-glycan based models improve diagnostic efficacies in hepatitis B virus-related hepatocellular carcinoma[J]. Int J Cancer, 2010, 127(1): 148-159. DOI: 10.1002/ijc.25030.
    [14]
    CUI J, HUANG W, WU B, et al. N-glycosylation by N-acetylglucosaminyltransferase V enhances the interaction of CD147/basigin with integrin β1 and promotes HCC metastasis[J]. J Pathol, 2018, 245(1): 41-52. DOI: 10.1002/path.5054.
    [15]
    FAN J, WANG S, YU S, et al. N-acetylglucosaminyltransferase IVa regulates metastatic potential of mouse hepatocarcinoma cells through glycosylation of CD147[J]. Glycoconj J, 2012, 29(5-6): 323-334. DOI: 10.1007/s10719-012-9414-1.
    [16]
    ZHAO Y, NAKAGAWA T, ITOH S, et al. N-acetylglucosaminyltransferase Ⅲ antagonizes the effect of N-acetylglucosaminyltransferase V on alpha3beta1 integrin-mediated cell migration[J]. J Biol Chem, 2006, 281(43): 32122-32130. DOI: 10.1074/jbc.M607274200.
    [17]
    ZHAO Y, ITOH S, WANG X, et al. Deletion of core fucosylation on alpha3beta1 integrin down-regulates its functions[J]. J Biol Chem, 2006, 281(50): 38343-38350. DOI: 10.1074/jbc.M608764200.
    [18]
    DEBRUYNE EN, DELANGHE JR. Diagnosing and monitoring hepatocellular carcinoma with alpha-fetoprotein: New aspects and applications[J]. Clin Chim Acta, 2008, 395(1-2): 19-26. DOI: 10.1016/j.cca.2008.05.010.
    [19]
    KEELEY TS, YANG S, LAU E. The diverse contributions of fucose linkages in cancer[J]. Cancers (Basel), 2019, 11(9). DOI: 10.3390/cancers11091241.
  • 加载中

Catalog

    通讯作者: 陈斌, bchen63@163.com
    • 1. 

      沈阳化工大学材料科学与工程学院 沈阳 110142

    1. 本站搜索
    2. 百度学术搜索
    3. 万方数据库搜索
    4. CNKI搜索

    Figures(4)  / Tables(2)

    Article Metrics

    Article views (1001) PDF downloads(48) Cited by()
    Proportional views
    Related

    /

    DownLoad:  Full-Size Img  PowerPoint
    Return
    Return