中文English
ISSN 1001-5256 (Print)
ISSN 2097-3497 (Online)
CN 22-1108/R

2023 No.7
Theme Issue: Progress in Interventional Diagnosis and Treatment of Portal Hypertension
Chief Editor: ZHU Xiaoli
The First Affiliated Hospital of Soochow University

Display Method:
Editorial
Clinical application of early transjugular intrahepatic portosystemic shunt and related and research advances
Ze WANG, Jintao HUANG, Binyan ZHONG, Jian SHEN, Xiaoli ZHU
2023, 39(7): 1513-1522. DOI: 10.3969/j.issn.1001-5256.2023.07.001
Abstract(1326) HTML (597) PDF (1838KB)(206)
Abstract:
Transjugular intrahepatic portosystemic shunt (TIPS) is a procedure to establish a portosystemic shunt between the hepatic vein and the portal vein via the jugular approach, so as to reduce portal venous pressure and control acute esophagogastric variceal bleeding (EGVB). The prognosis of EGVB has been improved significantly over the past few decades, and endoscopic variceal ligation combined with drug therapy is now recommended as the first-line treatment regimen for this disease. The latest research advances in the management of EGVB over the past decade have focused on the relatively new concept of "early" or "pre-emptive" TIPS, that is to say, early TIPS (within 72 hours after admission, ideally within 24 hours) is recommended for patients with EGVB who are at a relatively high risk of failure in standard treatment. This article briefly introduces the effect of early TIPS on controlling bleeding, mortality rate, and hepatic encephalopathy, the high-risk population for early TIPS, timing of intervention, cost effectiveness, the applications of early TIPS in a real-world setting, and recommendations for early TIPS in international guidelines and consensus statements.
Discussions by Experts
Effect of systemic therapeutic drugs for hepatocellular carcinoma on portal hypertension
Wendi KANG, Yingen LUO, Zhengqiang YANG, Xiao LI
2023, 39(7): 1523-1528. DOI: 10.3969/j.issn.1001-5256.2023.07.002
Abstract(1220) HTML (382) PDF (1714KB)(206)
Abstract:
The vast majority of patients with hepatocellular carcinoma (HCC) in China originate from hepatitis B cirrhosis, while 90% of cirrhotic patients may develop portal hypertension, and the HCC patients with portal hypertension account for 15%-30%. Portal hypertension is a group of clinical syndromes characterized by elevated portal venous pressure and formation of portal-systemic collateral circulation, and it is one of the most important complications of liver cirrhosis. HCC and portal hypertension affect each other, and portal hypertension seriously affects the prognosis of HCC patients. The development of systemic treatment regimens for HCC provides more treatment options for patients with advanced HCC, including molecular-targeted drug therapy, immunotherapy, and chemotherapy. Different systemic therapeutic drugs for HCC have different impacts on portal hypertension, and this article reviews the effect of commonly used systemic therapeutic drugs for HCC on portal hypertension.
Comparison of endoscopic therapy and TIPS in prophylaxis and treatment of variceal bleeding in decompensated portal hypertension
Mengying LIU, Weizhi LI, Peijie LI, Fuquan MA, Yuling CHEN, Huanhuan SUN, Tiantian GAO, Hui XUE
2023, 39(7): 1529-1534. DOI: 10.3969/j.issn.1001-5256.2023.07.003
Abstract(1491) HTML (252) PDF (1720KB)(175)
Abstract:
Esophagogastric variceal bleeding (EGVB) is one of the main complications of decompensated portal hypertension, especially in patients with liver cirrhosis, and it often has a high mortality rate. Medication combined with endoscopy is the main prevention and treatment method for EGVB, while transjugular intrahepatic portosystemic shunt (TIPS) combined with variceal embolization can also be selected for some high-risk patients, and individualized diagnosis and treatment of portal hypertension based on hepatic venous pressure gradient should become the latest consensus and the main strategy. This article mainly reviews endoscopic therapy and TIPS for the prevention and treatment of EGVB patients with decompensated portal hypertension in terms of selection of indications, incidence rate of complications, and respective advantages and disadvantages.
Current status and advances in transjugular intrahepatic portosystemic shunt in treatment of refractory ascites due to portal hypertension
Hongliang WANG, Yuelin ZHANG, Kaibing WANG, Tanyang ZHOU, Guanhui ZHOU, Junhui SUN
2023, 39(7): 1535-1540. DOI: 10.3969/j.issn.1001-5256.2023.07.004
Abstract(1024) HTML (283) PDF (1715KB)(161)
Abstract:
Refractory ascites is one of the common complications of portal hypertension in decompensated liver cirrhosis and is characterized by extremely poor prognosis and high mortality rate. Transjugular intrahepatic portosystemic shunt (TIPS) is recommended by several international and national guidelines as one of the treatment methods after failure of large volume paracentesis combined protein infusion therapy. TIPS can effectively control the recurrence of ascites, but it can increase the risk of hepatic encephalopathy, and there are still controversies over whether it can prolong survival time. With a deeper understanding of TIPS, the maturity of surgical techniques, and the update of stent materials, it is urgent to reevaluate the position of TIPS in the treatment of refractory ascites due to portal hypertension. This article reviews the current status and advances in TIPS for the treatment of refractory ascites due to portal hypertension.
Association between transjugular intrahepatic portosystemic shunt and sarcopenia in patients with liver cirrhosis
Bin XIONG, Chongtu YANG
2023, 39(7): 1541-1546. DOI: 10.3969/j.issn.1001-5256.2023.07.005
Abstract(1116) HTML (257) PDF (1720KB)(154)
Abstract:
Sarcopenia is a common complication of liver cirrhosis and is significantly associated with poor prognosis. Transjugular intrahepatic portosystemic shunt (TIPS) is an important method for the treatment of portal hypertension and its complications. Based on current studies, this article analyzes the association between sarcopenia and the outcomes (hepatic encephalopathy and mortality) of patients with liver cirrhosis after TIPS and the value of improving the predictive ability of existing prognostic models for sarcopenia, as well as the improvement in sarcopenia after TIPS and its significance in the clinical management of patients with liver cirrhosis. A comprehensive analysis of existing reports show that baseline sarcopenia is associated with poor prognosis after TIPS, and it is thus recommended to evaluate nutritional status before TIPS based on radiological examination; TIPS can improve nutritional status and help to achieve reversal or improvement of sarcopenia to a certain extent, and it can also be translated into survival benefit. Therefore, for patients with sarcopenia and a relatively stable disease, TIPS can be performed as soon as possible after comprehensive evaluation.
Guideline
Guidelines for the integrated traditional Chinese and Western medicine diagnosis and treatment of acute-on-chronic liver failure
Chinese Association of Integrative Medicine, China Association of Chinese Medicine, Chinese Medical Association
2023, 39(7): 1547-1552. DOI: 10.3969/j.issn.1001-5256.2023.07.006
Abstract(1658) HTML (399) PDF (2449KB)(264)
Abstract:
Acute-on-chronic liver failure (ACLF) is a clinical syndrome with the manifestations of liver failure such as acute deepening of jaundice and coagulation disorder due to various predisposing factors, characterized by multiple organ failure and high mortality rate within a short period of time. In terms of traditional Chinese medicine, ACLF belongs to the categories of "acute jaundice", "scourge jaundice", and "liver failure", and now there is still a lack of specific medical treatment methods in clinical practice. With the orientation of "key clinical problems of traditional Chinese and Western medicine" in the guidelines, the working group constructed the clinical problems associated with ACLF based on the principles of Participants, Interventions, Comparisons, and Outcomes and followed the principles of evidence-based medicine. Through systematic review and objective evaluation of the clinical evidence concerning the efficacy of integrated traditional Chinese and Western medicine therapy for ACLF in the past 10 years, the guidelines were developed with reference to the latest diagnosis and treatment guidelines and expert consensus in China and globally and the comments from multidisciplinary experts, in order to provide guidance and reference for the diagnosis and treatment of ACLF among clinicians and further improve the diagnosis and treatment level of ACLF in China.
Guideline Interpretation
Interpretation of guidelines for the prevention and treatment of chronic hepatitis B (2022 edition)
Yandi XIE, Bo FENG, Huiying RAO
2023, 39(7): 1553-1559. DOI: 10.3969/j.issn.1001-5256.2023.07.007
Abstract(5771) HTML (1242) PDF (1733KB)(1046)
Abstract:
Guidelines for the prevention and treatment of chronic hepatitis B (2022 edition) are updated and revised based on the research advances in chronic hepatitis B virus infection in China and globally and the previous editions of the guidelines. This article introduces the updates in natural history and the noninvasive diagnosis and treatment of fibrosis. In particular, the guidelines further expand the indications for patients with chronic hepatitis B virus infection, clearly defines the selection of the population benefiting from interferon therapy, and strictly limits the standard of oral nucleos(t)ide analogues. Meanwhile, the guidelines also recommend more active treatment of patients with low-level viremia and children in the immune-tolerant phase. The new edition of the guidelines will provide an important basis for expanding the screening for hepatitis B virus infection, improving diagnostic rate, optimizing treatment regimens, and standardizing clinical management in China.
Interpretation of guideline for the prevention and treatment of hepatitis C (2022 version): Antiviral therapy for special populations
Qinglei ZENG, Fanpu JI
2023, 39(7): 1560-1563. DOI: 10.3969/j.issn.1001-5256.2023.07.008
Abstract(1176) HTML (359) PDF (1692KB)(265)
Abstract:
In 2022, Chinese Society of Hepatology and Chinese Society of Infectious Diseases, Chinese Medical Association, organized domestic experts to update the guideline for the prevention and treatment of hepatitis C from the aspects of epidemiology, population screening and prevention, laboratory testing, simplification of diagnostic processes and treatment regimens, and antiviral therapy for special populations. This article aims to interpret the treatment of special populations not specifically mentioned in the new guideline, including pregnant women and patients with hepatocellular carcinoma, as well as other issues that need to be solved, in order to provide a reference for clinicians in practical work.
Original Article_Viral Hepatitis
Value of blood lipid parameters in predicting the progression of HBV-related acute-on-chronic pre-liver failure
Min GUAN, Jiani LI, Yinjie GAO, Hao LI, Xiaoping WANG, Shanhong TANG
2023, 39(7): 1564-1569. DOI: 10.3969/j.issn.1001-5256.2023.07.009
Abstract(871) HTML (221) PDF (1875KB)(94)
Abstract:
  Objective  To investigate the difference in blood lipid parameters between acute-on-chronic pre-liver failure (pre-ACLF) and acute-on-chronic liver failure (ACLF) and the risk factors for disease progression.  Methods  A retrospective analysis was performed for the related data of 118 patients with ACLF (ACLF group) and 44 patients with pre-ACLF (pre-ACLF group) who were treated in The General Hospital of Western Theater Command from January 2012 to December 2020, including baseline age, albumin, creatinine, routine blood test results, and blood lipids. The independent samples t-test was used for comparison between normally distributed continuous data; and the Mann-Whitney U test was used for comparison between non-normally distributed continuous data; the chi-square test was used for comparison of categorical data between groups. A binary logistic regression analysis was used for multivariate analysis to identify independent predictive factors. The receiver operating characteristic (ROC) curve was used to compare the sensitivity and specificity of related indicators, and Youden index was used to calculate cut-off values.  Results  Compared with the pre-ACLF group, the ACLF group had significantly lower levels of total cholesterol (TC)[2.02(1.56-2.37) mmol/L vs 3.01(2.57-3.66) mmol/L, Z=5.411, P < 0.001], high-density lipoprotein [0.40(0.25-0.49) mmol/L vs 0.62(0.47-0.75) mmol/L, Z=4.781, P < 0.001], and low-density lipoprotein (LDL) [1.52(1.22-1.84) mmol/L vs 1.93(1.49-2.36) mmol/L, Z=3.146, P=0.002] and significantly higher levels of total bilirubin [352.13(284.32-451.19) μmol/L vs 135.80(112.80-154.68) μmol/L, Z=-9.775, P < 0.001], international normalized ratio [1.96(1.71-2.51) vs 1.39(1.33-1.44), Z=-9.776, P < 0.001], white blood cell count (WBC) [6.74(5.07-9.19)×109/L vs 5.04(4.13-7.09)×109/L, Z=-3.985, P < 0.001], and neutrophils [4.67(3.40-7.06)×109/L vs 3.30(2.72-5.01)×109/L, Z=-3.676, P < 0.001], while there were no significant differences between the two groups in age, creatinine, albumin, alanine aminotransferase, aspartate aminotransferase, and triglyceride (all P > 0.05). The logistic regression analysis showed that TC (odds ratio [OR]=0.003, 95% confidence interval [CI]: 0.000-0.068, P < 0.05), LDL (OR=61.901, 95%CI: 3.354-1142.558, P < 0.05), and WBC (OR=3.175, 95%CI: 1.097-9.185, P < 0.05) had an independent predictive value, and the ROC analysis showed that the area under the ROC curve of TC was 0.852, the sensitivity of LDL was 0.887, and TC had the best specificity of TC was 0.840.  Conclusion  There are reductions in blood lipid parameters in the progression from pre-ACLF to ACLF, suggesting that clinicians should pay attention to the changes in lipids in the pre-ACLF stage and adjust the nutritional regimen in a timely manner.
Original Article_Liver fibrosis and liver cirrhosis
Clinical features of idiopathic non-cirrhotic portal hypertension: An analysis of 74 patients
Xinhuan WEI, Jing ZHANG, Zhili ZHANG, Yan LIU, Lijuan FAN, Jian SONG, Yuening ZHANG
2023, 39(7): 1570-1577. DOI: 10.3969/j.issn.1001-5256.2023.07.010
Abstract(921) HTML (247) PDF (2041KB)(109)
Abstract:
  Objective  Idiopathic non-cirrhotic portal hypertension (INCPH) is a rare cause of portal hypertension, and this study aims to analyze the clinical features of patients with INCPH, and to assist in diagnosis and differential diagnosis.  Methods  A total of 74 patients who were hospitalized in Beijing YouAn Hospital from January 2019 to July 2022 and were diagnosed with INCPH were enrolled, and 332 patients with liver cirrhosis who were hospitalized during the same period of time were enrolled as control group. Demographic data, laboratory markers, gastroscopy, liver elasticity, pathological examination, and complications were recorded and compared between the two groups. The receiver operating characteristic (ROC) curve was used to investigate the ability of liver stiffness measurement (LSM), aspartate aminotransferase-to-platelet ratio index (APRI), and fibrosis-4 (FIB-4) in the differential diagnosis of INCPH, and the DeLong test was used to compare the area under the ROC curve (AUC). The independent-samples t test was used for comparison of normally distributed continuous data between two groups, and the Mann-Whitney U test was used for comparison of non-normally distributed continuous data between two groups; the chi-square test was used for comparison of categorical data between two groups.  Results  Among the patients with INCPH, 46.55% had no obvious symptoms at disease onset and 43.24% were misdiagnosed with liver cirrhosis. Compared with the patients with liver cirrhosis, the patients with INCPH had a significantly higher proportion of patients with gastrointestinal bleeding (62.16% vs 41.27%, χ2=10.67, P < 0.01) and a significantly lower proportion of patients with moderate-to-severe ascites (16.21% vs 29.82%, χ2=34.98, P < 0.01), and there were few patients with hepatic encephalopathy. As for pathology, 89.19% (66/74) of the INCPH patients manifested as typical occlusive portal vein disease. The statistical analysis showed that compared with the patients with liver cirrhosis, the patients with INCPH had significantly better liver function parameters, MELD score, and Child-Pugh score and significantly lower LSM [9.05(7.18-12.33) vs 25.32(16.21-47.23), Z=-8.41, P < 0.01], APRI score [0.70(0.41-1.28) vs 1.35(0.80-2.39), Z=-6.21, P < 0.01], and FIB-4 index [2.99(1.62-4.81) vs 6.68(4.06-10.42), Z=-8.39, P < 0.01]. LSM, FIB-4, and APRI had a good ability in differentiating INCPH from liver cirrhosis, and in particular, LSM had an AUC of up to 0.92 (95% confidence interval: 0.87-0.96), with a sensitivity of 92.68% and a specificity of 81.60%.  Conclusion  INCPH patients tend to have an insidious onset, a relatively high incidence rate of portal hypertension-related complications, and relatively good liver function, especially the patients with LSM < 14.5 kPa. The possibility of INCPH should be considered for such patients in clinical practice.
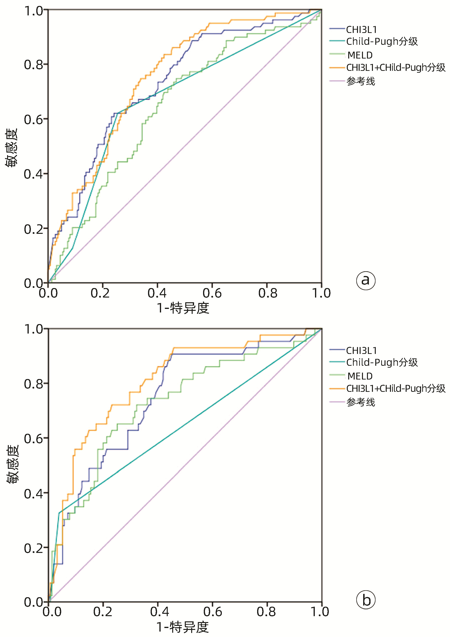
Value of serum chitinase-3-like protein 1 in predicting the risk of decompensation events in patients with liver cirrhosis
Hang YANG, Lili ZHAO, Ping HAN, Qingling CHEN, Jun WEN, Jie LIU, Xiaojing CHENG, Jia LI
2023, 39(7): 1578-1585. DOI: 10.3969/j.issn.1001-5256.2023.07.011
Abstract(1533) HTML (792) PDF (2209KB)(96)
Abstract:
  Objective  To investigate the value of serum chitinase-3-like protein 1 (CHI3L1) in predicting the risk of decompensation events in patients with liver cirrhosis, since prediction of decompensation events and adoption of active preventive measures are the key to improving the survival time of patients with liver cirrhosis.  Methods  A case-control study was conducted for 305 patients with liver cirrhosis who were diagnosed and treated in Tianjin Second People's Hospital from January 2019 to May 2021, among whom there were 200 patients with compensated liver cirrhosis and 105 patients with decompensated liver cirrhosis at baseline. According to whether decompensation events occurred within 1 year, the 305 patients with liver cirrhosis were divided into decompensation group with 79 patients and non-decompensation group with 226 patients; according to whether decompensation events occurred for the first time within 1 year, the 200 patients with compensated liver cirrhosis were divided into first-time decompensation group with 43 patients and non-first-time decompensation group with 157 patients. The independent samples t-test or the Mann-Whitney U test was used for comparison of normally distributed continuous data between groups, and the Wilcoxon rank-sum test or the chi-square test was used for comparison of categorical data between groups. The binary logistic regression analysis was used to investigate the association between each variable and decompensation events; the receiver operating characteristic (ROC) curve and the area under the ROC curve (AUC) were used to investigate the value of each variable in predicting decompensation events, and the maximum value of Youden index was used to determine the optimal cut-off value.  Results  The patients who experienced decompensation events within 1 year had a significantly higher baseline serum level of CHI3L1 than those who did not experience such events [243.00 (136.00-372.00) ng/mL vs 117.50 (67.75-205.25) ng/mL, U=4720.500, P < 0.001], and the patients who experienced decompensation events for the first time within 1 year had a significantly higher baseline serum level of CHI3L1 than those who did not experience such events [227.98 (110.00-314.00) ng/mL vs 90.00 (58.00-168.50) ng/mL, U=1 681.500, P < 0.001]. Patients with cirrhosis with higher baseline CHI3L1 levels had an increased risk of decompensation events within 1 year (OR=1.004, 95%CI: 1.002-1.006, P < 0.001); Patients with compensated cirrhosis with higher baseline serum CHI3L1 levels had an increased risk of first decompensated event within 1 year (OR=1.006, 95%CI: 1.003-1.008, P < 0.001). The baseline serum level of CHI3L1 had an AUC of 0.751 in predicting the risk of first-time decompensation events, with a sensitivity of 90.7% and a specificity of 55.4% at the optimal cut-off value of 95.5 ng/mL. The predictive model based on the combination of serum CHI3L1 level and Child-Pugh class had an AUC of 0.809, with a sensitivity of 72.1% and a specificity of 77.1% at the maximum value of Youden index.  Conclusion  Serum CHI3L1 level can be used as an effective predictive factor for the risk of first-time decompensation events in patients with compensated liver cirrhosis, and its combination with Child-Pugh class shows a higher predictive value.
Original Article_Liver Neoplasm
Risk factors for pulmonary infection after laparoscopic surgery in treatment of hepatocellular carcinoma with liver cirrhosis and portal hypertension
Jing WEN, Zhe JIA, Rong HE, Yanhua ZHANG, Hongwei ZHANG, Ke ZHANG
2023, 39(7): 1586-1591. DOI: 10.3969/j.issn.1001-5256.2023.07.012
Abstract(891) HTML (211) PDF (1876KB)(73)
Abstract:
  Objective  To investigate the incidence rate of pulmonary infection after laparoscopic surgery and related risk factors in patients with hepatocellular carcinoma (HCC) comorbid with liver cirrhosis and portal hypertension (PHT).  Methods  A retrospective analysis was performed for the clinical data of 105 HCC patients with liver cirrhosis and PHT who underwent laparoscopic surgery in Beijing Ditan Hospital, Capital Medical University, from January 2017 to February 2022. A total of 30 factors that might cause pulmonary infection were recorded, including general information, disease factors, surgical factors, and postoperative factors. Postoperative recovery was observed and the occurrence of pulmonary infection was recorded. The chi-square test or the Fisher's exact test was used for comparison of categorical data between two groups, and the multivariate logistic regression analysis was used to investigate the independent risk factors for pulmonary infection.  Results  Among the 105 patients, 66 underwent laparoscopic devascularization combined with hepatectomy and 39 underwent laparoscopic devascularization combined with radiofrequency ablation (RFA). The surgery was successful for all patients, with no case of conversion to laparotomy or unscheduled reoperation. No death was observed within 30 days after surgery and during hospitalization, with a median length of hospital stay of 20 days (range 14-25 days). The incidence rate of pulmonary infection was 25.71% (27/105). Smoking (odds ratio [OR]=3.362, 95% confidence interval [CI]: 1.282-8.817, P=0.014), MELD score (OR=3.801, 95%CI: 1.007-14.351, P=0.049), tumor location (OR=1.937, 95%CI: 1.169-3.211, P=0.010), surgical procedure (OR=0.006, 95%CI: 0.001-0.064, P=0.000), intraoperative infusion volume (OR=4.871, 95%CI: 1.211-19.597, P=0.026), and postoperative pleural effusion (OR=9.790, 95%CI: 1.826-52.480, P=0.008) were independent risk factors for pulmonary infection.  Conclusion  There is a relatively high risk of pulmonary infection in HCC patients with liver cirrhosis and PHT undergoing laparoscopic surgery. Postoperative pleural effusion is the high risk factor for pulmonary infection, and devascularization combined with RFA can significantly reduce the risk of pulmonary infection. It is recommended to strengthen preoperative rehabilitation, perioperative liver function maintenance, intraoperative damage control, and goal-oriented fluid therapy and reduce postoperative fluid accumulation in the third space, so as to reduce the incidence rate of pulmonary infection.
Efficacy of hepatic arterial infusion chemotherapy and its multimodality therapeutic regimens in treatment of patients with advanced hepatocellular carcinoma and related prognostic factors
Wencong DAI, Mengya ZANG, Guosheng YUAN, Qi LI, Rong LI, Wenli LI, Shuyu DONG, Jinzhang CHEN
2023, 39(7): 1592-1599. DOI: 10.3969/j.issn.1001-5256.2023.07.013
Abstract(1478) HTML (1038) PDF (2254KB)(93)
Abstract:
  Objective  To investigate the efficacy of continuous hepatic arterial infusion chemotherapy (HAIC) with the FOLFOX regimen and its multimodality therapeutic regimen in the treatment of patients with advanced hepatocellular carcinoma, as well as the influencing factors for prognosis.  Methods  A retrospective analysis was performed for the clinical data of 66 patients with advanced hepatocellular carcinoma who received continuous HAIC with FOLFOX regimen in Nanfang Hospital, Southern Medical University, from September 2018 to November 2021. The patients were observed in terms of objective response rate (ORR), disease control rate (DCR), median progression-free survival (mPFS), and median overall survival (mOS) after treatment, and treatment-related adverse reactions were recorded. For the patients with portal vein tumor thrombus, the effect of the treatment on portal vein tumor thrombus was assessed. The Kaplan-Meier method was used for survival analysis, and the Cox regression analysis was used to investigate the influencing factors for prognosis.  Results  According to the RECIST1.1 criteria, FOLFOX-HAIC and its multimodality therapeutic regimen achieved an ORR of 33.3% (22/66) and a DCR of 86.4% (57/66) in the treatment of 66 patients with advanced hepatocellular carcinoma, with an mPFS time of 8.2 months and an mOS time of 22.1 months. Among the 39 patients with portal vein tumor thrombus, 2 achieved complete remission, 8 achieved partial remission, 24 achieved stable disease, and 5 had disease progression, with an ORR of 25.6% (10/39) and a DCR of 87.2% (34/39). The main adverse reactions included gastrointestinal reactions (16.7%, 11/66), pyrexia (12.1%, 8/66), liver area pain (10.6%, 7/66), bone marrow suppression (3.0%, 2/66), and contrast agent allergy (3.0%, 2/66), and there were no grade > Ⅳ toxic or side effects or deaths caused by such complications. The Cox regression analysis showed that extrahepatic metastasis (hazard ratio [HR]=2.668, 95% confidence interval [CI]: 1.357-5.245, P < 0.05) and prothrombin time (PT) (HR=1.282, 95%CI: 1.080-1.630, P < 0.05) were independent risk factors for PFS, and aspartate aminotransferase level (HR=1.008, 95%CI: 1.002-1.013, P < 0.05) and PT (HR=1.303, 95%CI: 1.046-1.630, P < 0.05) were independent risk factors for OS.  Conclusion  FOLFOX-HAIC and its multimodality therapeutic regimen has a certain clinical effect with controllable adverse reactions in the treatment of advanced hepatocellular carcinoma.
Value of the nomogram based on HALP score in predicting the prognosis of patients with hepatocellular carcinoma after hepatectomy
Zhuoran LIU, Jing LI, Yu ZHOU, Pingfu XIONG, Li YANG, Wenguang FU
2023, 39(7): 1600-1608. DOI: 10.3969/j.issn.1001-5256.2023.07.014
Abstract(1032) HTML (449) PDF (2967KB)(77)
Abstract:
  Objective  To investigate the value of HALP score in evaluating the prognosis of patients with hepatocellular carcinoma (HCC) after hepatectomy and whether the nomogram based on HALP score could effectively predict the postoperative survival of patients.  Methods  A retrospective study was performed for the clinical data of 253 HCC patients who underwent surgical treatment in Department of Hepatobiliary Surgery, The Affiliated Hospital of Southwest Medical University, from July 2013 to March 2020. The receiver operating characteristic (ROC) curve was plotted to calculate the optimal cut-off values of HALP score and other related indicators; the chi-square test was used to investigate the association between HALP score and clinicopathological features; the Kaplan-Meier method was used to plot survival curves, and the Log-rank test method was used for comparison. The univariate and multivariate Cox regression analyses were used to investigate the association of HALP score and other clinical parameters with the prognosis of patients. R3.6 was used to establish a nomogram; C-index and calibration curve were used to evaluate the predictive ability of the nomogram, and net reclassification index (NRI) and integrated discrimination improvement (IDI) were used to compare predictive ability between the nomogram model and the conventional model.  Results  The Kaplan-Meier analysis showed that the high HALP group had significantly better overall survival (OS) and recurrence-free survival (RFS) than the low HALP group (P < 0.001). The univariate Cox regression analysis showed that white blood cell count, gamma-glutamyl transpeptidase (GGT), alkaline phosphatase (ALP), alpha-fetoprotein (AFP), surgical approach, microvascular invasion, TNM stage, degree of tumor differentiation, HALP, aspartate aminotransferase (AST)/alanine aminotransferase (ALT) ratio, neutrophil-to-lymphocyte ratio (NLR), and monocyte-to-lymphocyte ratio (MLR) were significantly associated with OS (all P < 0.05). The variables with statistical significance in the univariate Cox regression analysis were included in the multivariate Cox regression analysis, and the results showed that ALP, AST/ALT ratio, ALP, AFP, degree of tumor differentiation, and TNM stage were independent influencing factors for OS after surgery in HCC patients (all P < 0.05). The univariate Cox regression analysis showed that GGT, ALP, AFP, microvascular invasion, TNM stage, degree of tumor differentiation, HALP, AST/ALT ratio, NLR, and MLR were significantly associated with RFS (all P < 0.05), and the multivariate Cox regression analysis showed that HALP, AST/ALT ratio, NLR, ALP, AFP, and TNM stage were independent influencing factors for RFS after surgery in HCC patients (all P < 0.05). The nomograms for OS and RFS of HCC patients were established based on the multivariate analysis. The nomogram for OS had a C-index of 0.732 (95% confidence interval [CI]: 0.691-0.774) and an area under the ROC curve of 0.795, 0.791, and 0.775, respectively, in predicting 1-, 3-, and 5-year survival rates, and the nomogram for RFS had a C-index of 0.677 (95%CI: 0.637-0.717) and an area under the ROC curve of 0.742, 0.733, and 0.716, respectively, in predicting 1-, 3-, and 5-year survival rates. The calibration curves of 1-, 3-, and 5-year OS were well fitted to those of 1-, 3-, and 5-year RFS.  Conclusion  A low level of HALP before surgery is a predictive factor for poor long-term prognosis in HCC patients undergoing surgical treatment, and the nomogram model based on HALP score is superior to the BCLC staging model and can better predict the prognosis of HCC.
Efficacy and safety of microwave ablation combined with systemic chemotherapy in treatment of recurrent intrahepatic cholangiocarcinoma
Chun WEI, Yu LIU, Bo LI, Ou JIANG
2023, 39(7): 1609-1616. DOI: 10.3969/j.issn.1001-5256.2023.07.015
Abstract(1030) HTML (287) PDF (2115KB)(62)
Abstract:
  Objective  To investigate the efficacy and safety of microwave ablation (MWA) combined with chemotherapy versus MWA alone in the treatment of recurrent intrahepatic cholangiocarcinoma (RICC).  Methods  A retrospective cohort study was conducted among the patients with RICC who received MWA+chemotherapy or MWA in The Second People's Hospital of Neijiang and The Affiliated Hospital of Southwest Medical University from January 2014 to March 2021, and their clinicopathological data were collected. The independent samples t-test was used for comparison of continuous data, and the chi-square test and the Fisher's exact test were used for comparison of categorical data. The Kaplan-Meier method was used to calculate progression-free survival (PFS) and overall survival (OS), and the Log-rank test was used for comparison of survival differences. Univariate and multivariate Cox proportional-hazards regression model analyses were used to investigate the risk factors for survival and prognosis.  Results  A total of 106 patients with RIC were enrolled, among whom there were 55 patients in the MWA+chemotherapy group and 51 in the MWA group. By the end of follow-up, the MWA+chemotherapy group had a median PFS of 15.0 months (95% confidence interval [CI]: 14.5-15.5), and the MWA group had a median PFS of 13.4 months (95%CI: 11.6-15.2), with a significant difference between the two groups (χ2=9.624, P=0.002). The MWA+chemotherapy group had a median OS of 21.0 months (95%CI: 20.0-21.8), and the MWA group had a median OS of 18.0 months (95%CI: 16.3-19.7), with a significant difference between the two groups (χ2=12.784, P < 0.001). The Cox regression analysis showed that tumor diameter (PFS: hazard ratio [HR]=0.425, 95%CI: 0.208-0.868, P=0.019; OS: HR=0.299, 95%CI: 0.121-0.739, P=0.009), time to recurrence (PFS: HR=7.064, 95%CI: 3.612-13.618, P < 0.001; OS: HR=2.341, 95%CI: 1.072-5.113, P=0.033), and combined chemotherapy (PFS: HR=0.138, 95%CI: 0.069-0.276, P < 0.001; OS: HR=0.175, 95%CI: 0.081-0.380, P < 0.001) were independent influencing factors for PFS and OS in patients with RICC. As for the common adverse reactions, there were no significant differences in the incidence rates of all adverse reactions except hematological toxicity (χ2=12.524, P < 0.001).  Conclusion  Compared with MWA alone, MWA combined with chemotherapy can improve the prognosis of RICC and prolong PFS and OS, with safe and controllable side effects. Patients with tumor diameter > 5 cm, time to recurrence < 1 year, and absence of systemic chemotherapy tend to have a poor prognosis.
Original Article_Other Liver Disease
Ursolic acid in Hippophae rhamnoides L. inhibits hepatocyte apoptosis in rats with alcoholic liver disease by regulating mitochondria-cytochrome c
Yanhong BAO, Qiang WANG, Wenlong ZHANG, Na GE, Nan LI, Jun SU, Kexin LI
2023, 39(7): 1617-1626. DOI: 10.3969/j.issn.1001-5256.2023.07.016
Abstract(1190) HTML (529) PDF (4153KB)(77)
Abstract:
  Objective  To investigate the inhibitory effect of ursolic acid in Hippophae rhamnoides L. on hepatocyte apoptosis in rats with alcoholic liver disease based on the mitochondria-cytochrome c pathway.  Methods  A total of 50 specific pathogen-free male Wistar rats were divided into normal control group, alcohol model group, and low-, middle-, and high-dose ursolic acid groups using a random number table, with 10 rats in each group. The rats in the normal control group were given normal saline by gavage once a day for 8 weeks; the rats in the alcohol model group were given alcohol at increasing concentrations by gavage for 8 consecutive weeks; the rats in the low-, middle-, and high-dose ursolic acid groups were given ursolic acid at a dose of 50, 100, and 150 mg/kg, respectively, followed by an equal volume of alcohol as the model group 1 hour later. Serum liver function parameters were measured for each group; HE staining was used to observe liver histopathology; an electron microscope was used to observe hepatocyte ultrastructure; the TUNEL method was used to measure hepatocyte apoptosis; Western Blotting was used to measure the protein expression levels of cytochrome c and activated caspase-3 in hepatocyte mitochondria and cytoplasm. A one-way analysis of variance was used for comparison of continuous data between multiple groups, and the least significant difference t-test was used for further comparison between two groups.  Results  Compared with the alcohol model group, the middle- and high-dose ursolic acid groups had significant reductions in the serum level of alanine aminotransferase, aspartate aminotransferase, and cholinesterase (all P < 0.05). The rats in the alcohol model group had disordered arrangement of hepatic cords with marked hepatocyte edema and fatty degeneration, while those in the middle- and high- dose ursolic acid groups had basically normal arrangement of hepatic cords and a significant improvement in hepatocyte fatty degeneration, as well as a significant increase in the number of hepatocyte mitochondria and a significant improvement in morphology. Compared with the alcohol model group, the middle- and high-dose ursolic acid groups had significantly lower hepatocyte apoptosis rate and protein expression levels of cytochrome c and caspase-3 in cytoplasm (all P < 0.05).  Conclusion  Ursolic acid in Hippophae rhamnoides L. can improve the liver function and histomorphology of rats with alcoholic liver disease, possibly by inhibiting the release of cytochrome c in hepatocyte mitochondria, the activation of caspase-3, and the apoptosis of hepatocytes via the mitochondria-cytochrome c pathway.
Analysis of influencing factors on biliary complications after orthotopic liver transplantation
Mingqiang ZHU, Dashuai YANG, Junpeng PEI, Xiangyun XIONG, Yang SU, Youming DING
2023, 39(7): 1627-1632. DOI: 10.3969/j.issn.1001-5256.2023.07.017
Abstract(714) HTML (440) PDF (1878KB)(59)
Abstract:
  Objective  To analyze the serological markers and surgical indicators associated with biliary complications after orthotopic liver transplantation, explore their influencing factors and predictive indicators.  Methods  A retrospective analysis was performed for the clinical data of 101 patients who underwent orthotopic liver transplantation in Renmin Hospital of Wuhan University from January 2016 to June 2022, according to the presence or absence of biliary complication (BC) at 6 months after surgery, they were divided into BC group with 21 patients and non-BC group with 80 patients.The t-test or the Mann-Whitney U test was used for comparison of continuous data between groups, and the chi-square test was used for comparison of categorical data between groups.Univariate and multivariate Logistic regression analyses were performed, and the receiver operating characteristic (ROC) curve was used to evaluate the predictive performance of combined indicators.  Results  Among the 101 patients, 21(20.8%) experienced BC.The multivariate Logistic regression analysis showed that MELD score (odds ratio[OR]=0.134, 95% confidence interval[CI]: 0.031-0.590, P=0.008), SⅡ/Alb (OR=1.415, 95%CI: 1.181-1.696, P=0.001), and plasma transfusion volume (OR=1.001, 95%CI: 1.000-1.002, P=0.032) were independent risk factors for the development of BC in patients after liver transplantation.MELD score, SⅡ/Alb, plasma transfusion volume, MELD+SⅡ/Alb, and MELD+SⅡ/Alb+plasma transfusion volume had an area under the ROC curve of 0.712, 0.870, 0.712, 0.900, and 0.918, respectively, in predicting BC after liver transplantation.  Conclusion  SⅡ/Alb, plasma transfusion volume and MELD score are independent risk fators for BC after liver transplantation.The combination of three indicators has good predictive value and clinical guiding significance for BC after liver transplantation.
Original Article_Pancreatic Disease
Effect of early thoracic paracentesis drainage on acute lung injury in severe acute pancreatitis
Xuyang WANG, Zhangpeng WANG, Jun WU, Guangxu JING, Zhu HUANG, Hongyu SUN, Lijun TANG
2023, 39(7): 1633-1642. DOI: 10.3969/j.issn.1001-5256.2023.07.018
Abstract(1041) HTML (348) PDF (2121KB)(59)
Abstract:
  Objective  To investigate the effect of early thoracic paracentesis drainage for pleural effusion with a small or moderate volume on acute lung injury in patients with severe acute pancreatitis (SAP).  Methods  A retrospective analysis was performed for the clinical data of 107 patients with SAP who were admitted to The General Hospital of Western Theater Command from January 2015 to December 2021, and according to whether thoracic paracentesis drainage was performed within the first three days after admission, the patients were divided into thoracic paracentesis drainage group (TPD group with 51 patients) and non-thoracic paracentesis drainage group (N-TPD group with 56 patients).The two groups were compared in terms of laboratory markers and clinical outcome on days 5 and 10 after admission.The independent-samples t test was used for comparison of normally distributed continuous data between two groups, and the Mann-Whitney U test was used for comparison of non-normally distributed continuous data between two groups; the chi-square test was used for comparison of categorical data between two groups.  Results  Compared with the N-TPD group, the TPD group had a significantly shorter length of stay in the intensive care unit, a significantly shorter length of hospital stay, and significantly lower hospital costs (all P < 0.05), while there were no significant differences between the TPD group and the N-TPD group in mortality rate (9.8% vs 14.3%, χ2=0.502, P=0.478) and the incidence rate of sepsis (29.4% vs 44.6%, χ2=2.645, P=0.104).The TPD group had a significant reduction in the incidence rate of acute respiratory distress syndrome (ARDS)(χ2=6.038, P=0.043), as well as a significantly lower incidence rate of moderate ARDS than the N-TPD group (7.8% vs 21.4%, χ2=3.874, P=0.049).Compared with the N-TPD group, the TPD group had a significantly lower rate of use of mechanical ventilation (35.3% vs 57.2%, χ2=6.735, P=0.034) and a significantly lower proportion of patients receiving invasive mechanical ventilation (9.8% vs 26.8%, χ2=5.065, P=0.024).Compared with the N-TPD group, the TPD group had a significantly lower incidence rate of pulmonary infection (23.5% vs 42.9%, χ2=4.466, P=0.035) and a significantly shorter duration of systemic inflammatory response syndrome (11.2±5.0 days vs 16.8±4.7 days, t=5.949, P < 0.001).Compared with the N-TPD group, the TPD group had significantly better laboratory markers (high-sensitivity C-reactive protein, interleukin-1, interleukin-6, interleukin-8, tumor necrosis factor-α, arterial partial pressure of oxygen, oxygen saturation, and oxygenation index) and incidence rate of respiratory failure on days 5 and 10 after admission (all P < 0.05).On day 10 after admission, the TPD group had significantly better APACHE Ⅱ score and modified Mashall score than the N-TPD group (both P < 0.05).  Conclusion  For SAP patients with a small or moderate volume of pleural effusion, early thoracic paracentesis drainage can effectively improve acute lung injury, alleviate systemic inflammatory response, shorten the length of hospital stay, and reduce hospital costs.
Influencing factors for acute necrotizing pancreatitis in Eastern and Western countries: A meta-analysis
Shuli MA, Xiaoxi YANG, Chen CHEN, Jing YU, You ZHOU, Guotao LU, Xiaoxing XIANG, Weijuan GONG, Weiwei CHEN, Juan CHEN
2023, 39(7): 1643-1656. DOI: 10.3969/j.issn.1001-5256.2023.07.019
Abstract(943) HTML (350) PDF (2023KB)(59)
Abstract:
  Objective  To investigate the differences in the influencing factors for acute necrotizing pancreatitis (ANP) and infectious pancreatic necrosis (IPN) between Eastern and Western countries, and to provide a theoretical basis for the prediction and prevention of ANP.  Methods  Databases including PubMed, Embase, the Cochrane Library, and Web of Science were searched for articles on the influencing factors for ANP and IPN published up to January 21, 2021, and a Meta-analysis was performed.  Results  A total of 59 studies were included, with 22 studies from Eastern countries and 37 studies from Western countries.The Meta-analysis showed that in Eastern countries, male sex (odds ratio[OR]=1.51, 95% confidence interval[CI]: 1.18-1.91, P < 0.01), C-reactive protein (CRP)(standardized mean difference[SMD]=1.39, 95%CI: 1.06-1.71, P < 0.01), D-dimer (SMD=0.44, 95%CI: 0.07-0.81, P=0.02), Acute Physiology and Chronic Health Evaluation Ⅱ (APACHE-Ⅱ) score (mean difference[MD]=3.51, 95%CI: 1.38-5.64, P < 0.01), alcoholic etiology (OR=3.57, 95%CI: 2.68-4.75, P < 0.01), and biliary etiology (OR=0.60, 95%CI: 0.46-0.77, P < 0.01) were the influencing factors for ANP, and in Western countries, male sex (OR=1.63, 95%CI: 1.30-2.05, P < 0.01), CRP (SMD=2.09, 95%CI: 1.12-3.05, P < 0.01), APACHE-Ⅱ score (MD=4.28, 95%CI: 2.73-5.83, P < 0.01), Ranson score (MD=2.99, 95%CI: 2.50-3.47, P < 0.01), and organ failure (OR=10.87, 95%CI: 2.62-45.04, P < 0.01) were the influencing factors for ANP.In Eastern countries, age (MD=2.16, 95%CI: 0.43-3.89, P=0.01), body mass index (BMI)(MD=1.74, 95%CI: 1.23-2.25, P < 0.01), albumin level (SMD=-0.43, 95%CI: -0.75 to-0.12, P < 0.01), CRP (SMD=0.58, 95%CI: 0.04-1.11, P=0.03), procalcitonin (SMD=0.80, 95%CI: 0.56-1.04, P < 0.01), D-dimer (MD=0.23, 95%CI: 0.15-0.31, P < 0.01), APACHE-Ⅱ score (MD=2.47, 95%CI: 0.73-4.22, P < 0.01), Ranson score (MD=1.60, 95%CI: 1.46-1.73, P < 0.01), and extent of necrosis ≥30%(OR=2.52, 95%CI: 1.26-5.06, P < 0.01) were the influencing factors for IPN, while in Western countries, age (MD=4.07, 95%CI: 1.82-6.31, P < 0.01), APACHE-Ⅱ score (MD=3.28, 95%CI: 1.39-5.17, P < 0.01), Ranson score (MD=2.18, 95%CI: 1.75-2.62, P < 0.01), SIRS score (OR=3.88, 95%CI: 1.58-9.51, P < 0.01), alcoholic etiology (OR=0.61, 95%CI: 0.42-0.87, P < 0.01), and organ failure (OR=3.63, 95%CI: 1.11-11.92, P=0.03) were the influencing factors for IPN.  Conclusion  Current evidence shows that biliary etiology and alcoholic etiology are unique influencing factors for ANP in the Eastern population, while Ranson score is a unique influencing factor in the Western population.BMI and extent of necrosis ≥30% are unique influencing factors for IPN in the Eastern population, while alcoholic etiology is a unique influencing factor in the Western population.
Value of serum interleukin-6 and tumor necrosis factor-α in early diagnosis of severe acute pancreatitis
Jian HE, Sun YU, Jing ZHANG
2023, 39(7): 1657-1664. DOI: 10.3969/j.issn.1001-5256.2023.07.020
Abstract(1177) HTML (259) PDF (2570KB)(97)
Abstract:
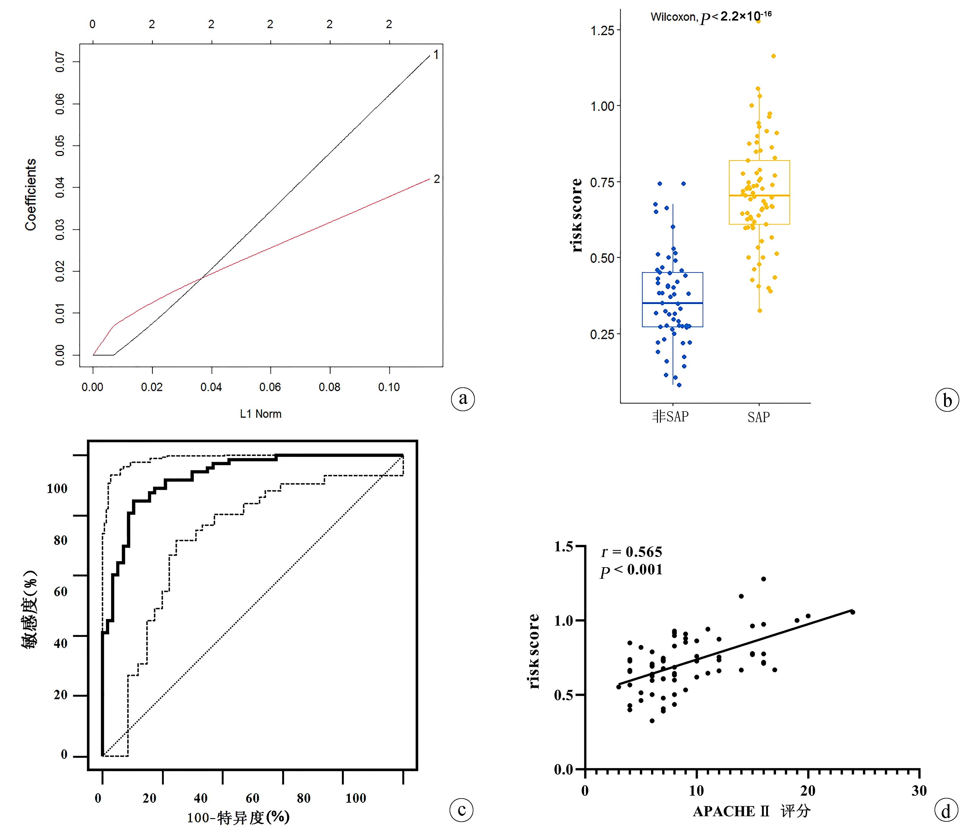
  Objective  To investigate the value of serum cytokines in the early diagnosis of severe acute pancreatitis (SAP), and to improve the accuracy of the diagnosis of SAP by establishing a mathematical model with composite indices based on LASSO algorithm.  Methods  A total of 130 patients with acute pancreatitis (AP) who attended Changshu First People's Hospital from January 2019 to June 2022 were enrolled, among whom there were 73 SAP patients and 57 non-SAP patients.Peripheral serum samples were collected from all patients, and Luminex xMAP liquid chip technique was used to measure 13 serum cytokines.Meanwhile, Acute Physiology and Chronic Health Evaluation Ⅱ(APACHE Ⅱ), Bedside Index for Severity in Acute Pancreatitis (BISAP), and Computed Tomography Severity Index (CTSI) scores were determined for all patients.The Kolmogorov-Smirnov method was used for normality test; the independent-samples t test was used for comparison of normally distributed continuous data between two groups, and the Mann-Whitney U test was used for comparison of non-normally distributed continuous data between two groups; the chi-square test was used for comparison of categorical data between two groups.Furthermore, the binary logistic regression analysis was used to evaluate the effect of cytokines on SAP, and the linear regression analysis was used to investigate the correlation between cytokines and SAP severity.The partial correlation analysis was used to evaluate the correlation between cytokines and SAP severity score after adjustment for covariates[age, sex, body mass index (BMI), and history of hypertension and diabetes].The LASSO algorithm was used to establish a mathematical model with composite indices; the receiver operating characteristic (ROC) curve was used to assess the performance of serum cytokines in the clinical diagnosis of SAP, and the area under the ROC curve (AUC) was calculated.  Results  Compared with the SAP group, the non-SAP group had significantly lower APACHE Ⅱ, BISAP, CTSI, and modified Marshall scores (all P < 0.001).Compared with the non-SAP group, the SAP group had significantly higher levels of interferon-γ(IFN-γ), interleukin-6(IL-6), interleukin-8, and tumor necrosis factor-α(TNF-α) and a significantly lower level of interleukin-12(all P < 0.05).The logistic regression analysis showed that IFN-γ(odds ratio[OR]=1.190, 95% confidence interval[CI]: 1.036-1.367, P=0.014), IL-6 (OR=1.148, 95%CI: 1.070-1.231, P < 0.001), and TNF-α (OR=1.100, 95%CI: 1.048-1.155, P < 0.001) were independent influencing factors for SAP.The partial correlation analysis showed that after adjustment for sex, age, BMI, and history of chronic diseases (diabetes and hypertension), the levels of IL-6 and TNF-α were positively correlated with APACHE Ⅱ score in SAP patients (IL-6:r=0.503, P < 0.001;TNF-α: r=0.557, P < 0.001).The linear regression analysis showed that the levels of IL-6 and TNF-α were associated with APACHE Ⅱ score in SAP patients (IL-6:β=0.049, P=0.044;TNF-α: β=0.054, P=0.046), and there was an interaction between IL-6 and TNF-α, which affected APACHE Ⅱ score.The ROC curve analysis showed that the risk score based on IL-6 and TNF-α using LASSO algorithm had the largest AUC of 0.925 in distinguishing SAP from non-SAP, while IL-6 or TNF-α alone had an AUC of 0.885 and 0.878, respectively.The partial correlation analysis showed that after adjustment for sex, age, BMI, and history of chronic diseases (diabetes and hypertension), the risk score was positively correlated with APACHE Ⅱ score in SAP patients (r=0.565, P < 0.001).  Conclusion  The serum levels of IL-6 and TNF-α can reflect the severity of AP.The risk score combining serum IL-6 and TNF-α can significantly improve the accuracy of the early diagnosis of SAP, which has an important clinical value in the clinical diagnosis and treatment of SAP.
Brief Report
Clinical and pathological features of drug-induced liver injury with different types of bile duct injury: An analysis of four cases
Tianpeng ZHANG, Lihong YE, Hongxia GAO, Jinhong DONG, Chongkui WANG
2023, 39(7): 1665-1672. DOI: 10.3969/j.issn.1001-5256.2023.07.021
Abstract(1010) HTML (413) PDF (2634KB)(90)
Abstract:
  Objective  To investigate the clinical, biochemical, pathological, disease course, and prognostic features of drug-induced liver injury (DILI) patients with different types of bile duct injury.  Methods  Four patients who were diagnosed with bile duct injury-type DILI by liver biopsy in Shijiazhuang Fifth Hospital, from March 2015 to October 2010 were selected, and related data were collected, including clinical data, laboratory examinations, radiological examination, and prognosis.The semi-quantitative score was determined for liver pathological morphology, and each indicator was compared between the four patients.  Results  Bile duct injury-type DILI was more common in female patients, and most patients tended to have a good prognosis.Clinical symptoms, liver biochemical parameters, and prognosis varied with the site, grade, scope, regeneration, and repair of bile duct injury.  Conclusion  Liver biopsy is still the gold standard for making a definite diagnosis of bile duct injury-type DILI, understanding the condition of lesions, and judging the prognosis of this disease.
Case Report
Liver transplantation for treating refractory hepatic inflammatory myofibroblastic tumor: A case report
Hongyue XIE, Zheyu ZHOU, Guangxin SHAO, Jiujiu SUN, Xiaoliang XU, Beicheng SUN
2023, 39(7): 1673-1677. DOI: 10.3969/j.issn.1001-5256.2023.07.022
Abstract(1042) HTML (317) PDF (2281KB)(68)
Abstract:
Primary atypical epithelioid hemangioendothelioma of the neck of the gallbladder: A case report
Jie YANG, Chengmao XIA, Zhe LIU, Meng ZHU, Yali SHE
2023, 39(7): 1678-1680. DOI: 10.3969/j.issn.1001-5256.2023.07.023
Abstract(791) HTML (210) PDF (4002KB)(73)
Abstract:
Review
Mechanism of action of lipotoxicity in nonalcoholic steatohepatitis
Guoguo ZHI, Jie MU, Bingjie SHAO, Dong WANG
2023, 39(7): 1681-1686. DOI: 10.3969/j.issn.1001-5256.2023.07.024
Abstract(799) HTML (1032) PDF (1755KB)(101)
Abstract:
Nonalcoholic steatohepatitis (NASH) is an important part of the exacerbation of nonalcoholic fatty liver disease (NAFLD), and inflammation and liver damage are important pathological features of this stage. As one of the pathogenic mechanisms of NASH, lipotoxicity can regulate liver inflammation and hepatocyte apoptosis through multiple pathways. Therefore, this article elaborates on the specific regulatory mechanism of lipotoxicity on NASH from the two aspects of inflammation and hepatocyte apoptosis, which involves a variety of liver nonparenchymal cells and various signaling pathways such as JNK, NF-κB, and caspase-mediated cell apoptosis, so as to provide new ideas for the diagnosis and treatment of NASH in clinical practice.
Research advances in ferroptosis in the pathogenesis and treatment of nonalcoholic fatty liver disease
Longyun WU, Xiaolan LU
2023, 39(7): 1687-1695. DOI: 10.3969/j.issn.1001-5256.2023.07.025
Abstract(1691) HTML (685) PDF (2290KB)(125)
Abstract:
Ferroptosis is a pattern of non-apoptotic cell death characterized by iron dependence and lipid peroxidation. Nonalcoholic fatty liver disease (NAFLD) is a metabolic disease with fat infiltration as its main pathological feature, and it is closely associated with insulin resistance and genetic susceptibility. The mechanism of transition from hepatic steatosis alone to steatohepatitis remains unclear, and studies have shown that ferroptosis in hepatocytes may be the trigger for the inflammatory initiation of steatohepatitis. This article reviews the role of abnormal iron metabolism and lipid peroxidation in promoting the development and progression of NAFLD and summarizes the application prospect of ferroptosis-related inhibitors in the treatment of NAFLD.
Research advances in the role of Enterococcus faecalis in alcoholic liver disease
Boyuan GU, Shengyou XIAO, Chen LIU, Yonglang CHENG, Wenguang FU
2023, 39(7): 1696-1702. DOI: 10.3969/j.issn.1001-5256.2023.07.026
Abstract(889) HTML (852) PDF (1746KB)(63)
Abstract:
Alcoholic liver disease (ALD) is one of the most common chronic liver diseases worldwide and includes the different stages of steatosis, steatohepatitis, fibrosis, and liver cirrhosis. Enterococcus faecalis is a common bacterium for nosocomial infection and has a significant impact on the prognosis of patients with alcoholic hepatitis. This review mainly introduces the pathogenesis of ALD and the pathogenic mechanism of E. faecalis, summarizes the research advances in E. faecalis in ALD, and briefly describes the detection and treatment methods for E. faecalis infection in clinical practice. Since there is an extremely high mortality rate in ALD patients with lytic E. faecalis infection, an in-depth understanding of E. faecalis has become an important issue nowadays.
Effectiveness of increasing alcohol excise taxes in the management of alcohol-associated liver disease in China
Feiyu ZHANG, Peng XIAO, Yali LIU, Tao LIU, Yanhang GAO
2023, 39(7): 1703-1707. DOI: 10.3969/j.issn.1001-5256.2023.07.027
Abstract(741) HTML (357) PDF (1707KB)(69)
Abstract:
Increasing alcohol excise taxes has been confirmed by the World Health Organization as the most cost-effective public policy for reducing alcohol consumption at the population level. In recent years, studies in foreign countries have believed that increasing alcohol excise taxes can improve the burden of alcohol-associated liver disease (ALD), but it is still unclear whether this policy is applicable to ALD management in China. Therefore, with reference to related research evidence in China and globally, this article analyzes the key factors influencing the effectiveness of the policy of increasing alcohol excise taxes from the perspective of ALD management in China, including tax shifting, price elasticity of demand, and unrecorded alcohol, and introduces other public policies that help curb ALD. We think that increasing alcohol excise taxes is currently a useful but not effective policy for improving the burden of ALD in China.
Role of the nuclear factor erythroid 2-related factor 2/heme oxygenase-1 signaling pathway in alcoholic liver disease
Cheng MA, Hui YANG
2023, 39(7): 1708-1713. DOI: 10.3969/j.issn.1001-5256.2023.07.028
Abstract(2119) HTML (3564) PDF (2315KB)(158)
Abstract:
The incidence rate of alcoholic liver disease (ALD) is increasing year by year China, and there is a gradual increase in disease burden among Chinese people. Oxidative stress response in hepatocytes is an important pathogenic mechanism of ALD. The nuclear factor erythroid 2-related factor 2 (Nrf2)/heme oxygenase-1 (HO-1) signaling pathway is an important endogenous anti-oxidative stress pathway in the body, and Nrf2 is activated in response to oxidative stress and exerts its transcriptional activity to induce high HO-1 expression. HO-1 is an important oxidative stress response protein and plays a role in anti-inflammation, anti- oxidation, and cell apoptosis regulation together with heme hydrolysis products (bilirubin, carbon monoxide, and iron). This article reviews the research advances in the role of the Nrf2/HO-1 signaling pathway in ALD in recent years, so as to find a theoretical basis for the development and progression of ALD and an entry point for treatment.
The mechanism of action of partial splenic artery embolization in treatment of liver cirrhosis and hypersplenism
Zongwei LI, Yaqin WANG, Yuewei ZHANG
2023, 39(7): 1714-1720. DOI: 10.3969/j.issn.1001-5256.2023.07.029
Abstract(1725) HTML (311) PDF (1732KB)(109)
Abstract:
Hypersplenism is a common complication caused by liver cirrhosis and portal hypertension, and at present, splenectomy and partial splenic artery embolization (PSE) are the main methods for the treatment of hypersplenism. Splenectomy has a marked effect in the treatment of hypersplenism and can significantly improve the clinical symptoms of patients with hypersplenism. Compared with splenectomy, PSE causes partial splenic parenchymal infarction and thus achieve similar clinical efficacy as partial splenectomy while preserving the spleen and its function. Although PSE is an effective method for the treatment of hypersplenism, there are few reports on the effect of PSE on liver fibrosis, immunity, and liver regeneration in China and globally. This article summarizes the common causes of hypersplenism, the mechanism of PSE in the treatment of hypersplenism, the therapeutic effect of different embolization methods and materials, and the effect of PSE on liver fibrosis, immunity, and liver regeneration, so as to provide a theoretical basis and new ideas for the clinical treatment of hypersplenism.
Research advances in rivaroxaban in the treatment of portal vein thrombosis in liver cirrhosis
Shuang LIU, Dongqiang ZHAO
2023, 39(7): 1721-1727. DOI: 10.3969/j.issn.1001-5256.2023.07.030
Abstract(2054) HTML (473) PDF (1882KB)(172)
Abstract:
Portal vein thrombosis (PVT) is one of the common complications of liver cirrhosis and is associated with the poor prognosis of liver disease. Rivaroxaban, a novel direct oral anticoagulant, exerts an antithrombotic effect by directly acting on the active center of factor Xa to inhibit the generation of thrombin, and it is a new choice for long-term anticoagulant treatment of PVT in liver cirrhosis with the advantages of direct oral administration and no need for international normalized ratio (INR) monitoring. In recent years, more and more clinical studies have shown that rivaroxaban is relatively safe and effective in the treatment of PVT in liver cirrhosis; however, there is still little experience in the application of rivaroxaban in the treatment of PVT in liver cirrhosis in the current clinical practice, and individualized medication regimen remains to be clarified. This article reviews the research advances in rivaroxaban in the treatment of PVT in liver cirrhosis, in order to provide new ideas for the clinical treatment of PVT in liver cirrhosis.
Research advances in brain lactate level and hepatic encephalopathy
Yuqin LIU, Mi CHEN, Lanyan TANG, Lizhi ZHOU, Xin HUANG, Pan ZHANG
2023, 39(7): 1728-1733. DOI: 10.3969/j.issn.1001-5256.2023.07.031
Abstract(825) HTML (370) PDF (2047KB)(61)
Abstract:
Hepatic encephalopathy (HE) is a common complication and an independent risk factor for death in patients with liver cirrhosis. Brain lactate level is associated with the progression and severity of HE, and research on brain lactate level may help to further explain the pathogenesis of HE. This article summarizes the metabolic process of brain lactate, the association between brain lactate level and HE, and the potential therapeutic targets for HE and provides a reference for clinicians to further systematically evaluate the progression, treatment outcome, and prognosis of patients with HE, in order to reduce the medical burden of patients and improve the prognosis of patients with HE.
Role of lipopolysaccharide in the development and progression of liver cancer
Tao WANG, Quan WANG, Lihua SONG, Xuezhang DUAN
2023, 39(7): 1734-1739. DOI: 10.3969/j.issn.1001-5256.2023.07.032
Abstract(823) HTML (470) PDF (2242KB)(115)
Abstract:
Liver cancer is an important public health issue worldwide. With the improvements in high-throughput sequencing and gene editing techniques in recent years, studies have further revealed the biological mechanism of intestinal microflora in the development, progression, and metastasis of liver cancer via the gut-liver axis, and in particular, it has been found that lipopolysaccharide, a component of the outer membrane of gram-negative bacteria, can cause downstream immune cascade reactions. This article reviews the possible mechanism of action of intestinal microflora lipopolysaccharide in the development and progression of liver cancer from the aspects of the association between intestinal environmental changes and liver cancer, immunoregulation by lipopolysaccharide, and preclinical treatment.
Research advances in transcatheter arterial chemoembolization combined with targeted agents or anti-PD-1/PD-L1 monoclonal antibody in treatment of patients with unresectable hepatocellular carcinoma
Qiuju PENG, Tao DAI, Guibo XIE, Jinjun CHEN, Xiao CHENG, Yuan YAN
2023, 39(7): 1740-1746. DOI: 10.3969/j.issn.1001-5256.2023.07.033
Abstract(883) HTML (295) PDF (1735KB)(77)
Abstract:
Transcatheter arterial chemoembolization (TACE) is recommended by domestic and international guidelines for the treatment of patients with unresectable hepatocellular carcinoma (uHCC), and it is one of the most common treatment methods for patients with uHCC. The chemotherapy drugs commonly used in TACE for HCC include epirubicin, cisplatin, and fluorouracil, while it is still unclear which chemotherapy drug has a better clinical effect. This article summarizes the studies of different TACE regimens using different chemotherapy drugs in the treatment of patients with uHCC in the recent five years. TACE combined with sorafenib can significantly improve the survival of patients with advanced HCC and has been recommended for the treatment of such patients by Chinese Society of Clinical Oncology guidelines, and the efficacy of TACE combined with other tyrosine kinase inhibitors (TKI) has become a research hotspot. Studies have shown that compared with TACE combined with sorafenib in the treatment of patients with advanced HCC, TACE combined with lenvatinib can achieve a significantly longer progression-free survival time and a tendency of increase in median overall survival time. However, due to the variation of target receptors or downstream signals, resistance to molecular-targeted agents is still a challenging problem. TKI combined with immune checkpoint inhibitors may be a promising strategy for the treatment of patients with uHCC. Some studies suggest that triple therapy using TACE combined with TKIs and anti-PD-1/PD-L1 monoclonal antibody has better efficacy in improving the survival of patients with uHCC. This article reviews the studies of the efficacy and safety of TACE combined with targeted agents and TACE combined with anti-PD-1/PD-L1 monoclonal antibody in the treatment of patients with uHCC in the recent five years.
Role and potential significance of peroxisome proliferator-activated receptors in liver diseases
Shuaixia FENG, Ying XU, Han HAN
2023, 39(7): 1747-1753. DOI: 10.3969/j.issn.1001-5256.2023.07.034
Abstract(3381) HTML (7213) PDF (1940KB)(683)
Abstract:
Peroxisome proliferator-activated receptors (PPAR) are members of the nuclear estrogen receptor family, and they are involved in a variety of physiological and pathological processes in the human body and play important roles in cellular metabolism, inflammation, and cancer. At present, there are three known subtypes of PPAR, i.e., α, β/δ, and γ. Studies have shown that PPARs are highly expressed in the liver and are widely involved in various physiological and pathological activities such as liver energy metabolism, oxidative stress, and inflammation, and they are also closely associated with the progression of liver diseases. This article reviews the role of PPAR in common liver diseases such as viral hepatitis, metabolic associated fatty liver disease, cholestatic liver disease, liver fibrosis, and primary liver cancer, and the current status of their application in the treatment of liver diseases.
Research advances in animal models of cholestatic liver disease
Qingqing ZHANG, Ying QU, Xiaobo CAI, Lungen LU
2023, 39(7): 1754-1760. DOI: 10.3969/j.issn.1001-5256.2023.07.035
Abstract(1099) HTML (818) PDF (1728KB)(168)
Abstract:
Cholestatic liver diseases (CLD) are a series of diseases due to impaired bile flow and accumulation of bile acid in the liver and/or systemic circulation caused by immune, genetic, and environmental factors. The pathogenesis of CLD remains unclear and CLD is difficult to treat. As a substitute for human diseases, animal models can provide a platform for exploring the etiology and pathogenesis of the disease and finding appropriate therapeutic targets. This article reviews the current research advances in the animal models of CLD.
Introduction of High-quality Articles in Foreign Journals
Hepatology International|The effectiveness of combination therapy with interferon and nucleoside analogs in pediatric patients with chronic hepatitis B: a systematic review and meta-analysis
2023, 39(7): 1534-1534. DOI: 10.3969/j.issn.1001-5256.2023.07.gwjpwzjj1
Abstract(472) HTML (222) PDF (750KB)(51)
Abstract:
International Hepatology|Intracellular labile iron is a key regulator of hepcidin expression and iron metabolism
2023, 39(7): 1686-1686. DOI: 10.3969/j.issn.1001-5256.2023.07.gwjpwzjj2
Abstract(563) HTML (397) PDF (756KB)(39)
Abstract:
Thanks
Current reviewers
2023, 39(7): 1585-1585. DOI: 10.3969/j.issn.1001-5256.2023.7.zhixie1
Abstract(409) HTML (150) PDF (748KB)(38)
Abstract: