中文English
ISSN 1001-5256 (Print)
ISSN 2097-3497 (Online)
CN 22-1108/R
Volume 38 Issue 7
Jul.  2022
Turn off MathJax
Article Contents

Association of programmed death-1 and programmed death-ligand 1 with the prognosis and clinical features of patients with hepatocellular carcinoma: A meta-analysis

DOI: 10.3969/j.issn.1001-5256.2022.07.022
Research funding:

Project of Sichuan Youth Science and Technology Fund (2016JQ0023);

Sichuan Science and Technology Plan Project (2020YFSY0022)

More Information
  • Corresponding author: WANG Tao, watopo@163.com(ORICD: 0000-0003-4064-8867)
  • Received Date: 2021-11-15
  • Accepted Date: 2022-01-10
  • Published Date: 2022-07-20
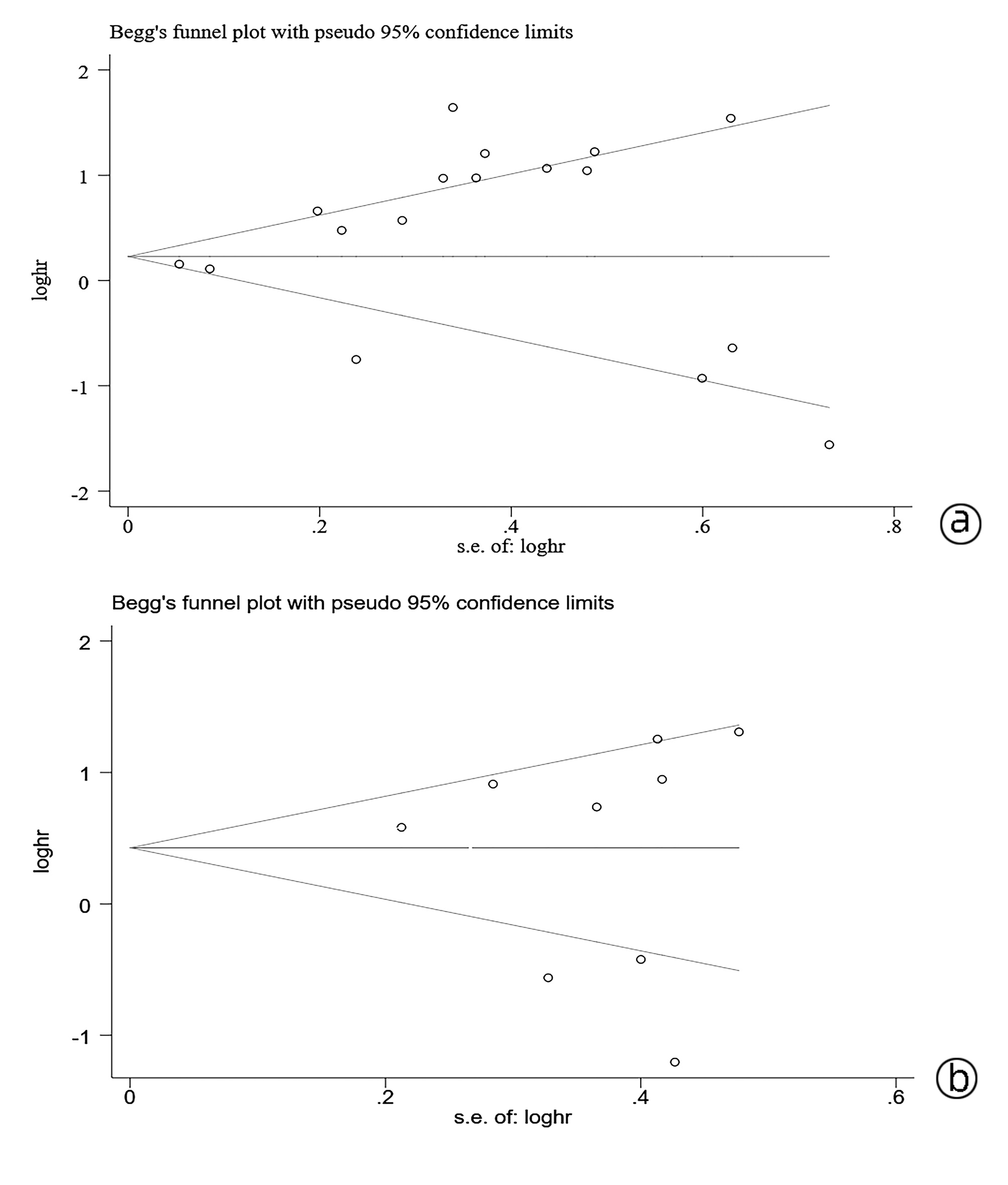
  •   Objective  To systematically evaluate the influence of the expression of programmed death-1 (PD-1) and programmed death-ligand 1 (PD-L1) on the prognosis of patients with hepatocellular carcinoma (HCC).  Methods  Related databases, such as PubMed, The Cochrane Library, Embase, CBM, CNKI, and Wanfang Data, were searched to collect related articles, and the cohort studies or case-control studies on the association of the expression of PD-1 and PD-L1 with the prognosis of HCC patients were included. RevMan 5.3 software was used to perform a meta-analysis of overall survival (OS) and disease-free survival (DFS).  Results  A total of 20 eligible cohort studies or case-control studies were included. The expression of PD-1 was not associated with the OS of HCC patients (hazard ratio [HR]=0.78, 95% confidence interval [CI]: 0.31-1.97, P < 0.05), while it was significantly associated with DFS (HR=0.38, 95%CI: 0.24-0.58, P < 0.01). The expression of PD-L1 was significantly associated with the OS of HCC patients (HR=1.64, 95%CI: 1.26-2.15, P < 0.05), but it was not associated with DFS (HR=1.48, 95%CI: 0.88-2.49, P > 0.05). In addition, the expression of PD-1 and PD-L1 was not significantly associated with the clinical features of HCC patients (P > 0.05).  Conclusion  The expression of PD-1 and PD-L1 is associated with the prognosis of HCC patients, with no significant association with clinical features.

     

  • loading
  • [1]
    CAO M, DING C, XIA C, et al. Attributable deaths of liver cancer in China[J]. Chin J Cancer Res, 2021, 33(4): 480-489. DOI: 10.21147/j.issn.1000-9604.2021.04.05.
    [2]
    ARAVALLI RN, STEER CJ. Immune-mediated therapies for liver cancer[J]. Genes (Basel), 2017, 8(2): 76. DOI: 10.3390/genes8020076.
    [3]
    MACEK JILKOVA Z, ASPORD C, DECAENS T, et al. Predictive factors for response to PD-1/PD-L1 checkpoint inhibition in the field of hepatocellular carcinoma: Current status and challenges[J]. Cancers (Basel), 2019, 11(10): 1554. DOI: 10.3390/cancers11101554.10.3390/cancers11101554.
    [4]
    SUNSHINE J, TAUBE JM. PD-1/PD-L1 inhibitors[J]. Curr Opin Pharmacol, 2015, 23: 32-38.10.1016/j.coph.2015.05.011. DOI: 10.1016/j.coph.2015.05.011
    [5]
    ZHU YP, YUE F, HE Y, et al. Prokaryotic expression of the extracellular domain of porcine programmed death 1 (PD-1) and its ligand PD-L1 and identification of the binding with peripheral blood mononuclear cells in vitro[J]. Can J Vet Res, 2017, 81(2): 147-154.
    [6]
    BAŞ Y, KOÇ N, HELVACI K, et al. Clinical and pathological significance of programmed cell death 1 (PD-1)/programmed cell death ligand 1 (PD-L1) expression in high grade serous ovarian cancer[J]. Transl Oncol, 2021, 14(2): 100994. DOI: 10.1016/j.tranon.2020.100994.
    [7]
    TIAN L, MA J, MA L, et al. PD-1/PD-L1 expression profiles within intrahepatic cholangiocarcinoma predict clinical outcome[J]. World J Surg Oncol, 2020, 18(1): 303. DOI: 10.1186/s12957-020-02082-5.
    [8]
    WU Y, CAO D, QU L, et al. PD-1 and PD-L1 co-expression predicts favorable prognosis in gastric cancer[J]. Oncotarget, 2017, 8(38): 64066-64082. DOI: 10.18632/oncotarget.19318.
    [9]
    CHANG B, HUANG T, WEI H, et al. The correlation and prognostic value of serum levels of soluble programmed death protein 1 (sPD-1) and soluble programmed death-ligand 1 (sPD-L1) in patients with hepatocellular carcinoma[J]. Cancer Immunol Immunother, 2019, 68(3): 353-363. DOI: 10.1007/s00262-018-2271-4.
    [10]
    CHANG B, SHEN L, WANG K, et al. High number of PD-1 positive intratumoural lymphocytes predicts survival benefit of cytokine-induced killer cells for hepatocellular carcinoma patients[J]. Liver Int, 2018, 38(8): 1449-1458. DOI: 10.1111/liv.13697.
    [11]
    CHANG H, JUNG W, KIM A, et al. Expression and prognostic significance of programmed death protein 1 and programmed death ligand-1, and cytotoxic T lymphocyte-associated molecule-4 in hepatocellular carcinoma[J]. APMIS, 2017, 125(8): 690-698. DOI: 10.1111/apm.12703.
    [12]
    DAI X, PI G, YANG SL, et al. Association of PD-L1 and HIF-1α coexpression with poor prognosis in hepatocellular carcinoma[J]. Transl Oncol, 2018, 11(2): 559-566. DOI: 10.1016/j.tranon.2018.02.014.
    [13]
    FINKELMEIER F, CANLI Ö, TAL A, et al. High levels of the soluble programmed death-ligand (sPD-L1) identify hepatocellular carcinoma patients with a poor prognosis[J]. Eur J Cancer, 2016, 59: 152-159. DOI: 10.1016/j.ejca.2016.03.002.
    [14]
    GAO Q, WANG XY, QIU SJ, et al. Overexpression of PD-L1 significantly associates with tumor aggressiveness and postoperative recurrence in human hepatocellular carcinoma[J]. Clin Cancer Res, 2009, 15(3): 971-979. DOI: 10.1158/1078-0432.CCR-08-1608.
    [15]
    HAN X, GU YK, LI SL, et al. Pre-treatment serum levels of soluble programmed cell death-ligand 1 predict prognosis in patients with hepatitis B-related hepatocellular carcinoma[J]. J Cancer Res Clin Oncol, 2019, 145(2): 303-312. DOI: 10.1007/s00432-018-2758-6.
    [16]
    HU K, WANG ZM, LI JN, et al. CLEC1B Expression and PD-L1 expression predict clinical outcome in hepatocellular carcinoma with tumor hemorrhage[J]. Transl Oncol, 2018, 11(2): 552-558. DOI: 10.1016/j.tranon.2018.02.010.
    [17]
    HUANG CY, WANG Y, LUO GY, et al. Relationship between PD-L1 expression and CD8+ T-cell immune responses in hepatocellular carcinoma[J]. J Immunother, 2017, 40(9): 323-333. DOI: 10.1097/CJI.0000000000000187.
    [18]
    JUNG HI, JEONG D, JI S, et al. Overexpression of PD-L1 and PD-L2 is associated with poor prognosis in patients with hepatocellular carcinoma[J]. Cancer Res Treat, 2017, 49(1): 246-254. DOI: 10.4143/crt.2016.066.
    [19]
    KAN G, DONG W. The expression of PD-L1 APE1 and P53 in hepatocellular carcinoma and its relationship to clinical pathology[J]. Eur Rev Med Pharmacol Sci, 2015, 19(16): 3063-3071.
    [20]
    LI N, ZHOU Z, LI F, et al. Circulating soluble programmed death-1 levels may differentiate immune-tolerant phase from other phases and hepatocellular carcinoma from other clinical diseases in chronic hepatitis B virus infection[J]. Oncotarget, 2017, 8(28): 46020-46033. DOI: 10.18632/oncotarget.17546.
    [21]
    LIU CQ, XU J, ZHOU ZG, et al. Expression patterns of programmed death ligand 1 correlate with different microenvironments and patient prognosis in hepatocellular carcinoma[J]. Br J Cancer, 2018, 119(1): 80-88. DOI: 10.1038/s41416-018-0144-4.
    [22]
    PEI R, ZHANG W, WANG S, et al. Prognostic value of PD-L1 in patients with hepatocellular carcinoma[J]. Clin Lab, 2019, 65(5). DOI: 10.7754/Clin.Lab.2018.180839.
    [23]
    SEMAAN A, DIETRICH D, BERGHEIM D, et al. CXCL12 expression and PD-L1 expression serve as prognostic biomarkers in HCC and are induced by hypoxia[J]. Virchows Arch, 2017, 470(2): 185-196. DOI: 10.1007/s00428-016-2051-5.
    [24]
    SIDERAS K, BIERMANN K, VERHEIJ J, et al. PD-L1, Galectin-9 and CD8+ tumor-infiltrating lymphocytes are associated with survival in hepatocellular carcinoma[J]. Oncoimmunology, 2017, 6(2): e1273309. DOI: 10.1080/2162402X.2016.1273309.
    [25]
    UMEMOTO Y, OKANO S, MATSUMOTO Y, et al. Prognostic impact of programmed cell death 1 ligand 1 expression in human leukocyte antigen class I-positive hepatocellular carcinoma after curative hepatectomy[J]. J Gastroenterol, 2015, 50(1): 65-75. DOI: 10.1007/s00535-014-0933-3.
    [26]
    XIE QK, ZHAO YJ, PAN T, et al. Programmed death ligand 1 as an indicator of pre-existing adaptive immune responses in human hepatocellular carcinoma[J]. Oncoimmunology, 2016, 5(7): e1181252. DOI: 10.1080/2162402X.2016.1181252.
    [27]
    ZENG Z, SHI F, ZHOU L, et al. Upregulation of circulating PD-L1/PD-1 is associated with poor post-cryoablation prognosis in patients with HBV-related hepatocellular carcinoma[J]. PLoS One, 2011, 6(9): e23621. DOI: 10.1371/journal.pone.0023621.
    [28]
    ZHANG J, LI H, GAO D, et al. A prognosis and impact factor analysis of DC-CIK cell therapy for patients with hepatocellular carcinoma undergoing postoperative TACE[J]. Cancer Biol Ther, 2018, 19(6): 475-483. DOI: 10.1080/15384047.2018.1433501.
    [29]
    STANG A. Critical evaluation of the Newcastle-Ottawa scale for the assessment of the quality of nonrandomized studies in meta-analyses[J]. Eur J Epidemiol, 2010, 25(9): 603-605. DOI: 10.1007/s10654-010-9491-z.
  • 加载中

Catalog

    通讯作者: 陈斌, bchen63@163.com
    • 1. 

      沈阳化工大学材料科学与工程学院 沈阳 110142

    1. 本站搜索
    2. 百度学术搜索
    3. 万方数据库搜索
    4. CNKI搜索

    Figures(7)  / Tables(4)

    Article Metrics

    Article views (838) PDF downloads(53) Cited by()
    Proportional views
    Related

    /

    DownLoad:  Full-Size Img  PowerPoint
    Return
    Return