中文English
ISSN 1001-5256 (Print)
ISSN 2097-3497 (Online)
CN 22-1108/R
Volume 37 Issue 8
Aug.  2021
Turn off MathJax
Article Contents

Mechanism of action of five classic prescriptions in treatment of hepatocellular carcinoma based on network pharmacology

DOI: 10.3969/j.issn.1001-5256.2021.08.020
Research funding:

National Natural Science Foundation of China (81673728)

  • Received Date: 2021-01-10
  • Accepted Date: 2021-03-10
  • Published Date: 2021-08-20
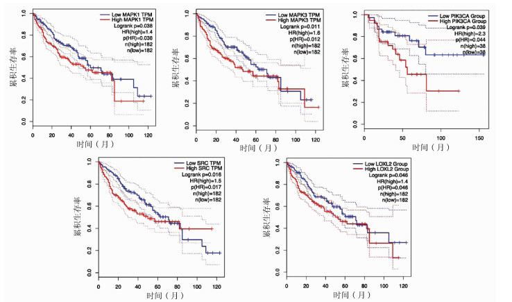
  •   Objective  To investigate the mechanism of action of Xiaoyao powder combined with Sijunzi decoction, Artemisia capillaris Thunb. decoction, Longdan Xiegan decoction combined with Xiayuxue decoction, Wupi decoction combined with Sijunzi decoction, and Yiguan decoction in the treatment of hepatocellular carcinoma (HCC) based on network pharmacology and molecular docking.  Methods  Databases including TCMSP, TCMID, BATMAN-TCM, and TCM-MESH were used to screen out effective components and predict their targets, and databases including TTD, Drugbank, Disgenet, Liverome, OncoDB.HCC, and GEO were used to investigate HCC-related targets. The drug and disease targets were mapped to obtain the intersecting targets, and the visualization software Cytoscape 3.7.1 was used to construct the core component-intersecting target network and the protein-protein interaction (PPI) network. The core components and key genes were screened out and a survival analysis was performed in the GEPIA database. The active components and key genes screened out were imported into the DockThor online website for molecular docking. In addition, David database was used to perform gene ontology (GO) enrichment analysis and Kyoto Encyclopedia of Genes and Genomes (KEGG) pathway analysis of the intersecting targets.  Results  The analysis showed that 110, 19, 154, 121, and 51 active components, respectively, were obtained for the above five classic prescriptions, and the numbers of drug targets were 7426, 1435, 9544, 6619, and 2427, respectively. Finally 4001 HCC disease targets were screened out. There were 260, 169, 276, 242, and 192 intersecting targets, respectively, between the five prescriptions and the HCC disease targets, and the survival analysis on the GEPIA online website obtained the common hub genes of PIK3CA, SRC, MAPK1, MAPK3 (all P < 0.05) and AKT1 (P > 0.05). Quercetin was the common active component of the five prescriptions, and isobavachin and Kanzonol W were the common active components of Xiaoyao powder combined with Sijunzi decoction, Longdan Xiegan decoction combined with Xiayuxue decoction, and Wupi decoction combined with Sijunzi decoction; the results of molecular docking showed that the above three components had a strong ability of binding to PIK3CA and SRC. GO enrichment analysis showed that these targets were involved in various biological processes including drug response, protein phosphorylation, inflammatory response, and angiogenesis, and KEGG enrichment analysis showed that the common pathways involved were cancer pathway, PI3K-Akt signaling pathway, MAPK signaling pathway, Ras signaling pathway, HIF-1 signaling pathway, hepatitis B pathway, and hepatitis C pathway.  Conclusion  Quercetin, isoflavone, and Kanzonol W have the potential mechanism of action involving multiple targets and pathways in the treatment of HCC.

     

  • loading
  • [1]
    TORRE LA, BRAY F, SIEGEL RL, et al. Global cancer statistics, 2012[J]. CA Cancer J Clin, 2015, 65(2): 87-108. DOI: 10.3322/caac.21262.
    [2]
    FLORES A, MARRERO JA. Emerging trends in hepatocellular carcinoma: Focus on diagnosis and therapeutics[J]. Clin Med Insights Oncol, 2014, 8: 71-76. DOI: 10.4137/CMO.S9926.
    [3]
    SONG HX, QIAO F, SHAO M. Research advances in traditional Chinese medicine treatment for primary liver cancer[J]. J Clin Hepatol, 2016, 32(1): 174-177. DOI: 10.3969/j.issn.1001-5256.2016.01.038.

    宋慧娴, 乔飞, 邵铭. 中医药治疗原发性肝癌的研究进展[J]. 临床肝胆病杂志, 2016, 32(1): 174-177. DOI: 10.3969/j.issn.1001-5256.2016.01.038.
    [4]
    FU YZ, XU L. Advances in multimodality therapy for hepatocellular carcinoma[J]. J Clin Hepatol, 2020, 36(10): 2179-2183. DOI: 10.3969/j.issn.1001-5256.2020.10.004.

    傅毅振, 徐立. 肝细胞癌综合治疗进展[J]. 临床肝胆病杂志, 2020, 36(10): 2179-2183. DOI: 10.3969/j.issn.1001-5256.2020.10.004.
    [5]
    GAO YR, CHEN SJ, HOU YW, et al. Clinical effect of Huaier Granule sequential with radiofrequency ablation and TACE in treating primary hepatic carcinoma[J]. J Changchun Univ Chin Med, 2020, 36(4): 684-687. DOI: 10.13463/j.cnki.cczyy.2020.04.021.

    高远韧, 陈思佳, 侯英文, 等. TACE联合射频消融术序贯槐耳颗粒治疗原发性肝癌[J]. 长春中医药大学学报, 2020, 36(4): 684-687. DOI: 10.13463/j.cnki.cczyy.2020.04.021.
    [6]
    SIEGEL R, DESANTIS C, JEMAL A. Colorectal cancer statistics, 2014[J]. CA Cancer J Clin, 2014, 64(2): 104-117. DOI: 10.3322/caac.21220.
    [7]
    TANG H, HE S, ZHANG X, et al. A network pharmacology approach to uncover the pharmacological mechanism of xuanhusuo powder on osteoarthritis[J]. Evid Based Complement Alternat Med, 2016, 2016: 3246946. DOI: 10.1155/2016/3246946.
    [8]
    HOPKINS AL. Network pharmacology[J]. Nat Biotechnol, 2007, 25(10): 1110-1111. DOI: 10.1038/nbt1007-1110.
    [9]
    FANG J, LIU C, WANG Q, et al. In silico polypharmacology of natural products[J]. Brief Bioinform, 2018, 19(6): 1153-1171. DOI: 10.1093/bib/bbx045.
    [10]
    Bureau of Medical AdministrationNational Health Commission of the People's Republic of China. Guidelines for diagnosis and treatment of primary liver cancer in China (2019 edition)[J]. J Clin Hepatol, 2020, 36(2): 277-292. DOI: 10.3969/j.issn.1001-5256.2020.02.007.

    中华人民共和国国家卫生健康委员会医政医管局. 原发性肝癌诊疗规范(2019年版)[J]. 临床肝胆病杂志, 2020, 36(2): 277-292. DOI: 10.3969/j.issn.1001-5256.2020.02.007.
    [11]
    WU L, ZHANG Y, ZHU Y, et al. The effect of LOXL2 in hepatocellular carcinoma[J]. Mol Med Rep, 2016, 14(3): 1923-1932. DOI: 10.3892/mmr.2016.5474.
    [12]
    FANG ZQ, LI YJ, TANG CL, et al. Analysis on characteristics of syndrome in 2060 cases of primary hepatic cancer[J]. J Tradit Chin Med, 2004, 45(1): 53-54. DOI: 10.3321/j.issn:1001-1668.2004.01.031.

    方肇勤, 李永健, 唐辰龙, 等. 2060例原发性肝癌患者证候特点分析[J]. 中医杂志, 2004, 45(1): 53-54. DOI: 10.3321/j.issn:1001-1668.2004.01.031.
    [13]
    SONG YY, JIANG J, LI AQ, et al. Literature analysis on TCM syndrome differentiation of advanced primary liver cancer[J]. Heilongjiang Tradit Chin Med, 2013, 42(6): 2-3. DOI: CNKI: SUN: HLZY.0.2013-06-001.

    宋央央, 姜冀, 郦安琪, 等. 中晚期原发性肝癌中医辨证分型的文献分析[J]. 黑龙江中医药, 2013, 42(6): 2-3. DOI: CNKI: SUN: HLZY.0.2013-06-001.
    [14]
    CHENG YP, ZHANG MX. Research progress of traditional chinese medicine in treating primary liver cancer[J]. J Liaoning Univ Tradit Chin Med, 2018, 20(1): 167-169. DOI: 10.13194/j.issn.1673-842x.2018.01.047.

    程玉佩, 张明香. 中医药治疗原发性肝癌研究进展[J]. 辽宁中医药大学学报, 2018, 20(1): 167-169. DOI: 10.13194/j.issn.1673-842x.2018.01.047.
    [15]
    WU S, CHEN TS, WU XX. Clinical thought on standardization of TCM syndrome types of primary liver cancer[J]. Clin research Tradit Chin Med, 2016, 8(27): 134-135. DOI: 10.3969/j.issn.1674-7860.2016.27.065.

    吴申, 陈挺松, 吴孝雄. 原发性肝癌中医证型规范化临床思路[J]. 中医临床研究, 2016, 8(27): 134-135. DOI: 10.3969/j.issn.1674-7860.2016.27.065.
    [16]
    CARRASCO-POZO C, TAN KN, REYES-FARIAS M, et al. The deleterious effect of cholesterol and protection by quercetin on mitochondrial bioenergetics of pancreatic β-cells, glycemic control and inflammation: In vitro and in vivo studies[J]. Redox Biol, 2016, 9: 229-243. DOI: 10.1016/j.redox.2016.08.007.
    [17]
    YARAHMADI A, KHADEMI F, MOSTAFAVI-POUR Z, et al. In-vitro analysis of glucose and quercetin effects on m-TOR and Nrf-2 expression in HepG2 cell line (diabetes and cancer connection)[J]. Nutr Cancer, 2018, 70(5): 770-775. DOI: 10.1080/01635581.2018.1470654.
    [18]
    CHEN S, JIANG H, WU X, et al. Therapeutic effects of quercetin on inflammation, obesity, and type 2 diabetes[J]. Mediators Inflamm, 2016, 2016: 9340637. DOI: 10.1155/2016/9340637.
    [19]
    JIANG X, YU J, WANG X, et al. Quercetin improves lipid metabolism via SCAP-SREBP2-LDLr signaling pathway in early stage diabetic nephropathy[J]. Diabetes Metab Syndr Obes, 2019, 12: 827-839. DOI: 10.2147/DMSO.S195456.
    [20]
    ZHOU M, LIAO XM, WANG S, et al. In vivo and in vitro anticancer activity of quercetin against human liver cancer HepG2 Cells[J]. Anhui Med J, 2019, 23 (11): 2136-2141. DOI: 10.3969/j.issn.1009-6469.2019.11.005.

    周孟, 廖祥明, 王珊, 等. 槲皮素抑制人肝癌细胞HepG2的体内外活性研究[J]. 安徽医药, 2019, 23(11): 2136-2141. DOI: 10.3969/j.issn.1009-6469.2019.11.005.
    [21]
    ZHANG Y, LYU HZ. Research progress on chemical constituents and pharmacological effects of Psoralea corylifolia[J/CD]. Elec J Clin Med LIT, 2020, 7(30): 195. DOI: 10.16281/j.cnki.jocml.2020.30.181.

    张莹, 吕惠子. 补骨脂的化学成分和药理作用研究进展[J]. 临床医药文献电子杂志, 2020, 7(30): 195. DOI: 10.16281/j.cnki.jocml.2020.30.181.
    [22]
    NIE LJ, LI HM, GUO X, et sl. Study on antioxidant and antitumor active ingredient from Psoralea corylifolia[J]. J Bengbu Med Coll, 2015, 40(11): 1461-1464. DOI: 10.13898/j.cnki.issn.1000-2200.2015.11.001.

    聂丽娟, 李红梅, 郭星, 等. 补骨脂抗氧化及抗肿瘤活性成分的研究[J]. 蚌埠医学院学报, 2015, 40(11): 1461-1464. DOI: 10.13898/j.cnki.issn.1000-2200.2015.11.001.
    [23]
    LI K, JI S, SONG W, et al. Glycybridins A-K, bioactive phenolic compounds from glycyrrhiza glabra[J]. J Nat Prod, 2017, 80(2): 334-346. DOI: 10.1021/acs.jnatprod.6b00783.
    [24]
    YANG J, ZHANG X, LIU L, et al. c-Src promotes the growth and tumorigenesis of hepatocellular carcinoma via the Hippo signaling pathway[J]. Life Sci, 2021, 264: 118711. DOI: 10.1016/j.lfs.2020.118711.
    [25]
    SHAO B, ZHAO X, LIU T, et al. LOXL2 promotes vasculogenic mimicry and tumour aggressiveness in hepatocellular carcinoma[J]. J Cell Mol Med, 2019, 23(2): 1363-1374. DOI: 10.1111/jcmm.14039.
    [26]
    SUN B, ZHANG D, ZHAO N, et al. Epithelial-to-endothelial transition and cancer stem cells: Two cornerstones of vasculogenic mimicry in malignant tumors[J]. Oncotarget, 2017, 8(18): 30502-30510. DOI: 10.18632/oncotarget.8461.
    [27]
    LANG Q, LING C. MiR-124 suppresses cell proliferation in hepatocellular carcinoma by targeting PIK3CA[J]. Biochem Biophys Res Commun, 2012, 426(2): 247-252. DOI: 10.1016/j.bbrc.2012.08.075.
  • 加载中

Catalog

    通讯作者: 陈斌, bchen63@163.com
    • 1. 

      沈阳化工大学材料科学与工程学院 沈阳 110142

    1. 本站搜索
    2. 百度学术搜索
    3. 万方数据库搜索
    4. CNKI搜索

    Figures(5)  / Tables(3)

    Article Metrics

    Article views (1576) PDF downloads(106) Cited by()
    Proportional views
    Related

    /

    DownLoad:  Full-Size Img  PowerPoint
    Return
    Return