中文English
ISSN 1001-5256 (Print)
ISSN 2097-3497 (Online)
CN 22-1108/R
Volume 37 Issue 6
Jun.  2021
Turn off MathJax
Article Contents

Value of modified objective Bedside Index for Severity in Acute Pancreatitis score in predicting the severity and prognosis of acute pancreatitis

DOI: 10.3969/j.issn.1001-5256.2021.06.032
  • Received Date: 2020-11-15
  • Accepted Date: 2020-12-18
  • Published Date: 2021-06-20
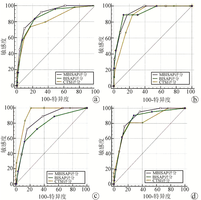
  •   Objective  To investigate the value of modified objective Bedside Index for Severity in Acute Pancreatitis (BISAP) score (MBISAP) in predicting the severity and prognosis of acute pancreatitis (AP).  Methods  A retrospective analysis was performed for the data of 313 patients with AP who were treated in Affiliated Hospital of North Sichuan Medical College from June 2018 to June 2020, and the subjective indicator of mental state in BISAP score was removed. According to the scoring criteria for Computed Tomography Severity Index (CTSI), the degree of pancreatic necrosis was classified as 4 grades (0%, 0%-30%, 30%-50%, and > 50%) and was assigned a score of 0-3 points, respectively, and MBISAP score was determined by adding the above points, with the highest score of 7 points. According to the receiver operating characteristic (ROC) curve, the 313 patients with pancreatitis were divided into low-level MBISAP group (MBISAP < 3) and high-level MBISAP group (MBISAP ≥3). The two groups were compared in terms of baseline data and clinical outcome. The Mann-Whitney U test was used for comparison of non-normally distributed continuous data between two groups, and the chi-square test or the Fisher's exact test was used for comparison of categorical data between two groups. The area under the ROC curve (AUC) was used to analyze an compare the value of MBISAP score, BISAP score, and CTSI score in predicting the severity and prognosis of AP.  Results  There were significant differences between the two groups in age (Z=-5.480, P < 0.001), etiology (χ2=36.536, P < 0.001), length of hospital stay (Z=-6.038, P < 0.001), mortality rate (P < 0.001), peripancreatic infection (P < 0.001), multiple organ dysfunction syndrome (MODS) (P < 0.001), BISAP score (χ2=215.320, P < 0.001), and CTSI score (P < 0.001). Severity of AP, mortality rate, and incidence rates of peripancreatic infection and MODS tended to increase with the increase in MBISAP score (P < 0.001). In predicting severe AP, MBISAP score had an AUC of 0.898 (95% confidence interval [CI]: 0.859-0.929, P < 0.001), with a sensitivity of 71.43% and a specificity of 90.53%; at the optimal cut-off value of ≥3, MBISAP score was significantly better than BISAP score (AUC=0.868) and CTSI score (AUC=0.827) (both P < 0.05). In predicting the mortality of patients with AP, MBISAP score had an AUC of 0.925 (95% CI: 0.890-0.952, P < 0.001), with a sensitivity of 88.89% and a specificity of 82.89%; at the optimal cut-off value of ≥3, MBISAP score was similar to BISAP score (AUC=0.915) and CTSI score (AUC=0.879) (both P > 0.05). In predicting peripancreatic infection in AP, MBISAP score had an AUC of 0.842 (95% CI: 0.796-0.880, P < 0.001), with a sensitivity of 72.22% and a specificity of 84.07%; at the optimal cut-off value of > 2, MBISAP score was better than BISAP score (AUC=0.776) and was inferior to CTSI score (AUC=0.932) (both P < 0.05). In predicting MODS in patients with AP, MBISAP score had an AUC of 0.874 (95% CI: 0.832-0.909, P < 0.001), with a sensitivity of 76.19% and a specificity of 84.93%; at the optimal cut-off value of > 2, MBISAP score was similar to BISAP score (AUC=0.855) and CTSI score (AUC=0.829) (both P > 0.05).  Conclusion  MBISAP score is better than BISAP score in predicting the severity of AP patients and peripancreatic infection, and it also has a good value in predicting mortality and MODS in patients with AP. MBISAP score can evaluate the conditions of AP patients more accurately and objectively than BISAP score.

     

  • loading
  • [1]
    HUBER W, PHILLIP V, SCHMID R, et al. Acute Pancreatitis: What is new?[J]. Dtsch Med Wochenschr, 2017, 142(7): 525-529. DOI: 10.1055/s-0042-100233.
    [2]
    VEGE SS, GARDNER TB, CHARI ST, et al. Low mortality and high morbidity in severe acute pancreatitis without organ failure: A case for revising the Atlanta classification to include "moderately severe acute pancreatitis"[J]. Am J Gastroenterol, 2009, 104(3): 710-715. DOI: 10.1038/ajg.2008.77.
    [3]
    GUDA NM, TRIKUDANATHAN G, FREEMAN ML. Idiopathic recurrent acute pancreatitis[J]. Lancet Gastroenterol Hepatol, 2018, 3(10): 720-728. DOI: 10.1016/S2468-1253(18)30211-5.
    [4]
    WANG L, ZENG YB, CHEN JY, et al. A simple new scoring system for predicting the mortality of severe acute pancreatitis: A retrospective clinical study[J]. Medicine (Baltimore), 2020, 99(23): e20646. DOI: 10.1097/MD.0000000000020646.
    [5]
    Pancreas Study Group, Chinese Society of Gastroenterology, Chinese Medical Association; Editorial Board of Chinese Journal of Pancreatology; Editorial Board of Chinese Journal of Digestion. Chinese guidelines for the management of acute pancreatitis (Shengyang, 2019)[J]. J Clin Hepatol, 2019, 35(12): 2706-2711. DOI: 10.3969/j.issn.1001-5256.2019.12.013.

    中华医学会消化病学分会胰腺疾病学组, 《中华胰腺病杂志》编委会, 《中华消化杂志》编委会. 中国急性胰腺炎诊治指南(2019年, 沈阳)[J]. 临床肝胆病杂志, 2019, 35(12): 2706-2711. DOI: 10.3969/j.issn.1001-5256.2019.12.013.
    [6]
    WU BU, JOHANNES RS, SUN X, et al. The early prediction of mortality in acute pancreatitis: A large population-based study[J]. Gut, 2008, 57(12): 1698-1703. DOI: 10.1136/gut.2008.152702.
    [7]
    ALHAJERI A, ERWIN S. Acute pancreatitis: Value and impact of CT severity index[J]. Abdom Imaging, 2008, 33(1): 18-20. DOI: 10.1007/s00261-007-9315-0.
    [8]
    XU HF, LI Y, YAN J, et al. Severity analysis of acute pancreatitis based on etiology[J]. Natal Med J China, 2014, 94(41): 3220-3223. DOI: 10.3760/cma.j.issn.0376-2491.2014.41.005.

    徐海峰, 李勇, 颜骏, 等. 急性胰腺炎病因与其严重程度的关系[J]. 中华医学杂志, 2014, 94(41): 3220-3223. DOI: 10.3760/cma.j.issn.0376-2491.2014.41.005.
    [9]
    CHEN HJ, WANG JJ, TSAY WI, et al. Epidemiology and outcome of acute pancreatitis in end-stage renal disease dialysis patients: A 10-year national cohort study[J]. Nephrol Dial Transplant, 2017, 32(10): 1731-1736. DOI: 10.1093/ndt/gfw400.
    [10]
    GARG PK, SINGH VP. Organ failure due to systemic injury in acute pancreatitis[J]. Gastroenterology, 2019, 156(7): 2008-2023. DOI: 10.1053/j.gastro.2018.12.041.
    [11]
    CHEN FY, BAI XY, WU D. The severity scoring system and prognostic biological markers of acute pancreatitis[J]. Chin J Intern Med, 2019, 58(8): 615-619. DOI: 10.3760/cma.j.issn.0578-1426.2019.08.016.

    陈方莹, 柏小寅, 吴东. 预测急性胰腺炎严重程度的评分系统及生物标志物[J]. 中华内科杂志, 2019, 58(8): 615-619. DOI: 10.3760/cma.j.issn.0578-1426.2019.08.016.
    [12]
    TAN Y, RAFI S, TYEBALLY FANG M, et al. Validation of the modified Ranson versus Glasgow score for pancreatitis in a Singaporean population[J]. ANZ J Surg, 2017, 87(9): 700-703. DOI: 10.1111/ans.13139.
    [13]
    KNOEPFLI AS, KINKEL K, BERNEY T, et al. Prospective study of 310 patients: Can early CT predict the severity of acute pancreatitis?[J]. Abdom Imaging, 2007, 32(1): 111-115. DOI: 10.1007/s00261-006-9034-y.
    [14]
    YE JF, ZHAO YX, JU J, et al. Building and verifying a severity prediction model of acute pancreatitis (AP) based on BISAP, MEWS and routine test indexes[J]. Clin Res Hepatol Gastroenterol, 2017, 41(5): 585-591. DOI: 10.1016/j.clinre.2016.11.013.
    [15]
    SAHU B, ABBEY P, ANAND R, et al. Severity assessment of acute pancreatitis using CT severity index and modified CT severity index: Correlation with clinical outcomes and severity grading as per the Revised Atlanta Classification[J]. Indian J Radiol Imaging, 2017, 27(2): 152-160. DOI: 10.4103/ijri.IJRI_300_16.
    [16]
    RIECHERS RG 2nd, RAMAGE A, BROWN W, et al. Physician knowledge of the Glasgow Coma Scale[J]. J Neurotrauma, 2005, 22(11): 1327-1334. DOI: 10.1089/neu.2005.22.1327.
    [17]
    BLEDSOE BE, CASEY MJ, FELDMAN J, et al. Glasgow coma scale scoring is often inaccurate[J]. Prehosp Disaster Med, 2015, 30(1): 46-53. DOI: 10.1017/S1049023X14001289.
    [18]
    HEIM C, SCHOETTKER P, GILLIARD N, et al. Knowledge of Glasgow coma scale by air-rescue physicians[J]. Scand J Trauma Resusc Emerg Med, 2009, 17: 39. DOI: 10.1186/1757-7241-17-39.
    [19]
    YANG YX, LI L. Evaluating the ability of the bedside index for severity of acute pancreatitis score to predict severe acute pancreatitis: A meta-analysis[J]. Med Princ Pract, 2016, 25(2): 137-142. DOI: 10.1159/000441003.
    [20]
    SENAPATI D, DEBATA PK, JENASAMANT SS, et al. A prospective study of the Bedside Index for Severity in Acute Pancreatitis (BISAP) score in acute pancreatitis: An Indian perspective[J]. Pancreatology, 2014, 14(5): 335-339. DOI: 10.1016/j.pan.2014.07.007.
    [21]
    HAGJER S, KUMAR N. Evaluation of the BISAP scoring system in prognostication of acute pancreatitis - A prospective observational study[J]. Int J Surg, 2018, 54(Pt A): 76-81. DOI: 10.1016/j.ijsu.2018.04.026.
    [22]
    HARSHIT KA, SINGH GM. A comparison of APACHE Ⅱ, BISAP, Ranson's score and modified CTSI in predicting the severity of acute pancreatitis based on the 2012 revised Atlanta Classification[J]. Gastroenterol Rep (Oxf), 2018, 6(2): 127-131. DOI: 10.1093/gastro/gox029.
    [23]
    BANDAY IA, GATTOO I, KHAN AM, et al. Modified computed tomography severity index for evaluation of acute pancreatitis and its correlation with clinical outcome: A tertiary care hospital based observational study[J]. J Clin Diagn Res, 2015, 9(8): TC01-TC05. DOI: 10.7860/JCDR/2015/14824.6368.
    [24]
    PETROV MS, SHANBHAG S, CHAKRABORTY M, et al. Organ failure and infection of pancreatic necrosis as determinants of mortality in patients with acute pancreatitis[J]. Gastroenterology, 2010, 139(3): 813-820. DOI: 10.1053/j.gastro.2010.06.010.
    [25]
    MOFIDI R, SUTTIE SA, PATIL PV, et al. The value of procalcitonin at predicting the severity of acute pancreatitis and development of infected pancreatic necrosis: Systematic review[J]. Surgery, 2009, 146(1): 72-81. DOI: 10.1016/j.surg.2009.02.013.
  • 加载中

Catalog

    通讯作者: 陈斌, bchen63@163.com
    • 1. 

      沈阳化工大学材料科学与工程学院 沈阳 110142

    1. 本站搜索
    2. 百度学术搜索
    3. 万方数据库搜索
    4. CNKI搜索

    Figures(1)  / Tables(6)

    Article Metrics

    Article views (1071) PDF downloads(78) Cited by()
    Proportional views
    Related

    /

    DownLoad:  Full-Size Img  PowerPoint
    Return
    Return