中文English
ISSN 1001-5256 (Print)
ISSN 2097-3497 (Online)
CN 22-1108/R

2023 No.5
Theme Issue: Cell Therapy for Liver Disease
Executive Chief Editor: WANG Guiqiang  
Department of Infectious Diseases, Peking University First Hospital

Display Method:
Editorial
Application and prospect of cell therapy in clinical treatment of liver diseases
Guiqiang WANG
2023, 39(5): 1001-1003. DOI: 10.3969/j.issn.1001-5256.2023.05.001
Abstract(1068) HTML (220) PDF (1914KB)(231)
Abstract:
Cell therapy is an emerging therapy different from traditional drug therapy, among which immune cells and mesenchymal stem cells are the two types of most promising cells in the treatment of liver diseases at present, and preliminary results have been achieved for their therapeutic effects. This article summarizes the advances in cell therapy in the field of liver diseases, analyzes the challenges and coping strategies of different cell therapies, and discusses the application prospects of cell therapy in liver-related diseases.
Discussions by Experts
Clinical research advances in mesenchymal stem cells for the treatment of autoimmune liver diseases
Wanwan SHI, Jiandan QIAN, Guiqiang WANG
2023, 39(5): 1004-1009. DOI: 10.3969/j.issn.1001-5256.2023.05.002
Abstract(1346) HTML (564) PDF (1882KB)(210)
Abstract:
Due to limited options and modalities for the etiological treatment of autoimmune liver diseases, it is urgent to seek new therapeutic methods for liver autoimmune diseases. As the most common source of cells for stem cell therapy, mesenchymal stem cells (MSCs) play an important role in regulating innate and adaptive immune responses and have been widely used in clinical trials for the treatment of autoimmune diseases and inflammatory diseases. Recent experimental and clinical studies have shown that MSCs and MSC-EVs can inhibit the activation and proliferation of a variety of liver proinflammatory cells (such as Th1, Th17, and M1 macrophages), regulate the differentiation of different subsets of T and B cells, reduce the secretion of proinflammatory cytokines, and promote the proliferation of anti-inflammatory cells, thereby playing an immunoregulatory role. This article reviews the clinical trials of MSCs and MSC-EVs in the treatment of autoimmune liver diseases and their mechanism in regulating immune function and promoting hepatocyte regeneration and briefly describes the potential application and limitations of MSCs and MSC-EVs in clinical practice.
Clinical research advances in mesenchymal stem cells for the treatment of end-stage liver disease
Yu FENG, Junfeng CHEN, Bingliang LIN
2023, 39(5): 1010-1018. DOI: 10.3969/j.issn.1001-5256.2023.05.003
Abstract(1281) HTML (473) PDF (1911KB)(194)
Abstract:
End-stage liver disease (ESLD) includes decompensated liver cirrhosis and liver failure, which usually have dangerous conditions and a poor prognosis. Liver transplantation is the only effective therapy for ESLD, but its clinical application is limited due to shortage of liver donors, immunological rejection, and expensive costs. Mesenchymal stem cells (MSCs) can differentiate into hepatocyte-like cells and alleviate liver fibrosis by regulating immune function through paracrine, and therefore, MSCs have a wide application prospect in the field of ESLD treatment. A number of clinical studies have shown that MSC infusion is safe and effective in the treatment of ESLD during a short period of time, and there is also certain clinical evidence for its long-term safety and efficacy. MSC-derived exosomes (MSC-Exo) do not have a complete cellular structure and can promote hepatocyte regeneration through a variety of mechanisms, and their clinical value has attracted more and more attention, but there are few studies on this issue. Currently, the core mechanism of MSC therapy for ESLD and the standardized process of MSC preparation are the problems needing to be solved urgently.
Clinical research advances in chimeric antigen receptor T-cell therapy for primary liver cancer
Shuang LI, Zherui LIU, Qi ZHAO, Yinying LU
2023, 39(5): 1019-1029. DOI: 10.3969/j.issn.1001-5256.2023.05.004
Abstract(1623) HTML (786) PDF (2322KB)(202)
Abstract:
Primary liver cancer (PLC) has the features of insidious onset and difficulties in early diagnosis, with limited and ineffective therapeutic options. Chimeric antigen receptor (CAR) T-cell therapy is a genetically modified T-cell therapy that recognizes tumor-specific antigens and activates T cells to exert a tumor-killing effect. CAR T-cell therapy has made great progress in the treatment of hematological tumors and has achieved a good clinical effect in the field of solid tumors in recent years, and although CAR T-cell therapy has developed from the first to the fifth generation, there are still many challenges in the field of solid tumors. This article comprehensively reviews the mechanisms of CAR T-cell therapy for PLC and related research advances, including the main targets such as GPC3, AFP, MUC1, and NKG2D in CAR T-cell therapy for PLC, CAR T-cell therapy for PLC and oncolytic virus, and combined treatment with immune checkpoint inhibitors, as well as the advances in the biological, preclinical, and clinical studies on these targets and treatment modalities and the challenges and solutions for CAR T-cell therapy in the treatment of PLC, so as to provide a reference for the future clinical development of CAR T-cell therapy in liver cancer.
Research advances in tumor-infiltrating lymphocytes in treatment of biliary tract cancer
Xueshuai WAN, Xiaobing XIE, Haitao ZHAO, Weiyue GU, Henghui ZHANG
2023, 39(5): 1030-1036. DOI: 10.3969/j.issn.1001-5256.2023.05.005
Abstract(1245) HTML (537) PDF (1885KB)(155)
Abstract:
Tumor-infiltrating lymphocytes (TILs) are a heterogeneous subset of lymphocytes, mainly T cells, present in tumor parenchyma and stroma. After being digested and isolated from tumor tissue and then cultured in vitro for activation and multiplication, it can be infused back into the patient's body to kill tumor cells. TILs have the advantages of high diversity of TCR, excellent ability to infiltrate into tumor sites, and low toxicity and are considered promising for the treatment of malignant solid tumors. At present, TIL therapy has been tested as a second-line treatment in a variety of solid tumors and has achieved preliminary results. Although there is still no clinical cohort report on the application of TILs in biliary tract cancer (BTC), recent clinical reports on multiple cancers have provided information on the efficacy of TIL therapy in a small number of BTC patients, which preliminarily confirmed the safety and efficacy of TIL therapy. However, since BTC is generally considered an immunologically repulsive tumor in which most effector T cells are sequestered at the tumor edge, the antitumor effect of TILs in BTC remains difficult to predict. Combination therapy with different anti-tumor methods and the development of new techniques to modify cells to enhance the anti-tumor ability of TILs are possible directions for breakthrough in the future.
Academic contention
Opinion on the definition of "occult hepatitis B virus infection"
Rongrong XUE, Xinru WANG, Li XIAO, Chengyuan LIU, Wei WANG, Hongtao XU, Jianchun XIAN
2023, 39(5): 1037-1040. DOI: 10.3969/j.issn.1001-5256.2023.05.006
Abstract(1352) HTML (272) PDF (1843KB)(184)
Abstract:
The presence of replication-competent HBV DNA in the liver and/or serum of HBsAg-negative individuals is a sufficient and necessary condition for the diagnosis of occult hepatitis B virus infection (OBI). In recent years, Chinese scholars have proposed what is considered a more "rigorous" definition, i.e., on this basis, HBV window period (WP) infection is excluded, which corresponds to a serum HBV DNA level of below the lower limit of detection or a low positive value (< 200 IU/mL). As the definition of WP for HBV infection remains unclear and its duration is highly variable, "HBV DNA < 200 IU/mL" is not the only criterion in OBI patients. Therefore, it is believed that there is still a lack of sufficient basis and operability for the definition of OBI based on "the exclusion of HBV WP infection" and "HBV DNA < 200 IU/mL" as "rigorous" conditions for the diagnosis of OBI.
Guideline
Diagnosis and treatment guideline for Chinese Medicine on non-alcoholic steatohepatitis
Branch of Hepatobiliary Diseases, China Association of Chinese Medicine
2023, 39(5): 1041-1048. DOI: 10.3969/j.issn.1001-5256.2023.05.007
Abstract(2575) HTML (915) PDF (1893KB)(678)
Abstract:
A brief introduction of AASLD practice guidance on the clinical assessment and management of nonalcoholic fatty liver disease in 2023
Wenjing NI, Jie LI, Jiangao FAN
2023, 39(5): 1049-1055. DOI: 10.3969/j.issn.1001-5256.2023.05.008
Abstract(2635) HTML (1397) PDF (3058KB)(644)
Abstract:
Original Article_Viral Hepatitis
Seroepidemiological characteristics of hepatitis B virus among hospitalized patients aged 18 years or below in Henan Province of China
Wei LI, Yanhong KANG, Jiangfeng ZHANG, Hui YIN, Junping LIU, Yukui LI, Yi KANG
2023, 39(5): 1056-1060. DOI: 10.3969/j.issn.1001-5256.2023.05.009
Abstract(962) HTML (190) PDF (2003KB)(103)
Abstract:
  Objective  To investigate the current status of hepatitis B virus (HBV) infection among hospitalized patients aged 1-18 years, as well as the status of immunity after hepatitis B vaccination.  Methods  Related data were collected from the patients aged 1-18 years who were hospitalized in Henan Provincial People's Hospital from July 2020 to July 2021, including serological markers for hepatitis B (HBsAg, anti-HBs, HBeAg, anti-HBe, and anti-HBc) and hepatitis B vaccination. The epidemiological situation of HBV infection was analyzed, as well as the immune effect after vaccination. The trend chi-square test was used for trend analysis.  Results  A total of 10 658 hospitalized patients were collected, among whom there were 6 372 male patients (59.79%) and 4 286 female patients (40.21%). In this population, the patients with positive HBsAg accounted for 0.28% (30/10 658), with a relatively high proportion of 0.68% and 0.62%, respectively, in the 17-and 18-year age groups; the patients with positive anti-HBs accounted for 51.82% (5 523/10 658), with a relatively high proportion of > 63% in the 1-4 years age groups, and there was a reduction in the proportion of patients with positive anti-HBs (fluctuating around 40%) in the 5-18 years age groups. With the increase in age, the positive rate of anti-HBs tended to decrease in both male and female patients (male: χ2=8.217, P=0.004; female: χ2=10.048, P=0.002).  Conclusion  Based on the data of hospitalized patients, HBV infection in the population aged 1-18 years in Henan Province has the characteristics of low prevalence rate and high immunity, and the reduction in the proportion of patients with positive anti-HBs at more than five years after vaccination should be taken seriously in this region.
Efficacy and safety of tenofovir alafenamide fumarate in treatment of chronic hepatitis B patients aged ≥60 years in Qingdao, China
Yuwen SONG, Lizhen CHEN, Wenwen JIN, Ning GENG, Yang ZHANG, Shuixian DU, Bentian ZHAO, Jianping DUAN, Yong ZHOU, Chunhua BI, Lei MA, Xinxin HU, Jihong ZHANG, Jiantao SUN, Jie TAN, Yongning XIN
2023, 39(5): 1061-1069. DOI: 10.3969/j.issn.1001-5256.2023.05.010
Abstract(1681) HTML (617) PDF (2730KB)(166)
Abstract:
  Objective  To investigate the application value of tenofovir alafenamide fumarate (TAF) in elderly patients with chronic hepatitis B (CHB) and its influence on bones and kidneys.  Methods  A total of 36 CHB patients, aged ≥60 years, who received TAF antiviral therapy in Qingdao Municipal Hospital, The Affiliated Hospital of Qingdao University, Qingdao Sixth People's Hospital, Chengyang People's Hospital, and Jimo People's Hospital from June 2021 to October 2022 were enrolled in this study, and all patients received TAF (25 mg/d) antiviral therapy. Related data were collected at baseline and weeks 24 and 48 of treatment, including virological indicators, biochemical parameters, urinary protein electrophoresis indices, transient elastography (FibroScan), and bone mineral density. Virological indicators included high-sensitivity HBV DNA quantification; biochemical parameters included total bilirubin, direct bilirubin (DBil), indirect bilirubin (IBil), alanine aminotransferase, aspartate aminotransferase, alkaline phosphatase, gamma-glutamyl transpeptidase, total bile acid (TBA), glucose, blood urea nitrogen, creatinine, estimated glomerular filtration rate, and cystatin C (Cys C); urinary protein electrophoresis indices included urinary β2 microglobulin (β2-MG), urinary retinol (URBP), and urinary α1 microspherin (α1-MG). The paired t-test was used for comparison of normally distributed continuous data before and after treatment, and the Wilcoxon signed-rank test was used for comparison of non-normally distributed continuous data before and after treatment; the chi-square test or the Fisher's exact test was used for comparison of categorical data.  Results  A total of 36 CHB patients completed 24 weeks of follow-up. The complete virological response rate after 24 weeks of treatment was higher than that at baseline [83.3% (30/36) vs 77.8% (28/36), χ2=0.36, P=0.55], and there were significant reductions in DBil (t=-2.42, P=0.02) and Cys C (t=-4.34, P < 0.001) from baseline to week 24. A total of 18 CHB patients completed 48 weeks of follow-up. The complete virological response rate after 48 weeks of treatment was higher than that at baseline (94.4% vs 77.8%, χ2=2.22, P=0.34), and there were significant increases in IBil (t=2.43, P=0.03), TBA (Z=-2.24, P=0.03), and bone mineral density T score of lumbar vertebra (t=2.92, P= 0.01) and femoral neck (t=2.42, P=0.03) and a significant reduction in liver stiffness measurement (t=-2.31, P=0.03). There were no significant changes in β2-MG, URBP, and α1-MG after treatment (all P > 0.05).  Conclusion  TAF has a good antiviral effect in CHB patients aged ≥60 years and can help more CHB patients achieve complete virological response, without causing damage to the kidney, and it can also improve bone mineral density and liver fibrosis degree.
Value of combined baseline serum HBV markers in predicting HBeAg seroconversion in chronic hepatitis B patients treated by nucleos(t)ide analogues
Yang WANG, Hao LIAO, Zhongping DENG, Jing ZHAO, Dandan BIAN, Yan REN, Yingying JIANG, Shuang LIU, Yu CHEN, Fengmin LU, Zhongping DUAN, Sujun ZHENG
2023, 39(5): 1070-1075. DOI: 10.3969/j.issn.1001-5256.2023.05.011
Abstract(962) HTML (267) PDF (1877KB)(141)
Abstract:
  Objective  To investigate the ability of combined baseline serum markers, i.e., HBV DNA, HBV RNA, HBsAg, and HBcrAg, to predict HBeAg seroconversion in patients with HBeAg-positive chronic hepatitis B (CHB) treated by nucleos(t)ide analogues.  Methods  A retrospective analysis was performed for 83 HBeAg-positive patients selected as subjects from the prospective CHB follow-up cohort established by Difficult & Complicated Liver Diseases and Artificial Liver Center, Beijing YouAn Hospital, Capital Medical University, from June 2007 to July 2008, and the baseline serum levels of HBV DNA, HBV RNA, HBsAg, and HBcrAg were analyzed. The t-test or the Mann-Whitney U test was used for comparison of continuous data between two groups, and the chi-square test was used for comparison of categorical data between two groups. The Spearman method was used for correlation analysis. A Cox regression model was established to calculate HBeAg seroconversion prediction score, and the time-dependent receiver operating characteristic curve was used to evaluate the ability of combined markers in predicting HBeAg seroconversion. The Kaplan-Meier method was used to calculate cumulative seroconversion rate in each group, and the Log-rank test was used for comparison between groups.  Results  For the 83 HBeAg-positive patients, the median follow-up time was 108 months, and 44.58%(37/83) of these patients achieved HBeAg seroconversion. Compared with the non-seroconversion group, the HBeAg seroconversion group had significantly lower baseline serum levels of HBV DNA [6.23(1.99-9.28) log10IU/mL vs 7.69(2.05-8.96) log10IU/mL, Z=-2.345, P=0.019] and HBV RNA [4.81(1.40-7.53) log10copies/mL vs 6.22(2.00-8.49) log10copies/mL, Z=-1.702, P=0.010], and there were no significant differences in the levels of HBsAg and HBcrAg between the two groups (P > 0.05). The Cox regression equation constructed based on the above serum markers showed a median score of 0.95(range 0.37-3.45) for predicting HBeAg seroconversion. In the total population, the combined score was negatively correlated with HBsAg, HBV DNA, HBV RNA, and HBcrAg (r=-0.697, -0.787, -0.990, and -0.819, all P < 0.001). Based on the median prediction score, the patients were divided into high HBeAg seroconversion group and low HBeAg seroconversion group; as for the prediction of HBeAg seroconversion rate at 36, 60, and 84 months, the high HBeAg seroconversion group had a seroconversion rate of 43.90%, 51.20%, and 63.10%, respectively, while the low HBeAg seroconversion group had a seroconversion rate of 9.60%, 17.00%, and 19.8%, respectively, and there was a significant difference between the two groups (χ2=11.6, P < 0.001).  Conclusion  The combined prediction score based on baseline serum HBV markers can predict HBeAg seroconversion in CHB patients treated by nucleos(t)ide analogues.
Epidemiological situation of hepatitis D in the gathering area of Mongolian population in Inner Mongolia Autonomous Region of China
Chunshan FU, Xiaomei FENG, Xiumei CHI, Jun ZI, Junqi NIU, Zhuancai ZHANG
2023, 39(5): 1076-1080. DOI: 10.3969/j.issn.1001-5256.2023.05.012
Abstract(972) HTML (284) PDF (2140KB)(106)
Abstract:
  Objective  To investigate the status and molecular epidemiology of hepatitis D virus (HDV) infection in the gathering area of Mongolian population in Inner Mongolia Autonomous Region of China.  Methods  A total of 230 patients with positive hepatitis B surface antigen (HBsAg) who attended Inner Mongolia International Mongolian Hospital from April 2019 to October 2020 were enrolled, and according to related information, they were divided into hepatitis B+liver cirrhosis group(n=18) and hepatitis B group(n=212). According to HBsAg quantification with a cut-off value of 250 IU/mL, the patients were divided into HBsAg < 250 IU/mL group(n=104) and HBsAg ≥250 IU/mL group(n=126). ELISA was used to detect HDV antibody, and quantitative real-time PCR was used to measure HDV RNA in patients with positive HDV antibody. Genotyping was performed for HDV RNA-positive samples. The chi-square test was used for comparison of categorical data between two groups.  Results  The positive rate of HDV antibody was 16.09%, and among the patients with positive HDV antibody, the positive rate of HDV RNA was 91.89%. Among the 18 patients with hepatitis B and liver cirrhosis, the positive rate of HDV antibody was 44.44%, and among the patients with positive HDV antibody, the positive rate of HDV RNA was 100%. There were 104 patients with HBsAg < 250 IU/mL, among whom only 3 patients (2.88%) were positive for hepatitis D antibody, and there were 126 patients with HBsAg ≥250 IU/mL, with a positive rate of HDV antibody of 26.98%. Genotype 1 was observed in all the samples that could be genotyped.  Conclusion  There is a relatively high infection rate of HDV in Inner Mongolia Autonomous Region, especially in patients with HBsAg ≥250 IU/mL or those with liver cirrhosis. It is necessary to strengthen the detection of hepatitis D in HBsAg-positive patients and perform early diagnosis and treatment to prevent the further progression of hepatitis.
Original Article_Fatty Liver Disease
Influencing factors for nonalcoholic fatty liver disease in patients with type 2 diabetes mellitus
Shunxiao ZHANG, Sheng ZHANG, Yan ZHANG, Yuanyuan LI, Yue CHEN, Mingyu SUN
2023, 39(5): 1081-1088. DOI: 10.3969/j.issn.1001-5256.2023.05.013
Abstract(1002) HTML (390) PDF (2079KB)(108)
Abstract:
  Objective  To investigate related influencing factors in patients with type 2 diabetes mellitus (T2DM) and nonalcoholic fatty liver disease (NAFLD).  Methods  A total of 252 patients with T2DM who were treated in Shanghai Baoshan Hospital of Integrated Traditional Chinese and Western Medicine from May 2021 to March 2022 were enrolled as subjects, and these patients were also included in Metabolic Management Center of China. According to the presence or absence of fatty liver disease, the patients were divided into simple T2DM group (n=105) and T2DM+NAFLD group (n=147). Related general data were analyzed, including sex, age, blood pressure, body height, body weight, neck circumference, triglyceride (TG), total cholesterol, high-density lipoprotein cholesterol (HDL-C), low-density lipoprotein cholesterol, fasting blood glucose, glycosylated hemoglobin, high-sensitivity C-reactive protein, albumin/creatinine ratio in morning urine, thyroid stimulating hormone, uric acid, intrahepatic fat deposition, carotid intima-media thickness, and brachial-ankle pulse wave velocity. The group t-test was used for comparison of normally distributed continuous data between two groups, and the Mann-Whitney U test was used for comparison of non-normally distributed continuous data between two groups; the chi-square test was used for comparison of categorical data between groups. A multivariate logistic regression analysis was used to investigate the risk factors for T2DM with NAFLD, and the receiver operating characteristic (ROC) curve was used to assess the predictive value of related influencing factors.  Results  The age-stratified analysis showed that in the < 50 years age group, compared with the patients with T2DM alone, the patients with T2DM and NAFLD had significantly higher levels of body mass index (BMI), visceral fat, TG, brachial-ankle pulse wave velocity, albumin/creatinine ratio in morning urine, and uric acid (P < 0.05); in the ≥50 years age group, compared with the patients with T2DM alone, the patients with T2DM and NAFLD had significantly higher levels of blood pressure, BMI, visceral fat, TG, brachial-ankle pulse wave velocity, albumin/creatinine ratio in morning urine, and uric acid (P < 0.05) and a significantly lower level of serum HDL-C (P < 0.05). The multivariate logistic regression analysis showed that BMI (odds ratio [OR]=1.408, 95% confidence interval [CI]: 1.136-1.746, P=0.002), HDL-C (OR=0.031, 95% CI: 0.001-0.647, P=0.025), left brachial-ankle pulse wave velocity (OR=1.003, 95% CI: 1.001-1.006, P=0.003), and uric acid (OR=1.011, 95% CI: 1.005-1.016, P < 0.001) were independent influencing factors for T2DM with NAFLD. The ROC curve analysis showed that HDL-C, BMI, left brachial-ankle pulse wave velocity, and uric acid had an area under the ROC curve of 0.695 (95% CI: 0.574-0.812), 0.708 (95% CI: 0.628-0.788), 0.611 (95% CI: 0.523-0.698), and 0.698 (95% CI: 0.617-0.779), respectively, in evaluating T2DM with NAFLD.  Conclusion  Low levels of HDL-C, BMI, left brachial-ankle pulse wave velocity, and uric acid have a certain value in predicting NAFLD in patients with T2DM.
Original Article_Liver Fibrosis and Liver Cirrhosis
Establishment and evaluation of a multivariate Cox proportional-hazards prediction model for mortality during short-term hospitalization in patients with liver cirrhosis and sepsis
Linlin XUE, Binghan LI, Chunyun LIU, Weikun LI, Lixian CHANG, Li LIU
2023, 39(5): 1089-1097. DOI: 10.3969/j.issn.1001-5256.2023.05.014
Abstract(892) HTML (356) PDF (2199KB)(99)
Abstract:
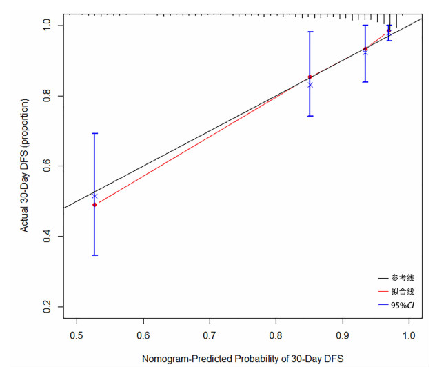
  Objective  To establish a Cox proportional-hazards prediction model for mortality during short-term hospitalization in patients with liver cirrhosis and sepsis.  Methods  A retrospective analysis was performed for the clinical data of 336 patients with liver cirrhosis and sepsis who were admitted to The Third People's Hospital of Kunming from January 2012 to August 2022, and according to whether the patient died during short-term hospitalization, they were divided into death group with 40 patients and survival group with 296 patients. Demographic data, comorbidities, and clinical biochemical parameters were collected and compared between the two groups. The independent-samples t test was used for comparison of normally distributed continuous data between two groups, and the Mann-Whitney U test was used for comparison of non-normally distributed continuous data between two groups; the chi-square test was used for comparison of categorical data between two groups. The multivariate Cox analysis was used for screening of variables, then a Cox proportional-hazards prediction model was established, and hazard ratio (HR) and its 95% confidence interval [CI] were calculated; C-index index was used to evaluate the prediction accuracy of the model. The Cox proportional-hazards prediction model was visualized by a nomogram, and calibration curve was plotted to evaluate the consistency between the prediction results of the model and the actual condition.  Results  Among the 336 patients, there were 261 male patients (77.7%) and 75 female patients (22.3%), with a mean age of 50.0±10.6 years, and 40 patients died, with a mean hospital stay of 16.8±11.3 days (range 8.2-23.0 days). Compared with the survival group, the death group had a significantly higher proportion of patients with an age of ≥60 years, a history of invasive operation within the past two weeks, gastrointestinal bleeding, hepatic encephalopathy (HE) or hepatorenal syndrome (HRS), a significantly higher Modified Early Warning Score (MEWS) score, and significantly higher levels of prothrombin time (PT), activated partial thromboplastin time, international normalized ratio, D-dimer, CD4/CD8 ratio, lactate, white blood cell count, norepinephrine, total bilirubin, interleukin-6, procalcitonin, high-sensitivity C-reactive protein (hsCRP), blood urea nitrogen, and creatinine (all P < 0.05), as well as significantly lower levels of red blood cell count, hemoglobin, albumin, total cholesterol, low-density lipoprotein, and high-density lipoprotein (all P < 0.05). The multivariate Cox regression analysis showed that age (HR=2.602, 95%CI: 1.277-5.303, P=0.008), HE (HR=2.516, 95%CI: 1.258-5.033, P=0.009), HRS (HR=2.324, 95%CI: 1.010-5.349, P=0.047), hsCRP (HR=1.008, 95%CI: 1.003-1.013, P=0.004), MEWS score (HR=1.205, 95%CI: 1.022-1.422, P=0.027), and PT (HR=1.076, 95%CI: 1.030-1.124, P=0.027) were independent influencing factors for death in patients with liver cirrhosis and sepsis. The model showed a C-index of 0.857 (95%CI: 0.815-0.920), suggesting that the model had relatively high prediction accuracy, and the calibration curve showed good consistency between the predicted risk and the actual risk.  Conclusion  The Cox proportional-hazards prediction model established for death during short-term hospitalization in patients with liver cirrhosis and sepsis can be used to predict the risk of death during short-term hospitalization in patients with liver cirrhosis and sepsis, thereby guiding clinical medical staff to take targeted intervention measures to avoid or reduce the possibility of death in patients.
Original Article_Other Liver Disease
Value of Charlson comorbidity index in predicting the prognosis of patients with acute-on-chronic liver failure
Fuchun WANG, Wanjie ZHANG, Ziyi LI, Yongwu MAO, Aiping TIAN, Xiaorong MAO, Junfeng LI
2023, 39(5): 1098-1104. DOI: 10.3969/j.issn.1001-5256.2023.05.015
Abstract(1240) HTML (647) PDF (2205KB)(104)
Abstract:
  Objective  To investigate the value of Charlson comorbidity index (CCI) in predicting the short- and long-term risks of death in patients with acute-on-chronic liver failure (ACLF).  Methods  A total of 317 patients with ACLF who attended The First Hospital of Lanzhou University from December 1, 2016 to December 1, 2021 were enrolled, and according to their prognosis, they were divided into death group with 169 patients and survival group with 148 patients. The two groups were analyzed in terms of clinical data and follow-up data. The group t-test or the Mann-Whitney U test was used for comparison of continuous data between two groups, and the chi-square test was used for comparison of categorical data between two groups. The univariate and multivariate Cox proportional-hazards regression model analyses were used to investigate the influencing factors for the prognosis of ACLF patients. The Kaplan-Meier method was used to plot survival curves, and the Log-rank test was used for comparison of survival time between patients with different CCI scores. The receiver operating characteristic (ROC) curve was used to evaluate the performance of CCI and other indices in assessing the prognosis of ACLF patients.  Results  Among the 317 patients, there were 225 (71.0%) male patients. There were significant differences between the death group and the survival group in age, hemoglobin, white blood cell count, total bilirubin, albumin, Model for End-Stage Liver Disease (MELD) score, prothrombin time activity, CCI, age-adjusted Charlson co-morbidity index (ACCI), and follow-up time (all P < 0.05). The multivariate Cox regression analysis showed that the CCI (hazard ratio [HR]=1.351, 95% confidence interval [CI]: 1.112-1.641, P=0.002), ACCI (HR=1.200, 95%CI: 1.011-1.423, P=0.037), and MELD score (HR=1.076, 95%CI: 1.054-1.099, P < 0.001) were independent risk factors for the prognosis of ACLF patients. Based on CCI score, the patients were divided into CCI ≤4 group with 167 patients, CCI=5 group with 64 patients, and CCI ≥6 group with 86 patients, with a 3-year mortality rate of 26.5%, 83.2%, and 96.9%, respectively, and there was a significant difference in survival time between any two groups after 3 years of follow-up and at the time of follow-up till September 2022 (all P < 0.001). CCI, ACCI, and MELD scores had an area under the ROC curve of 0.845, 0.811, and 0.790, respectively, in predicting the prognosis of ACLF patients.  Conclusion  As commonly used comorbidity assessment indices, CCI and ACCI scores have certain value in evaluating the short- and long-term prognosis of ACLF patients.
Etiological spectrum and clinical features of patients with unexplained liver disease manifesting as isolated jaundice: An analysis of 91 cases
Yufeng ZHENG, Xulei ZHANG, Yuhang WENG, Yongfeng YANG
2023, 39(5): 1105-1109. DOI: 10.3969/j.issn.1001-5256.2023.05.016
Abstract(1140) HTML (251) PDF (1926KB)(115)
Abstract:
  Objective  To investigate the etiological and clinical features of patients with unexplained liver disease manifesting as isolated jaundice and the value of whole-exome sequencing in the diagnosis of such diseases.  Methods  A retrospective analysis was performed for the clinical data of the patients who attended Nanjing Second Hospital due to unexplained liver disease and underwent whole-exome sequencing from February 2017 to December 2021, and according to liver function parameters and imaging data, all cases were classified based on clinical phenotype and were diagnosed based on the whole-exome sequencing report. The Mann-Whitney U test was used for comparison of non-normally distributed continuous data between two groups, and the Kruskal-Wallis H test was used for comparison between multiple groups.  Results  A total of 519 patients underwent whole-exome sequencing, among whom 102 patients with missing or incomplete clinical data were excluded, and finally 417 patients were included in analysis, among whom 91(91/417, 21.82%) had the manifestation of isolated jaundice. The etiology of jaundice was not determined by whole-exome sequencing in 8 patients (8/91, 8.79%). With reference to genetic testing results, 83 patients (83/91, 91.21%) had a confirmed diagnosis, among whom there were 68 patients with hereditary hyperbilirubinemia (68/91, 74.72%), 3 patients with hereditary spherocytosis (3/91, 3.30%), 2 patients with pyruvate kinase deficiency (2/91, 2.20%), and 10 patients with UGT1A1 gene disease combined with other diseases (10/91, 10.99%). Hereditary hyperbilirubinemia was the main etiology, and there were 61 patients with UGT1A1 gene disease (61/91, 67.03%), 5 patients with Dubin-Johnson syndrome (5/91, 5.49%) and 2 patients with Rotor syndrome (2/91, 2.20%). There was a significant difference in indirect bilirubin/total bilirubin ratio between the patients with the different diagnoses above (H=22.835, P < 0.05), and the patients with UGT1A1 gene disease and other diseases had a significantly higher level of total bilirubin than those with UGT1A1 gene disease alone [95.8 (37.5-187.1) μmol/L vs 51.4 (34.8-267.1) μmol/L, Z=-2.372, P=0.018].  Conclusion  Whole-exome sequencing can help with the diagnosis of most cases of unexplained liver disease manifesting as isolated jaundice. Hereditary hyperbilirubinemia is the main etiology, and UGT1A1 gene disease is the most common disease. Whole-exome sequencing can assist the clinical diagnosis of unexplained liver disease manifesting as isolated jaundice.
Effect of Toll-like receptor 4 on liver regeneration during acetaminophen-induced liver injury in mice
Mingyue CHEN, Xiuliang ZHENG, Yaqin QIAO, Haitao SHEN, Yan LU
2023, 39(5): 1110-1118. DOI: 10.3969/j.issn.1001-5256.2023.05.017
Abstract(1298) HTML (271) PDF (4566KB)(104)
Abstract:
  Objective  To investigate whether Toll-like receptor 4 (TLR4) inhibition affects liver regeneration during acetaminophen (APAP)-induced liver injury in mice, as well as the mechanism of TLR4 involved in liver regeneration.  Methods  A total of 78 male CD-1 mice were divided into nine groups using a random number table, i.e., three control groups (normal control group, solvent control group, inhibitor control group) with 6 mice in each group and six experimental groups (APAP 24-hour group, TAK-242+APAP 24-hour group, APAP 48-hour group, TAK-242+APAP 48-hour group, APAP 72-hour group, TAK-242+APAP 72-hour group) with 10 mice in each group. The mice in the experimental groups were given a single dose of intraperitoneally injected APAP (300 mg/kg), and TAK-242 was intraperitoneally injected at a dose of 3 mg/kg at 3 hours before APAP administration. Serum and liver tissue samples were collected at different time points. The biochemical method was used to measure the serum level of alanine aminotransferase (ALT); HE staining was used to observe liver pathological changes; RT-PCR, Western blot, and immunohistochemistry were used to measure the expression levels of Cyclin D1, PCNA, Ki-67, STAT3, and p-STAT3. The t-test was used for comparison of normally distributed continuous data between two groups; a one-way analysis of variance was used for comparison between multiple groups, and the least significant difference t-test was used for further comparison between two groups. The Mann-Whitney U test was used for comparison of non-normally distributed continuous data between two groups, and the Kruskal-Wallis H test was used for comparison between multiple groups and further comparison between two groups.  Results  Compared with the normal control group, the APAP 24-hour and 48-hour groups had a significantly higher serum level of ALT (both P < 0.05), and the TAK-242+APAP 24-hour and 48-hour groups had a significantly higher serum level of ALT than the APAP group at the same time point (both P < 0.05). HE staining showed typical central lobular necrosis in the liver of APAP-treated mice, and the TAK-242+APAP 24-hour and 48-hour groups had a significantly larger necrotic area than the APAP group at the same time point (both P < 0.05). RT-PCR, Western blot, and immunohistochemistry showed that the TAK-242+APAP 24-hour, 48-hour, and 72-hour groups had significantly lower mRNA and protein expression levels of Cyclin D1 than the APAP group at the same time point (all P < 0.05); the TAK-242+APAP 24-hour, 48-hour, and 72-hour groups had a significantly lower mRNA expression level of PCNA than the APAP group at the same time point (all P < 0.05), and the TAK-242+APAP 24-hour and 48-hour groups had a significantly lower protein expression level of PCNA than the APAP group at the same time point (all P < 0.05); the TAK-242+APAP 24-hour and 72-hour groups had a significantly lower mRNA expression level of Ki-67 than the APAP group at the same time point (all P < 0.05), and the TAK-242+APAP 24-hour, 48-hour, and 72-hour groups had a significantly lower protein expression level of Ki-67 than the APAP group at the same time point (all P < 0.05). In addition, the TAK-242+APAP 24-hour and 48-hour groups had a significantly lower phosphorylation level of STAT3 than the APAP group at the same time point (both P < 0.05).  Conclusion  TLR4 may promote liver regeneration by increasing the phosphorylation level of STAT3 during APAP-induced liver injury in mice.
Mechanism of action of Dange Jiecheng decoction in a rat model of alcoholic liver disease based on the Kelch-like ECH-associated protein 1/nuclear factor erythroid 2-related factor 2 signaling pathway
Ming WANG, Jianhu XU, Li MA
2023, 39(5): 1119-1125. DOI: 10.3969/j.issn.1001-5256.2023.05.018
Abstract(1034) HTML (328) PDF (2919KB)(91)
Abstract:
  Objective  To investigate the therapeutic effect of Dange Jiecheng decoction on a rat model of alcoholic liver disease (ALD) and the anti-oxidative stress mechanism of Dange Jiecheng decoction.  Methods  A total of 96 Sprague-Dawley rats were randomly divided into blank group with 13 rats and ALD group with 83 rats, and the rats in the ALD group were given liquor by gavage to establish a model of ALD. Then the ALD group was randomly divided into model group, high-dose Dange Jiecheng decoction group (24 g/kg), low-dose Dange Jiecheng decoction group (6 g/kg), and Yiganling tablet group (21 mg/kg), with 17 rats in each group. The rats in the blank group and the model group were given normal saline by gavage, and those in the other groups were given corresponding drugs by gavage, for 4 consecutive weeks. HE staining was used to observe the pathological changes of liver tissue; Western blot was used to measure the contents of Kelch-like ECH-associated protein 1 (Keap1), nuclear factor erythroid 2-related factor 2 (Nrf2), and heme oxygenase-1 (HO-1) in liver tissue; quantitative real-time PCR was used to measure the mRNA expression levels of Keap1 and HO-1 in liver tissue. A one-way analysis of variance was used for comparison of continuous data between multiple groups, and the least significant difference t-test was used for further comparison between two groups.  Results  Compared with the blank group, the model group had disordered arrangement of hepatocytes with necrosis, massive inflammatory cell infiltration, and a large number of lipid droplet vacuoles, significant increases in the protein and mRNA expression levels of Keap1 (P < 0.05), and significant reductions in the protein expression levels of Nrf2 and HO-1 and the mRNA expression level of HO-1 (P < 0.05). Compared with the model group, the high- and low-dose Dange Jiecheng decoction groups and the Yiganling tablet group had ordered arrangement of hepatocytes, reductions in hepatocyte necrosis and inflammatory cells, and occasional lipid droplet vacuoles, as well as significant reductions in the protein and mRNA expression levels of Keap1 (P < 0.05) and significant increases in the protein expression levels of Nrf2 and HO-1 and the mRNA expression level of HO-1 (P < 0.05).  Conclusion  By regulating the Keap1/Nrf2 signaling pathway, Dange Jiecheng decoction can promote the nuclear import of Nrf2, upregulate the expression of HO-1, and alleviate oxidative stress response, thereby exerting a protective effect on ALD rats.
Original Article_Biliary Disease
Effect of Yinchenhao decoction on renal oxidative stress injury in rats with obstructive jaundice and its mechanism of action based on the nuclear factor erythroid 2-related factor 2 signaling pathway
Junjian LIU, Shuai CHEN, Hongxia YUAN, Yan XU, Xibo ZHANG, Zhonglian LI
2023, 39(5): 1126-1133. DOI: 10.3969/j.issn.1001-5256.2023.05.019
Abstract(1209) HTML (266) PDF (2889KB)(81)
Abstract:
  Objective  To investigate the effect of Yinchenhao decoction on renal oxidative stress injury in rats with obstructive jaundice and its association with the regulation of the expression of nuclear factor erythroid 2-related factor 2 (Nrf2) and nuclear translocation.  Methods  A total of 32 male Sprague-Dawley rats were randomly divided into sham-operation group (S group), model group (O group), low-dose Yinchenhao decoction group (LY group), and high-dose Yinchenhao decoction group (HY group), with 8 rats in each group. For the rats in the S group, the upper common bile duct was isolated without ligation, and for those in the other groups, double ligation of the middle and upper 1/3 of the common bile duct was performed to establish a model of obstructive jaundice. After 7 days, the rats in the LY group and the HY group were given Yinchenhao decoction by gavage at a dose of 6.3 and 18.9 mL/kg, respectively, while those in the S and O groups were given an equal volume of distilled water by gavage every day for 7 consecutive days, and the rats were treated on day 14. ELISA was used to measure the serum levels of total bilirubin (TBil), direct bilirubin (DBil), alanine aminotransferase (ALT), gamma-glutamyl transpeptidase (GGT), blood urea nitrogen (BUN), and creatinine (Cr); spectrophotometry was used to measure the activity of the oxidative stress factors superoxide dismutase (SOD) and malondialdehyde (MDA) in renal tissue; quantitative real- time PCR and Western blotting were used to measure the mRNA and protein expression levels of Nrf2, Kelch-like ECH-associated protein 1 (Keap1), and NAD(P)H quinone dehydrogenase 1 (NQO1) in renal tissue; immunohistochemistry was used to measure observe the nuclear translocation of Nrf2 protein in renal tissue. A one-way analysis of variance was used for comparison of continuous data between multiple groups, and the least significant difference t-test was used for further pairwise comparison within groups.  Results  Compared with the S group, the O group had significant increases in the levels of TBil, DBil, ALT、GGT, BUN, and Cr, a significant reduction in the activity of SOD, and a significant increase in the level of MDA (all P < 0.05). Compared with the O group, the LY group and the HY group had significant reductions in liver and renal function parameters, a significant increase in the activity of SOD, and a significant reduction in the level of MDA (all P < 0.05). Compared with the S group, the O group had significant reductions in the mRNA and protein expression levels of Nrf2 and NQO1 in renal tissue (all P < 0.05), and compared with the O group, the LY group and the HY group had significant increases in the mRNA and protein expression levels of Nrf2 and NQO1 (all P < 0.05), while there was no significant difference in the protein expression level of Keap1 between groups (P > 0.05). Compared with the S group, the O group had a significant reduction in the positive rate of Nrf2 in cell nucleus in renal tissue (P < 0.05), and compared with the O group, the LY group and the HY group had a significant increase in the positive rate of Nrf2 in cell nucleus (P < 0.05).  Conclusion  Yinchenhao decoction can effectively alleviate renal injury caused by obstructive jaundice, possibly by upregulating the protein expression of Nrf2 in renal tissue and regulating the nuclear translocation of Nrf2 protein, so as to mediate the protein expression of downstream NQO1, regulate oxidative stress response caused by obstructive jaundice, and thereby alleviate renal injury in rats.
Original Article_Pancreatic Disease
Role of the Sonic Hedgehog signaling pathway in intestinal mucosal barrier injury in rats with severe acute pancreatitis
Lin WEN, Jiayue ZENG, Fengyu MA, Xia CHEN
2023, 39(5): 1134-1143. DOI: 10.3969/j.issn.1001-5256.2023.05.020
Abstract(1344) HTML (466) PDF (5731KB)(83)
Abstract:
  Objective  To investigate the expression and role of the Sonic Hedgehog (Shh) signaling pathway in intestinal mucosal barrier injury in rats with severe acute pancreatitis (SAP).  Methods  A total of 48 Sprague-Dawley rats were divided into sham-operation group (Sham group), SAP model group (SAP group), SAP+Shh signaling pathway-specific agonist purmorphamine group (PUR+SAP group), and SAP+Shh signaling pathway-specific antagonist cyclopamine group (CYC+SAP group) using a random number table, with 12 rats in each group, and each group was further divided into 12-hour and 24-hour subgroups, with 6 rats in each subgroup. Rats were given retrograde injection of 5% sodium taurocholate into the pancreatic and bile ducts to establish a model of SAP, and rats in the intervention groups were given intraperitoneal injection of 0.69 mg/kg purmorphamine and 0.69 mg/kg cyclopamine before modeling. Related samples were collected at 12 and 24 hours after modeling. HE staining was used to observe the pathological changes of the pancreas and the ileum; ELISA was used to measure the serum levels of amylase, lipase, diamine oxidase (DAO), and endotoxin-core antibody (EndoCAb); the TUNEL method was used to observe the apoptosis of intestinal epithelial cells; Western blot was used to measure the expression levels of Shh, Ptch1, and Gli1 in ileal tissue. A one-way analysis of variance was used for comparison of normally distributed continuous data between multiple groups, and the least significant difference t-test was used for further comparison between two groups; the Kruskal-Wallis H test was used for comparison of non-normally distributed continuous data between multiple groups and further comparison between two groups.  Results  Compared with the Sham group, the SAP group had significant increases in the pathological scores of pancreatic and ileum tissue, the serum levels of lipase, amylase, DAO, and EndoCAb, the apoptosis of intestinal epithelial cells, and the protein expression levels of Shh, Ptch1, and Gli1 in ileal tissue (all P < 0.05). Compared with the SAP group, the PUR+SAP group had significantly alleviated pathological injury and dysfunction of the pancreas and intestine, a significant reduction in the apoptosis of intestinal epithelial cells, and significant increases in the protein expression levels of Shh, Ptch1, and Gli1 in ileal tissue (all P < 0.05). Compared with the SAP group, the CYC+SAP group had significant aggravation of the pathological injury and dysfunction of the pancreas and intestine, a significant increase in the apoptosis of intestinal epithelial cells, and significant reductions in the protein expression levels of Shh, Ptch1, and Gli1 in ileal tissue (all P < 0.05).  Conclusion  The Shh signaling pathway may be involved in intestinal mucosal barrier injury in SAP and exerts a protective effect.
Brief Report
Histopathological characteristics of the liver in children with non-alcoholic fatty liver disease
Min LIU, Weijian CHEN, Zhengzhen ZHOU, Xiaomei QIN, Rong WEN, Nan JIANG, Linzhi KUANG, Taiqing ZHENG, Liqiong ZHANG, Shuangjie LI
2023, 39(5): 1144-1149. DOI: 10.3969/j.issn.1001-5256.2023.05.021
Abstract(860) HTML (393) PDF (3065KB)(80)
Abstract:
Case Report
Autoimmune hepatitis-primary biliary cholangitis overlap syndrome with gastric adenocarcinoma: A case report
Lichen LI, Shaohui TANG
2023, 39(5): 1150-1153. DOI: 10.3969/j.issn.1001-5256.2023.05.022
Abstract(744) HTML (228) PDF (2317KB)(95)
Abstract:
A case of atypical hepatic hemangioma misdiagnosed as hepatic cystadenoma
Sha WANG, Yanli ZHANG, Yuanyuan CHEN, Qinqin MA, Junqiang LEI
2023, 39(5): 1154-1156. DOI: 10.3969/j.issn.1001-5256.2023.05.023
Abstract(975) HTML (232) PDF (2557KB)(82)
Abstract:
Endoscopic retrograde cholangiopancreatography combined with peroral choledochoscopy in treatment of common bile duct stones with gallbladder neck stones and gallbladder polyps: A case report
Liying TAO, Hongguang WANG, Qingmei GUO, Yingting DU, Lianyu PIAO, Jing LIU, Feng JIANG
2023, 39(5): 1157-1161. DOI: 10.3969/j.issn.1001-5256.2023.05.024
Abstract(1430) HTML (534) PDF (2850KB)(92)
Abstract:
Mucinous gallbladder adenoma diagnosed by endoscopic retrograde cholangiopancreatography and SpyGlass: A case report
Xinyu LU, Linheng WANG, Gui JIANG, Yifei YUN, Shuo HUANG, Lijie ZHANG
2023, 39(5): 1162-1165. DOI: 10.3969/j.issn.1001-5256.2023.05.025
Abstract(805) HTML (370) PDF (2680KB)(63)
Abstract:
Review
Association between bile acids and nonalcoholic fatty liver disease
Junjun WANG, Xiaobo CAI, Lungen LU
2023, 39(5): 1166-1171. DOI: 10.3969/j.issn.1001-5256.2023.05.026
Abstract(1191) HTML (516) PDF (1878KB)(249)
Abstract:
With the rapid increase in the prevalence rate of nonalcoholic fatty liver disease (NAFLD), new treatment methods are needed to prevent disease progression to liver fibrosis, liver cirrhosis, and liver cancer. Although great efforts have been made to clarify the pathological mechanisms of NAFLD disease progression, there are still no effective treatment methods at present. Bile acids (BAs) regulate systemic metabolism by activating nuclear receptors and G protein-coupled receptors and have been identified as important signaling molecules involved in lipid, glucose, and energy metabolism. Dysregulation of BA homeostasis is associated with the severity of NAFLD. This article summarizes the important ligands in BA metabolism and their role in the progression of NAFLD, in order to provide a basis for the treatment of NAFLD by targeting BA messengers.
Role of bone morphogenetic protein-4 in the pathogenesis of nonalcoholic fatty liver disease
Yuwei WANG, Jinchun LIU, Ru CHAI
2023, 39(5): 1172-1177. DOI: 10.3969/j.issn.1001-5256.2023.05.027
Abstract(919) HTML (201) PDF (2189KB)(64)
Abstract:
Nonalcoholic fatty liver disease (NAFLD) has become one of the most common chronic liver diseases in the world, and it seriously harms human health. Recent studies have found that bone morphogenetic protein 4 (BMP4) might be associated with NAFLD. This article reviews the latest advances in the research on the association between BMP4 and NAFLD in China and globally and explores the potential mechanism of action of BMP4 on NAFLD, in order to provide new ideas for the prevention and treatment of NAFLD.
Advances in the application of nonselective β-receptor blockers in treatment of liver cirrhosis
Yifeng LIU, Xiaoze WANG, Li YANG
2023, 39(5): 1178-1183. DOI: 10.3969/j.issn.1001-5256.2023.05.028
Abstract(1397) HTML (637) PDF (1883KB)(167)
Abstract:
Nonselective β-receptor blockers (NSBBs) are first-line drugs for the prevention and treatment of complications in cirrhotic patients with portal hypertension and are widely used in the primary and secondary prevention of esophagogastric variceal bleeding. In recent years, studies have shown that in patients with clinically significant portal hypertension (CSPH), NSBBs can used to prevent liver decompensation events besides variceal bleeding, such as ascites and hepatic encephalopathy. However, in patients without CSPH, current research evidence does not support the use of NSBBs. Although reliable data currently support the use of NSBBs in end-stage liver cirrhosis, there are still drug safety issues in patients with refractory ascites and spontaneous bacterial peritonitis, and further studies are needed to explore the dose and timing of administration. This article reviews the clinical research advances in the use of NSBBs (especially carvedilol) in patients with liver cirrhosis and summarizes the therapeutic window used reasonably in the whole-course management of liver cirrhosis, so as to provide a basis for clinical decision-making.
Current research status of spleen stiffness measurement in predicting portal hypertension and its complications in patients with liver cirrhosis
Jiqing LIU, Fankun MENG, Huiguo DING, Jianjun LI, Qun HUANG, Hongmei ZU, Jing ZHANG
2023, 39(5): 1184-1190. DOI: 10.3969/j.issn.1001-5256.2023.05.029
Abstract(1623) HTML (455) PDF (1892KB)(170)
Abstract:
Liver stiffness measurement (LSM) has been widely used in predicting portal hypertension in clinical practice, and in recent years, spleen stiffness measurement (SSM) has also become a diagnostic tool. Studies have shown that SSM can predict portal hypertension and its complications such as esophagogastric variceal bleeding in patients with chronic liver diseases and assist in the risk stratification management of portal hypertension and esophagogastric variceal bleeding. It can accurately predict clinically significant portal hypertension, high-risk esophageal and gastric varices, decompensation rate, and mortality rate in patients with chronic liver diseases. At present, SSM data in most studies are obtained by detection using the liver equipment FibroScan (SSM@50 Hz). FibroScan 630 is a new scanner dedicated for SSM with a special mode for SSM (SSM@100 Hz). This article elaborates on the significance of SSM in predicting portal hypertension and briefly introduces the advantages and disadvantages of the new equipment for SSM.
Current research status of prognostic models for transjugular intrahepatic portosystemic shunt
Hui LI, Zhibo XIA, Nianjun XIAO, Jianguo CHU, Shoubin NING, Zheyi HAN
2023, 39(5): 1191-1196. DOI: 10.3969/j.issn.1001-5256.2023.05.030
Abstract(1029) HTML (363) PDF (1876KB)(71)
Abstract:
Transjugular intrahepatic portosystemic shunt (TIPS) is a safe and effective method for the treatment of portal hypertension complications in patients with decompensated liver cirrhosis. At present, there are many prognostic scoring tools for risk stratification of poor prognosis after TIPS. This article briefly introduces seven prognostic scoring tools commonly used for TIPS and summarizes the clinical research evidence of each scoring tool. The literature review shows that there is currently no sufficient research evidence to determine the optimal prognostic scoring tool after TIPS. Future clinical studies should comprehensively explore the advantages and disadvantages of different scoring tools in predicting short- and long-term adverse prognostic events after TIPS and develop new prognostic scoring tools in combination with new prognostic markers.
Research advances in immunotherapy for hepatocellular carcinoma
Lizhen ZHU, Xiaolei XU, ABUDUSALAMU Aini, Xiaojuan WANG, Hu ZHOU, Rui TANG, Haining FAN, Qian LU
2023, 39(5): 1197-1203. DOI: 10.3969/j.issn.1001-5256.2023.05.031
Abstract(1749) HTML (364) PDF (1884KB)(244)
Abstract:
Hepatocellular carcinoma (HCC) has an insidious onset, and most patients are in the advanced stage when attending the hospital and thus lose the opportunity for radical surgical resection, which results in the poor prognosis of patients. With the development of clinical treatment, the treatment of advanced HCC has gradually transitioned from the relatively single and limited treatment options in the past to the new model of comprehensive treatment. In recent years, immunotherapy, represented by immune checkpoint inhibitors (ICIs), has become widely used in clinical practice. At present, a number of clinical studies have been conducted for immunotherapy combined with local and targeted antitumor therapy, and in particular, ICIs combined with targeted therapy have become a research hotspot in the field of HCC treatment. This article reviews the research advances in immunotherapy for the treatment of HCC.
Role of macrophage polarization and its crosstalk with neighboring cells in hepatocellular carcinoma
Huiji SU, Gengjie YAN, Hanxiao CHEN, Shaoqun BAN, Ailing WEI, Dewen MAO, Fuli LONG
2023, 39(5): 1204-1211. DOI: 10.3969/j.issn.1001-5256.2023.05.032
Abstract(1531) HTML (1195) PDF (2693KB)(116)
Abstract:
Inflammation is closely associated with the development of cancer. Tumor-associated macrophages (TAM) actively participate in tumor-related inflammation and promote tumor growth and metastasis, while under certain conditions, TAM also show cytotoxicity and tumor killing activity and thus inhibit the progression of cancer. Crosstalk between TAM and neighboring cells is closely associated with the progression of hepatocellular carcinoma (HCC) and drug resistance during treatment. This article summarizes the role of macrophages in HCC and the crosstalk between macrophages and other cells, so as to provide new strategies for the clinical diagnosis and treatment of HCC.
Research advances in tumor-associated macrophages in hepatocellular carcinoma microenvironment
Peng WANG, Jiannan QIU, Zhongxia WANG, Junhua WU, Chunping JIANG
2023, 39(5): 1212-1218. DOI: 10.3969/j.issn.1001-5256.2023.05.033
Abstract(1337) HTML (382) PDF (1890KB)(107)
Abstract:
Since there is a lack of obvious clinical symptoms in the early stage of hepatocellular carcinoma (HCC), most patients have progressed to the advanced stage at the time of confirmed diagnosis. There are limited treatment options for HCC patients who miss the opportunity for surgery, so it is of great importance to find new therapeutic targets. Tumor-associated macrophages (TAMs) are a group of macrophages existing in the tumor immune microenvironment and affect the malignant behaviors of HCC cells and the state of immune escape within the tumor. This article introduces the origin and classification of TAM, summarizes the role and mechanism of TAMs in vascular proliferation, invasion and metastasis, formation and maintenance of stemness, and anti-tumor immunity in HCC, and briefly describes the current research advances in therapeutic targets for TAM, and it is pointed out that targeting TAM may be a promising direction for clinical treatment.
Methods for evaluating liver reserve function before hepatectomy
Junpeng PEI, Youming DING
2023, 39(5): 1219-1226. DOI: 10.3969/j.issn.1001-5256.2023.05.034
Abstract(1780) HTML (434) PDF (1908KB)(200)
Abstract:
At present, hepatectomy has become the preferred treatment modality for most benign and malignant hepatobiliary diseases. Liver failure is a common complication after hepatectomy, and for malignant diseases, how to remove the lesion to the maximum extent and reduce the incidence rate of liver failure after hepatectomy is the key problem at present. Accurate and adequate preoperative evaluation of liver reserve function can provide a basis for judging the progression, therapeutic outcome, and prognosis of liver diseases. There are currently various methods for evaluating liver reserve function and surgical feasibility, each with its own advantages and disadvantages, and there is still a lack of a single comprehensive evaluation method. This article reviews the characteristics of commonly used evaluation methods and related research advances.
Research advances in acute pancreatitis-associated ascites fluid
Zhangpeng WANG, Jun WU, Guangxu JING, Xuyang WANG, Hong ZOU, Hongyu SUN, Lijun TANG
2023, 39(5): 1227-1233. DOI: 10.3969/j.issn.1001-5256.2023.05.035
Abstract(1260) HTML (203) PDF (1890KB)(117)
Abstract:
Acute pancreatitis-associated ascites fluid (PAAF) is a common complication in patients with acute pancreatitis (AP) and is closely associated with the severity of AP, the development of local and systemic complications, and prognosis. PAAF may originate from the leakage of abdominal blood vessels, lymphatic vessels, and pancreatic duct. Recent studies have found that early removal of PAAF by abdominal paracentesis drainage can help to reduce systemic inflammation and alleviate pancreatitis-associated organ injury, thereby improving the conditions of patients with severe AP and reducing mortality. However, it is still not completely clear how PAAF aggravates systemic inflammatory response, participates in pancreatic injury and damage of distal organs, and leads to the aggravation of disease conditions in patients with AP. Therefore, this article gives an overview of PAAF and summarizes related studies in recent years, so as to provide directions for exploring the pathophysiological process and treatment of AP.
Role of thymoquinone in treatment of pancreatic cancer
Zhanxue ZHAO, Linxun LIU, Shuai LI, Xiaofan HOU, Jinyu YANG
2023, 39(5): 1234-1244. DOI: 10.3969/j.issn.1001-5256.2023.05.036
Abstract(1362) HTML (852) PDF (3990KB)(81)
Abstract:
Pancreatic cancer is one of the cancers with the worst prognosis, and its high metastasis rate and resistance to chemotherapy drugs have always been the tough problems in the medical field. At present, the effect of thymoquinone on pancreatic cancer has attracted wide attention, and it can exert an antitumor effect in pancreatic cancer by inhibiting cancer cell proliferation, promoting cancer cell apoptosis, inhibiting invasion and metastasis, enhancing the sensitivity to chemotherapy drugs, and exerting an anti-inflammatory effect. This review briefly introduces the current research status of the association between thymoquinone and pancreatic cancer in China and globally, so as to provide a reference for subsequent research.
Conference Trends at Home and Abroad
Conference announcement|EASL Congress(2023)
2023, 39(5): 1133-1133. DOI: 10.3969/j.issn.1001-5256.2023.05.gnwhydd1
Abstract(580) HTML (478) PDF (854KB)(57)
Abstract:
Introduction of High-quality Articles in Foreign Journals
Journal of Hepatology|Baveno Ⅶ algorithm outperformed other models in ruling out high-risk varices in individuals with HBV-related cirrhosis
2023, 39(5): 1003-1003. DOI: 10.3969/j.issn.1001-5256.2023.05.gwjpwzjj1
Abstract(563) HTML (189) PDF (866KB)(62)
Abstract:
Hepatology International|Effects of antiviral therapy and drug withdrawal on postpartum hepatitis in pregnant women with chronic HBV infection
2023, 39(5): 1143-1143. DOI: 10.3969/j.issn.1001-5256.2023.05.gwjpwzjj2
Abstract(489) HTML (202) PDF (860KB)(55)
Abstract:
Hepatology Research|Clinical features of chronic hepatitis B patients with lean nonalcoholic fatty liver disease
2023, 39(5): 1171-1171. DOI: 10.3969/j.issn.1001-5256.2023.05.gwjpwzjj3
Abstract(477) HTML (171) PDF (862KB)(49)
Abstract:
Thanks
Current reviewers
2023, 39(5): 1060-1060. DOI: 10.3969/j.issn.1001-5256.2023.05.zhixie1
Abstract(365) HTML (171) PDF (853KB)(52)
Abstract: