中文English
ISSN 1001-5256 (Print)
ISSN 2097-3497 (Online)
CN 22-1108/R
Volume 39 Issue 9
Sep.  2023
Turn off MathJax
Article Contents

Familial aggregation transmission of hepatitis B virus infection and influencing factors for outcome

DOI: 10.3969/j.issn.1001-5256.2023.09.009
Research funding:

Practice and Innovation Project of Yunnan University (2021Y225)

More Information
  • Corresponding author: LUO Yu,49288408@qq.com(ORCID: 0000-0002-3748-207X); LI Junyi,759725784@qq.com (ORCID: 0000-0002-0813-3989); LIU Chunyun,751440760@qq.com(ORCID: 0000-0001-5343-5305)
  • Received Date: 2022-12-04
  • Accepted Date: 2023-02-23
  • Published Date: 2023-09-19
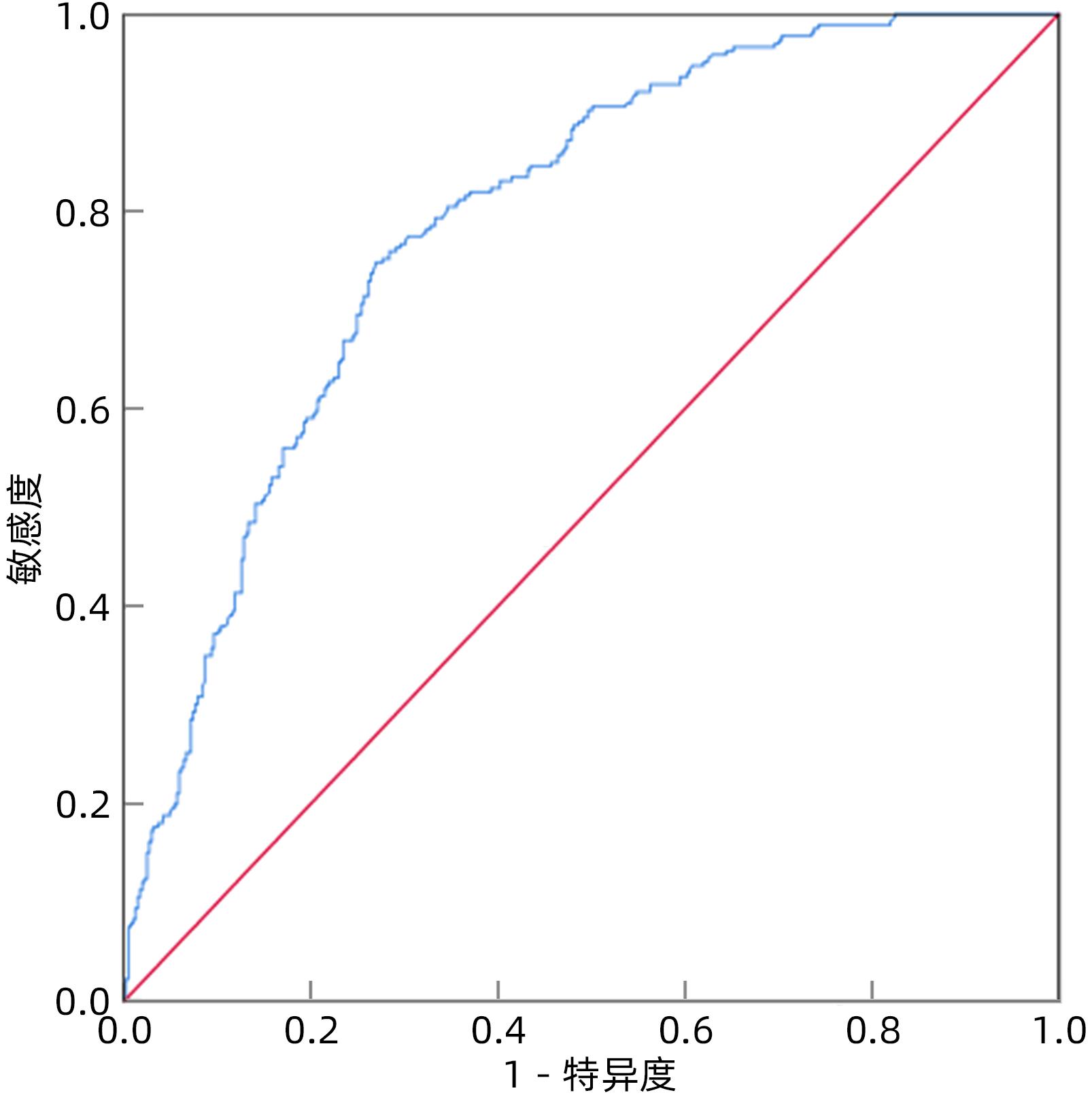
  •   Objective  To investigate the condition of hepatitis B virus (HBV) infection in Yunnan, China, in terms of familial aggregation, risk factors for transmission, and outcome, and to provide strategies for controlling the familial aggregation transmission of HBV.  Methods  The HBsAg-positive patients who were diagnosed in The Third People’s Hospital of Kunming from January 2015 to December 2017 were enrolled, and related data were analyzed, including demographic features and laboratory markers. The chi-square goodness-of-fit test for binomial distribution was performed for the families of the HBsAg-positive patients, and the familial aggregation rate was calculated. The univariate and multivariate Logistic regression models were used to analyze the risk factors for HBV transmission and new-onset liver cirrhosis or liver cancer. The Kaplan-Meier method was used to investigate the cumulative incidence rate of new-onset liver cirrhosis or liver cancer in HBsAg-positive patients, and the log-rank test was used for comparison.  Results  A total of 459 HBsAg-positive families were analyzed, involving 618 HBsAg-positive individuals and 918 HBsAg-negative individuals, and among these families, 107 had ≥2 HBsAg-positive family members, with a familial aggregation rate of 23.31% (χ2=95.393, P<0.001). The mode of transmission was mainly mother-to-child transmission. The multivariate Logistic regression analysis showed that sex (odds ratio [OR]=0.397, 95% confidence interval [CI]: 0.270-0.584, P<0.001), nationality (OR=1.655, 95%CI: 1.035-2.648, P=0.036), monthly income (OR=1.612, 95%CI: 1.094-2.375, P=0.016), shared sanitary appliance (OR=2.789, 95%CI: 1.530-5.086, P<0.001), liver cirrhosis at baseline (OR=2.702, 95%CI: 1.404-5.203, P=0.003), total cholesterol (OR=0.772, 95%CI: 0.657-0.908, P=0.002), and HBV DNA (OR=2.063, 95%CI: 1.753-2.428, P<0.001) were independent influencing factors for the familial aggregation transmission of HBV. The 618 HBsAg-positive patients were followed up for a mean time of 4.80 years, with 85 cases (13.75%) of new-onset liver cirrhosis or liver cancer, and the Kaplan-Meier analysis showed that the families with familial aggregation transmission of HBV had a significantly higher cumulative incidence rate of liver cirrhosis or liver cancer than those without familial aggregation transmission (χ2=10.629, P<0.001). A stratified analysis was performed for the 618 HBsAg-positive patients based on the presence or absence of antiviral therapy and familial aggregation transmission of HBV, and the results showed that the patients who came from the family with familial aggregation transmission of HBV and did not receive antiviral therapy had the highest cumulative incidence rate of liver cirrhosis or liver cancer (32.50%), while those who came from the family without familial aggregation transmission of HBV and received antiviral therapy had the lowest incidence rate of liver cirrhosis or liver cancer (3.33%).  Conclusion  Familial aggregation is observed in HBsAg-positive individuals, and screening, health education, and follow-up observation should be strengthened for their family members. Antiviral therapy can effectively reduce the incidence rates of liver cirrhosis and liver cancer in families with aggregation transmission.

     

  • loading
  • [1]
    TAN M, BHADORIA AS, CUI F, et al. Estimating the proportion of people with chronic hepatitis B virus infection eligible for hepatitis B antiviral treatment worldwide: a systematic review and meta-analysis[J]. Lancet Gastroenterol Hepatol, 2021, 6( 2): 106- 119. DOI: 10.1016/S2468-1253(20)30307-1.
    [2]
    Chinese Society of Infectious Diseases, Chinese Medical Association; Chinese Society of Hepatology, Chinese Medical Association. Guidelines for the prevention and treatment of chronic hepatitis B(version 2019)[J]. J Clin Hepatol, 2019, 35( 12): 2648- 2669. DOI: 10.3969/j.issn.1001-5256.2019.12.007.

    中华医学会感染病学分会, 中华医学会肝病学分会. 慢性乙型肝炎防治指南(2019年版)[J]. 临床肝胆病杂志, 2019, 35( 12): 2648- 2669. DOI: 10.3969/j.issn.1001-5256.2019.12.007.
    [3]
    YANG Y, JIN L, WANG J, et al. Study of molecular epidemiology in families with clusters of hepatitis B virus infection and unfavorable outcome[J]. Chin J Infect Dis, 2016, 34( 9): 540- 544. DOI: 10.3760/cma.j.issn.1000-6680.2016.09.006.

    杨瑗, 金李, 王静, 等. 不良结局家族聚集性乙型肝炎病毒感染家系的分子流行病学[J]. 中华传染病杂志, 2016, 34( 9): 540- 544. DOI: 10.3760/cma.j.issn.1000-6680.2016.09.006.
    [4]
    ZHANG RL, WANG MY, CHEN QY, et al. Study on the risk factors related vertical transmission of HBV positive couples to their infant[J]. Chin J Epidemiol, 2012, 33( 12): 1283- 1287. DOI: 10.3760/cma.j.issn.0254-6450.2012.12.020.

    张荣莲, 王梅颖, 陈起燕, 等. 父母双方乙型肝炎病毒感染垂直传播的危险因素研究[J]. 中华流行病学杂志, 2012, 33( 12): 1283- 1287. DOI: 10.3760/cma.j.issn.0254-6450.2012.12.020.
    [5]
    HUANG Y, WANG W, ZHANG CH, et al. Hepatitis B infection and hepatitis B knowledge and behavior among families with hepatitis B surface antigen positive individuals in Guangzhou[J]. Chin J Vacc Immu, 2021, 27( 2): 187- 190. DOI: 10.19914/j.CJVI.2021027.

    黄勇, 王雯, 张春焕, 等. 广州市乙型肝炎表面抗原阳性家庭乙型肝炎感染和乙型肝炎相关知识与行为调查[J]. 中国疫苗和免疫, 2021, 27( 2): 187- 190. DOI: 10.19914/j.CJVI.2021027.
    [6]
    Chinese Society of Hepatology and Chinese Society of Infectious Diseases, Chinese Medical Association. The guideline of prevention and treatment for chronic hepatitis B: a 2015 update[J]. J Clin Hepatol, 2015, 31( 12): 1941- 1960. DOI: 10.3969/j.issn.1001-5256.2015.12.002.

    中华医学会肝病学分会, 中华医学会感染病学分会. 慢性乙型肝炎防治指南(2015年更新版)[J]. 临床肝胆病杂志, 2015, 31( 12): 1941- 1960. DOI: 10.3969/j.issn.1001-5256.2015.12.002.
    [7]
    MIN DY, HUANG WY, YANG JY, et al. Familial aggregation of hepatitis B virus infection and its influence factors in minority areas of Guizhou province[J]. China Public Health, 2016, 32( 2): 183- 187. DOI: 10.11847/zgggws2016-32-02-15.

    闵定玉, 黄文湧, 杨敬源, 等. 贵州少数民族人群HBV感染家庭聚集性及影响因素分析[J]. 中国公共卫生, 2016, 32( 2): 183- 187. DOI: 10.11847/zgggws2016-32-02-15.
    [8]
    Chinese Society of Hepatology, Chinese Medical Association. Chinese guidelines on the management of liver cirrhosis[J]. J Clin Hepatol, 2019, 35( 11): 2408- 2425. DOI: 10.3969/j.issn.1001-5256.2019.11.006.

    中华医学会肝病学分会. 肝硬化诊治指南[J]. 临床肝胆病杂志, 2019, 35( 11): 2408- 2425. DOI: 10.3969/j.issn.1001-5256.2019.11.006.
    [9]
    General Office of National Health Commission. Standard for diagnosis and treatment of primary liver cancer(2022 edition)[J]. J Clin Hepatol, 2022, 38( 2): 288- 303. DOI: 10.3969/j.issn.1001-5256.2022.02.009.

    国家卫生健康委办公厅. 原发性肝癌诊疗指南(2022年版)[J]. 临床肝胆病杂志, 2022, 38( 2): 288- 303. DOI: 10.3969/j.issn.1001-5256.2022.02.009.
    [10]
    PANG XH, WANG H, MA JX, et al. Study on family aggregation and risk factors of hepatitis B virus transmission in Chaoyang district, Beijing[J]. Chin J Prevent Med, 2012, 46( 9): 818- 821. DOI: 10.3760/cma.j.issn.0253-9624.2012.09.009.

    庞星火, 王怀, 马建新, 等. 北京市朝阳区乙型肝炎病毒感染家庭聚集性及传播危险因素研究[J]. 中华预防医学杂志, 2012, 46( 9): 818- 821. DOI: 10.3760/cma.j.issn.0253-9624.2012.09.009.
    [11]
    BU SH, HUANG WY, WANG JH, et al. Study on association of family structures with family aggregation of hepatitis B virus infection in 1115 households in Guizhou province[J]. J Guizhou Med Univ, 2019, 44( 6): 658- 663. DOI: 10.19367/j.cnki.1000-2707.2019.06.008.

    卜苏洪, 黄文湧, 汪俊华, 等. 贵州省1115户居民家庭结构和乙肝感染家庭聚集性关系研究[J]. 贵州医科大学学报, 2019, 44( 6): 658- 663. DOI: 10.19367/j.cnki.1000-2707.2019.06.008.
    [12]
    XIE ZY, FEI Y, YANG T, et al. Epidemiological investigation of hepatitis B virus infection and analysis of virus mutations in hepatitis B surface antigen positive students and their first-degree relatives[J]. Acad J Second Military Med Univ, 2019, 40( 1): 54- 60. DOI: 10.16781/j.0258-879x.2019.01.0054.

    谢震宇, 费怡, 杨天, 等. 乙型肝炎表面抗原阳性学生及其一级亲属乙型肝炎病毒感染流行病学调查与病毒变异分析[J]. 第二军医大学学报, 2019, 40( 1): 54- 60. DOI: 10.16781/j.0258-879x.2019.01.0054.
    [13]
    BU SH, HUANG WY, WANG JH, et al. Risk factors of family aggregation with hepatitis B virus infection in minority areas of Guizhou province using multilevel statistical model[J]. J Guizhou Med Univ, 2019, 44( 4): 447- 452. DOI: 10.19367/j.cnki.1000-2707.2019.04.014.

    卜苏洪, 黄文湧, 汪俊华, 等. 贵州省两个少数民族地区乙肝感染家庭聚集性影响因素分析[J]. 贵州医科大学学报, 2019, 44( 4): 447- 452. DOI: 10.19367/j.cnki.1000-2707.2019.04.014.
    [14]
    KONG Y, DING ZR, LUO M, et al. Investigation on risk factors of the hepatitis B virus infection by logitstic regression in Yunnan province[J]. Chin J Vacc Immu, 2012, 18( 2): 123- 126, 152.

    孔毅, 丁峥嵘, 罗梅, 等. 云南省乙型肝炎病毒感染危险因素Logistic回归模型分析[J]. 中国疫苗和免疫, 2012, 18( 2): 123- 126, 152.
    [15]
    WU X, XU TT, SHEN LD, et al. Cancer-related risk factors in remote and minority areas of Yunnan province[J]. J Kunming Med Univ, 2019, 40( 10): 77- 80.

    吴夕, 徐婷婷, 沈丽达, 等. 云南省贫困、偏远、少数民族聚集地区癌症相关危险因素现状调查[J]. 昆明医科大学学报, 2019, 40( 10): 77- 80.
    [16]
    LU W, ZHOU Y, XIE JX, et al. Epidemic survey of family clustering risk factors for hepatitis B in Shanghai area[J]. Acad J Second Military Med Univ, 2009, 30( 10): 1162- 1165. DOI: 10.3724/SP.J.1008.2009.01162.

    陆伟, 周赟, 谢佳新, 等. 上海地区乙型肝炎家庭聚集性危险因素的流行病学调查[J]. 第二军医大学学报, 2009, 30( 10): 1162- 1165. DOI: 10.3724/SP.J.1008.2009.01162.
    [17]
    LI YW, DOU XG. Focus on the special population with hepatitis B virus infection: Early diagnosis, early treatment, and early benefits[J]. J Clin Hepatol, 2022, 38( 11): 2441- 2443. DOI: 10.3969/j.issn.1001-5256.2022.11.001.

    李艳伟, 窦晓光. 关注HBV感染特殊人群: 早诊、早治、早获益[J]. 临床肝胆病杂志, 2022, 38( 11): 2441- 2443. DOI: 10.3969/j.issn.1001-5256.2022.11.001.
    [18]
    ZHOU HK, JIANG JN, SU MH, et al. Efficacy of entecavir versus tenofovir disoproxil fumarate in treatment of chronic hepatitis B patients with high viral load[J]. J Clin Hepatol, 2022, 38( 3): 532- 536. DOI: 10.3969/j.issn.1001-5256.2022.03.008.

    周珲堃, 江建宁, 苏明华, 等. 恩替卡韦与替诺福韦酯治疗高病毒载量慢性乙型肝炎患者的效果分析[J]. 临床肝胆病杂志, 2022, 38( 3): 532- 536. DOI: 10.3969/j.issn.1001-5256.2022.03.008.
  • 加载中

Catalog

    通讯作者: 陈斌, bchen63@163.com
    • 1. 

      沈阳化工大学材料科学与工程学院 沈阳 110142

    1. 本站搜索
    2. 百度学术搜索
    3. 万方数据库搜索
    4. CNKI搜索

    Figures(4)  / Tables(5)

    Article Metrics

    Article views (974) PDF downloads(99) Cited by()
    Proportional views
    Related

    /

    DownLoad:  Full-Size Img  PowerPoint
    Return
    Return