中文English
ISSN 1001-5256 (Print)
ISSN 2097-3497 (Online)
CN 22-1108/R

留言板

尊敬的读者、作者、审稿人, 关于本刊的投稿、审稿、编辑和出版的任何问题, 您可以本页添加留言。我们将尽快给您答复。谢谢您的支持!

姓名
邮箱
手机号码
标题
留言内容
验证码
2023年 第4期
“重视丁型肝炎病毒感染” 重点号
执行主编:庄辉 院士
北京大学基础医学院

显示方式:
述评
重视丁型肝炎研究
庄辉
2023, 39(4): 737-741. DOI: 10.3969/j.issn.1001-5256.2023.04.001
摘要(1306) HTML (188) PDF (1857KB)(179)
摘要:
丁型肝炎病毒感染是全球重要的公共卫生问题。10余年来,由于广泛的乙型肝炎疫苗免疫和移民,丁型肝炎病毒感染的流行病学发生了显著改变。丁型肝炎病毒感染可表现为联合感染或重叠感染。乙型肝炎病毒与丁型肝炎病毒合并感染的患者发生肝硬化和肝细胞癌的风险远高于乙型肝炎病毒单独感染者。新的治疗丁型肝炎药物已在研发中,部分已进入Ⅲ期临床试验,未来有望取代疗效较低的现行药物。
专家论坛
中国丁型肝炎的研究发展史
刘慧敏, 毛青
2023, 39(4): 742-750. DOI: 10.3969/j.issn.1001-5256.2023.04.002
摘要(1329) HTML (208) PDF (2300KB)(194)
摘要:
自二十世纪七十年代发现丁型肝炎病毒(HDV)伊始,中国学者即开始针对HDV及丁型肝炎进行了大量的研究。本文通过查询中国科技期刊各大数据平台及我国学者在国外PubMed数据库期刊发表的相关文献,从历史发展的视角,全面分析总结了我国有关HDV及丁型肝炎从基础到临床的研究历程和科学发现。历年来,我国学者从检测技术方法建立、感染动物模型构建、核酶功能及应用、临床诊断与表现等方面开展了广泛研究。四十年来的研究成果,为进一步研究HDV的病毒学特征、感染机制、免疫应答与损伤、丁型肝炎的临床病理变化和抗病毒治疗奠定了基础。
丁型肝炎抗体检测方法比较分析
张振锋
2023, 39(4): 751-757. DOI: 10.3969/j.issn.1001-5256.2023.04.003
摘要(1111) HTML (824) PDF (1903KB)(155)
摘要:
丁型肝炎是由丁型肝炎病毒(HDV)与乙型肝炎病毒(HBV)合并感染或者HDV重叠感染HBV携带者引起的一种严重病毒性肝炎。由于长期重视不足,丁型肝炎的诊断目前还存在巨大空白。近年来,随着相关研究的不断深入,科研和医疗行业逐渐意识到丁型肝炎的危害。同时相关药物研发的重大进展也为丁型肝炎的治疗甚至治愈带来了新的机遇。而这些进展将大大增加对丁型肝炎诊断的需求。抗-HD抗体是丁型肝炎诊断的关键指标。本文就目前丁型肝炎抗体包括抗-HD总抗体、IgG和IgM的检测方法进行了总结和比较分析,并对相关的重要问题进行了讨论,以期加深对丁型肝炎抗体检测现状的了解,并为开发更好的丁型肝炎诊断工具提供参考。
HDV RNA检测的研究现状
高耀, 任锋, 段钟平
2023, 39(4): 758-765. DOI: 10.3969/j.issn.1001-5256.2023.04.004
摘要(1170) HTML (308) PDF (1807KB)(159)
摘要:
HDV感染导致的丁型肝炎是最严重的肝炎类型。由于缺乏精准HDV RNA检测方法,HDV的流行率被严重低估。HDV RNA是诊断HDV感染的金标准,在HDV的诊断、筛查和指导治疗方面具有重要意义。但因HDV基因型多、二级结构牢固,导致HDV RNA检测困难。本文就HDV RNA诊断方法的进展进行综述,阐述了HDV RNA检测方法从定性到定量检测的进展,为了解HDV RNA检测重要意义以及促进HDV RNA检测新方法的研发提供新思路。
新疆地区丁型肝炎的流行概况
郑嵘炅, 鲁晓擘
2023, 39(4): 766-770. DOI: 10.3969/j.issn.1001-5256.2023.04.005
摘要(1127) HTML (336) PDF (1775KB)(138)
摘要:
丁型肝炎是全球性的公共卫生问题,HDV感染率在不同地区中的差异较大,基因型也各不相同,慢性HBV感染者重叠感染HDV可加速疾病进展,但丁型肝炎在很大程度上并未被予以重视。新疆地区是乙型肝炎的高发区域,然而关于丁型肝炎的研究比较缺乏。本文讨论HDV感染在新疆地区的流行概况,对新疆地区HDV感染率、不同民族之间的HDV分子流行病学研究以及周边毗邻国家HDV的感染现状进行简要综述,旨在为新疆地区开展HDV分子流行病学研究和疾病防控提供参考。
丁型肝炎流行病学筛查检测指标及适宜人群
迟秀梅, 牛俊奇
2023, 39(4): 771-775. DOI: 10.3969/j.issn.1001-5256.2023.04.006
摘要(1216) HTML (224) PDF (1899KB)(140)
摘要:
HDV感染需要借助HBV的参与,感染后会加速疾病的进展,具有很高的发展为肝硬化、肝癌等终末期肝病的风险。近年来全社会对丁型肝炎的认识逐渐增强,一些针对丁型肝炎的治疗药物也成为研究的热点,伴随着临床检验手段的逐步完善,对于丁型肝炎的流行病学调查开始被研究者重视。针对国内HDV感染的具体情况虽已有多项研究,但由于研究队列小、区域性强而数据偏差较大。本文就目前丁型肝炎流行病学调查中的调查人群及调查方法检测指标等进行简要综述,并对其中的关键问题进行讨论,以期未来获取更准确的流行病学资料,能够更有效地筛查HDV感染者,为临床早期的干预和治疗提供帮助。
丁型肝炎抗病毒治疗药物的研究进展
王彦, 张福杰
2023, 39(4): 776-784. DOI: 10.3969/j.issn.1001-5256.2023.04.007
摘要(1376) HTML (252) PDF (2362KB)(159)
摘要:
丁型肝炎病毒(HDV)是一种乙型肝炎病毒(HBV)的卫星病毒,需借助HBV包膜蛋白完成自身的组装和复制,进而建立新的感染。慢性HDV感染是病毒性肝炎最严重的形式,可加速疾病进展,提高肝癌的发生风险,HDV感染者迫切需要有效的抗病毒治疗以缓解疾病进展,但能够用于抗HDV感染的治疗药物仅包括2020年7月欧洲药品管理局有条件批准的Bulevirtide以及之前推荐使用的干扰素。目前,针对病毒复制周期的几种靶向抗病毒药物正在研究中,且前期临床试验结果表现良好。这意味着HDV的抗病毒药物研发取得了重要突破,为丁型肝炎的治疗带来了希望。本文就目前丁型肝炎抗病毒药物进行简要综述,并对相关的治疗方案进行了讨论,为丁型肝炎的治疗提供参考。
指南与规范
中国戊型病毒性肝炎院内筛查管理流程专家共识(2023年版)
中国戊型肝炎研究协助组(CCSHE), 中国医师协会感染科医师分会, 国家感染性疾病临床医学研究中心
2023, 39(4): 785-794. DOI: 10.3969/j.issn.1001-5256.2023.04.008
摘要(1961) HTML (761) PDF (2826KB)(541)
摘要:
戊型病毒性肝炎(简称戊型肝炎)是由戊型肝炎病毒(HEV)引起的一种急慢性传染病。全球每年约发生2 000万例HEV感染,其中约有330万例戊型肝炎,7万例与HEV感染相关的死亡病例。过去10年我们对戊型肝炎的认识发生了巨大变化,我国仍有大部分HEV感染者,尤其是重症及慢性戊型肝炎患者被漏诊或误诊。根据世界卫生组织提出的到2030年消除病毒性肝炎这一公共卫生危害的目标,并基于医疗机构是目前我国诊断和治疗HEV的主要场所这一事实,中国戊型肝炎研究协助组(CCSHE)、中国医师协会感染科医师分会和国家感染性疾病临床医学研究中心共同制订了共识,希望促进医疗机构管理、疾病预防控制、临床、检验、感染控制的多学科、多部门联合,有效筛查和诊断HEV感染人群;帮助戊型肝炎患者及时会诊和转诊,优化患者随访及复诊管理流程,提供正确的治疗方法。同时加强非感染、非肝病专科医师对戊型肝炎的认知,以便在日常医疗活动中及时发现HEV感染者。
论著_病毒性肝炎
我国部分地区慢性HBV感染者HDV感染情况调查
刘玉梅, 郭小平, 张慧敏, 白洪霞, 王春梅, 任姗, 蒋永芳, 杨胜, 彭锋, 王晓忠, 于雷, 廖柏明, 宁玲, 何英利, 杨霞, 黄亮, 刘学恩, 庄辉
2023, 39(4): 795-803. DOI: 10.3969/j.issn.1001-5256.2023.04.009
摘要(1686) HTML (463) PDF (2049KB)(205)
摘要:
  目的  了解目前我国部分地区慢性HBV感染者丁型肝炎病毒(HDV) 感染流行情况。  方法  2021年3月—2022年6月从全国10个省市自治区收集3 131例慢性HBV感染者血清,用抗-HDV IgG酶联免疫试剂检测全部血清标本。对抗-HDV IgG阳性标本用巢式逆转录聚合酶链式反应(nRT-PCR) 法检测HDV RNA。对HDV RNA阳性标本的nRT-PCR扩增产物测序后进行序列分析,确定HDV基因型。分析抗-HDV IgG阳性患者的临床特征。计量资料两组间比较采用Mann-Whitney U秩和检验。计数资料两组间比较采用χ2检验或Fisher精确检验。  结果  3 131例慢性HBV感染者的抗-HDV IgG阳性率为0.70%(22/3 131),内蒙古自治区、新疆维吾尔自治区、北京市和湖南省慢性HBV感染者的抗-HDV IgG阳性率分别为1.81%(16/886)、0.88%(2/226)、0.28%(2/708) 和1.00%(2/200),其中内蒙古自治区慢性HBV感染者抗-HDV IgG阳性率显著高于北京市(P=0.004),其余地区间比较差异均无统计学意义(P值均>0.05)。对内蒙古自治区慢性HBV感染者临床特征分析发现,抗-HDV IgG阳性组蒙古族患者(P=0.001)、ALT异常患者(P=0.007) 和抗病毒治疗患者(P=0.029) 的比例显著高于抗-HDV IgG阴性组,而中位HBV DNA水平明显较低(P=0.030)。共检出19例HDV RNA阳性标本,均为HDV基因1型。  结论  我国不同地区HDV流行率差异较大,内蒙古自治区慢性HBV感染者中HDV流行率较高。我国北方部分省市的HDV流行基因型主要为1型。
论著_肝纤维化及肝硬化
复方灵丹胶囊对肝纤维化小鼠模型肝功能及纤维化程度的影响
涂芷馨, 王妍, 黄剑洁, 金清龙
2023, 39(4): 804-809. DOI: 10.3969/j.issn.1001-5256.2023.04.010
摘要(986) HTML (175) PDF (4219KB)(79)
摘要:
  目的  研究复方灵丹胶囊对肝纤维化小鼠模型血清生化指标及肝脏纤维化程度的影响。  方法  125只SPF级雄性C57BL/6小鼠随机分为正常对照组(n=5);CCl4模型组(n=15), CCl4造模低、中、高剂量给药组(0.8、1.6、3.2 mg·g-1·d-1)(每组各15只);DDC模型组(n=15),DDC造模低、中、高剂量给药组(0.8、1.6、3.2 mg·g-1·d-1) (每组各15只)。造模成功后,给药组予以相应剂量复方灵丹胶囊混悬液灌胃,正常对照组及模型组以等量生理盐水灌胃,连续给药4周,眼球取血,留取血清,检测AST、ALT、白蛋白、胆红素,留取肝右叶同一部位组织进行病理观察及天狼星红、α1-Ⅰ型胶原蛋白抗体及α-平滑肌肌动蛋白抗体染色。计量资料多组间比较采用单因素方差分析,进一步两两比较采用Bonferroni法。  结果  与模型组对比,复方灵丹胶囊给药后,各剂量组小鼠血清ALT明显下降、白蛋白升高(P值均<0.05),中、高剂量给药组血清AST、胆红素水平均降低(P值均<0.05),且各指标高剂量组较低剂量组差异更显著(P值均<0.05)。各剂量组小鼠肝组织病理变化均得到不同程度的改善,天狼星红染色阳性细胞显著减少,α-平滑肌肌动蛋白、α1-Ⅰ型胶原蛋白表达出现不同程度的下降。  结论  复方灵丹胶囊能够改善肝纤维化小鼠肝功能、降低其肝纤维化程度。
Sema4D在乙型肝炎肝硬化患者外周血T淋巴细胞和血清中的表达及意义
温雪, 何昱静, 袁倩倩, 李初谊, 卢利霞, 于晓辉, 张久聪
2023, 39(4): 810-817. DOI: 10.3969/j.issn.1001-5256.2023.04.011
摘要(937) HTML (385) PDF (1814KB)(73)
摘要:
  目的  研究乙型肝炎肝硬化患者外周血T淋巴细胞和血清中Sema4D的表达,分析其与临床指标的相关性。  方法  纳入2020年10月—2021年11月在联勤保障部队第九四〇医院就诊的20例慢性乙型肝炎(CHB)患者,68例乙型肝炎肝硬化患者以及20例健康对照者。根据Child-Pugh分级标准将乙型肝炎肝硬化患者分为Child-Pugh A级组(n=24)、B级组(n=24)和C级组(n=20)。采集患者外周血,分离血清及外周血单个核细胞(PBMC),流式细胞术检测PBMC中膜结合型Sema4D(mSema4D)+CD4+T、mSema4D+CD8+T淋巴细胞的表达,酶联免疫吸附实验检测血清中可溶型Sema4D(sSema4D)的表达,分析其与病毒复制、肝脏炎症指标的相关性。符合正态分布的计量资料多组间比较用单因素方差分析,进一步两两比较采用LSD-t检验;非正态分布的计量资料多组间比较用Kruskal-Wallis H检验,进一步两两比较采用Mann-Whitney U检验;采用Spearman进行相关性分析。  结果  mSema4D+CD4+T、mSema4D+CD8+T淋巴细胞的表达在CHB组、乙型肝炎肝硬化组和对照组3组间比较差异均有统计学意义(F值分别为43.092、13.344, P值均<0.001),进一步两两比较差异均有统计学意义(P值均<0.05)。随着Child-Pugh分级的增加,mSema4D+CD4+T淋巴细胞、mSema4D+CD8+T淋巴细胞的表达水平逐渐降低(F值分别为14.093、17.154,P值均<0.05),进一步两两比较差异均有统计学意义(P值均<0.05)。对照组、CHB组、乙型肝炎肝硬化组sSema4D含量分别为1.54(1.42~1.71)ng/mL、1.08(1.07~1.38)ng/mL、4.87(2.13~14.97)ng/mL,3组间比较差异有统计学意义(H=32.366,P<0.001),进一步两两比较差异均有统计学意义(P值均<0.05)。Child-Pugh A级组、B级组、C级组sSema4D含量分别为2.42(0.59~5.65)ng/mL、4.92(2.75~12.73)ng/mL、14.18(4.59~18.43)ng/mL,3组间比较差异有统计学意义(H=11.889,P=0.003),进一步两两比较差异均有统计学意义(P值均<0.05)。sSema4D水平与乙型肝炎肝硬化患者的ALT、HBV DNA定量的表达水平均呈明显正相关(r值分别为0.294、0.430,P值均<0.05)。  结论  Sema4D在乙型肝炎肝硬化患者T淋巴细胞膜上低表达,在血清中高表达。sSema4D可能通过影响乙型肝炎肝硬化患者的ALT、HBV DNA水平,参与疾病的发生发展。
不同BavenoⅦ标准筛查进展期慢性肝病出现高风险食管胃静脉曲张的价值分析
郭春梅, 刘红, 王亚丹, 孟明明, 王沧海, 宿慧, 吴静
2023, 39(4): 818-825. DOI: 10.3969/j.issn.1001-5256.2023.04.012
摘要(798) HTML (364) PDF (2878KB)(77)
摘要:
  目的  评价Baveno Ⅶ标准用于筛查国内进展期慢性肝病患者出现高风险食管胃静脉曲张(HRV)的价值,并比较与Expanded Baveno Ⅶ标准的优劣。  方法  纳入2016年1月—2018年12月期间首都医科大学附属北京世纪坛医院收治的进展期慢性肝病患者146例,根据胃镜检查是否存在HRV分为HRV组(n=68)和对照组(n=78)。分析患者的临床资料、肝脏硬度值(LSM)和胃镜结果,评价不同的BavenoⅦ标准对于诊断HRV的敏感度和特异度。计量资料组间比较采用Mann-Whitney U检验和McNemar检验;计数资料组间比较采用χ2检验。对预测HRV的各变量进行单因素Logistic回归分析,对单因素分析P<0.1的变量进行多因素分析。比较两种Baveno Ⅶ标准诊断HRV的敏感度和特异度。  结果  入组患者中位年龄54(29~84)岁,男性占比65.8%,主要病因为HBV(n=115, 78.8%)。Logistic单因素回归分析显示,LSM、PLT计数与HRV有关(P值均<0.05);多因素分析显示,根据Baveno Ⅶ标准,LSM>20 kPa或PLT<150×109/L与HRV有关(P值均<0.05);根据Expanded Baveno Ⅶ标准,LSM>25 kPa或PLT<110×109/L与HRV有关(P值均<0.05)。LSM和PLT诊断HRV的受试者工作特征曲线下面积分别为0.797(95%CI: 0.723~0.859)和0.789(95%CI: 0.714~0.852)。符合与不符合Baveno Ⅶ标准患者的食管胃静脉曲张和HRV患病率比较差异有统计学意义(χ2值分别为23.14、23.14,P值均<0.001)。符合与不符合Expanded Baveno Ⅶ标准患者的食管胃静脉曲张和HRV患病率比较差异均有统计学意义(χ2值分别为43.51、25.71,P值均<0.001)。虽然Expanded Baveno Ⅶ标准可以豁免更多的胃镜检查(32.9% vs 13.7%),但BavenoⅦ标准敏感度更高(0.98 vs 0.88), NPV更高(0.95 vs 0.83), 且可更好地避免漏诊HRV(1.0% vs 9.3%)。  结论  Baveno Ⅶ标准更适用于筛查国内进展期肝病患者出现HRV。
脾体积对肝硬化门静脉高压性胃病及其严重程度的预测价值
张志强, 陈伟, 刘波
2023, 39(4): 826-833. DOI: 10.3969/j.issn.1001-5256.2023.04.013
摘要(901) HTML (307) PDF (2045KB)(96)
摘要:
  目的  探讨脾体积(SV)对肝硬化患者门静脉高压性胃病(PHG)及重度PHG的预测价值。  方法  回顾性分析2018年1月—2022年8月湖北医药学院附属襄阳市第一人民医院收治的168例肝硬化患者临床资料,以胃镜检查结果为“金标准”,将患者分为无PHG组(n=115)和PHG组(n=53),轻度PHG组(n=26)和重度PHG组(n=27),所有患者均行电子胃镜、腹部磁共振及相关血清学检查,获取相关指标及参数。正态分布的计量资料两组间比较采用成组t检验;非正态分布的计量资料两组间比较采用Mann-Whitney U检验。计数资料两组间比较采用χ2检验。通过多因素Logistic回归分析筛选出PHG、重度PHG的独立危险因素,利用受试者工作特征曲线(ROC曲线)比较相关指标或参数的预测价值。ROC曲线下面积的比较采用Delong检验。  结果  单因素分析显示:PHG组和非PHG组性别、有无腹水、Hb、PLT、AST、TBil、Alb、PT、INR、Child-Pugh分级、FIB-4评分、King评分、Lok评分、脾长径(SD)、SV、血小板/脾长径(PSDR)、血小板/脾体积(PSVR)比较,差异均有统计学意义(P值均<0.05);轻度PHG组和重度PHG组Hb、PLT、Alb、SD、SV、PSDR、PSVR比较,差异均有统计学意义(P值均<0.05)。多因素Logistic回归分析显示:FIB-4评分(OR=1.280,95%CI:1.009~1.625)和SV(OR=1.007,95%CI:1.001~1.013)是PHG发生的独立危险因素(P值均<0.05);SV(OR=0.990,95%CI:0.980~1.000)是重度PHG发生的独立影响因素(P<0.05)。ROC曲线分析结果显示:在预测PHG发生时,SV的曲线下面积为0.884, 高于FIB-4评分的0.825(P<0.05),其最佳临界值为406.82,敏感度为0.774,特异度为0.870;在预测重度PHG发生时,SV的曲线下面积为0.782,最佳临界值为714.63,敏感度为0.593,特异度为0.962。  结论  SV对PHG和重度PHG的发生均具有较好的预测价值。
论著_肝脏肿瘤
载药栓塞微球经肝动脉化疗栓塞术联合阿帕替尼治疗不可切除肝癌后二线追加卡瑞利珠单抗的安全性和有效性分析
张延藏, 王满周, 韩新巍, 段旭华, 任建庄, 李浩, 王文辉, 许文泽
2023, 39(4): 834-842. DOI: 10.3969/j.issn.1001-5256.2023.04.014
摘要(1080) HTML (555) PDF (2022KB)(92)
摘要:
  目的  分析在载药栓塞微球经肝动脉化疗栓塞术(DTACE)联合阿帕替尼治疗不可切除肝癌后,二线追加卡瑞利珠单抗的安全性和有效性。  方法  回顾性分析2019年12月—2020年12月于郑州大学第一附属医院就诊的89例二线追加卡瑞利珠单抗的肝癌患者资料。主要观察终点是使用卡瑞利珠单抗后总生存期(OS)和无进展生存期(PFS),次要终点包括客观缓解率(ORR)、疾病控制率(DCR)和治疗相关不良事件(TRAE)。采用Kaplan-Meier法估算生存曲线,基线特征亚组分层分析采用Log-rank检验进行比较,分析影响患者预后的相关因素。  结果  本研究共筛选并随访了89例患者。随访至2021年12月,中位随访时间为16个月,中位OS为17.0(95%CI:15.3~18.7)个月,中位PFS为7.0(95%CI:6.2~7.8)个月。不同ECOG-PS、肝功能Child-Pugh分级、门静脉侵犯、进展模式、DTACE次数、口服阿帕替尼时长和应用卡瑞利珠单抗时长的患者OS及PFS之间差异具有统计学意义(P值均<0.05)。应用卡瑞利珠单抗后3个月与6个月ORR分别为39.3%和22.4%,DCR分别为80.9%和54.1%。Log-rank检验单因素分析结果表明:DTACE次数为3~4、1~2比0次的患者显著改善中位OS [22.0 (95%CI:21.1~22.9)个月vs 17.0 (95%CI:15.8~18.2)个月vs 10.0 (95%CI:7.0~13.0)个月, χ2=31.423,P<0.001]与PFS [10.0 (95%CI:7.0~13.0)个月vs 7.0(95%CI:6.2~7.8)个月vs 3.0 (95%CI:1.9~4.1)个月, χ2=20.741,P<0.001]; 阿帕替尼应用时长>4个月比≤4个月的患者显著改善中位OS [21.0 (95%CI:19.1~22.9) 个月vs 14.0(95%CI:10.4~17.6)个月, χ2=19.399,P<0.001]与PFS [9.0 (95%CI:7.3~10.7)个月vs 5.0 (95%CI:4.0~6.0)个月, χ2=27.733,P<0.001]; 卡瑞利珠单抗应用时长>5个月比≤5个月的患者显著改善中位OS [22.0(95%CI:20.2~23.8)个月vs 13.0(95%CI:9.3~16.7)个月, χ2=22.336,P<0.001]与PFS [9.0 (95%CI:7.0~11.0)个月vs 5.0 (95%CI:4.1~5.9)个月, χ2=26.141,P<0.001]。DTACE术后不良事件为栓塞后综合征,给予对症处理后缓解。靶向药物和免疫治疗相关不良反应经对症支持治疗后均缓解,无4级及以上不良反应,无患者因TRAE而停用靶免治疗。  结论  DTACE联合阿帕替尼治疗不可切除肝癌进展后追加卡瑞利珠单抗疗效确切,TRAE总体安全可控。
甲胎蛋白应答评价索拉非尼联合卡瑞利珠单抗治疗晚期肝细胞癌的效果分析
王星, 张韬
2023, 39(4): 843-849. DOI: 10.3969/j.issn.1001-5256.2023.04.015
摘要(1031) HTML (202) PDF (2203KB)(73)
摘要:
  目的  探讨甲胎蛋白(AFP)应答在索拉非尼联合卡瑞利珠单抗治疗晚期肝细胞癌中的临床疗效及安全性。  方法  选取2020年9月—2022年2月于新疆医科大学第一附属医院接受索拉非尼联合卡瑞利珠单抗治疗的48例晚期肝细胞癌患者的临床资料,按照治疗后AFP应答水平进行分组:应答组(治疗6~8个月时,与基础AFP比较,AFP下降率>20%,n=32);无应答组(治疗6~8个月时,与基础AFP比较,AFP下降率≤20%, n=16)。计量资料组间比较采用Mann-Whitney U检验;计数资料组间比较采用χ2检验。绘制生存曲线,行Cox单因素/多因素回归分析得到与OS相关的独立危险因素。比较两组患者无进展生存时间、总生存期与治疗效果。  结果  两组患者中均未观察到达到临床缓解的病例。AFP应答组的客观有效率(21.88% vs 0)和疾病控制率(84.38% vs 43.75%) 均高于无应答组(χ2值分别为2.530、6.668,P值分别为0.112、0.010)。应答组无进展生存期(9.9个月)、总生存期(13.8个月)均高于无应答组(6.8个月、11.1个月)。AFP早期无应答(HR=2.624,95%CI:1.097~6.277,P=0.030)及肝外转移(HR=0.392,95%CI:0.157~0.978,P=0.045)与较短的无进展生存期独立相关。未出现因不良反应导致停药事件的发生。  结论  AFP早期应答在预测索拉非尼联合卡瑞利珠单抗治疗晚期肝细胞癌患者疗效及预后方面具有较高的临床价值。
论著_其他肝病
恶性肿瘤相关肝脓肿患者的临床特征分析
张谷芬, 姚娜, 毕铭辕, 张野, 康文, 连建奇, 王临旭, 汪春付
2023, 39(4): 850-855. DOI: 10.3969/j.issn.1001-5256.2023.04.016
摘要(772) HTML (387) PDF (1784KB)(68)
摘要:
  目的  对恶性肿瘤相关肝脓肿的临床特点进行分析和总结,早期判断病情进展,及时有效治疗。  方法  回顾性分析2005年3月—2018年7月空军军医大学第二附属医院收治的371例肝脓肿患者的临床资料。其中34例恶性肿瘤相关肝脓肿患者作为肿瘤组,按照约1∶2比例、时间匹配的原则,随机选择非恶性肿瘤相关肝脓肿患者(n=70)作为非肿瘤组,将两组的临床特点进行比较。正态分布的计量资料两组间比较采用成组t检验;非正态分布的计量资料两组间比较采用Mann-Whitney U检验;计数资料两组间比较采用χ2检验或Fisher检验。  结果  肿瘤组中肝胆系统肿瘤22例(64.7%),胃肠道肿瘤7例(20.6%),非消化道肿瘤5例(14.7%)。肿瘤组合并腹部手术史及肝硬化比例(44.1%、26.5%)高于较非肿瘤组(7.1%、7.1%)(χ2值分别为20.142、7.338,P值均<0.05);入院急性生理与慢性健康评分>16分患者比例高于非肿瘤组(44.1% vs 15.7%, χ2=9.846,P=0.002)。肿瘤组白蛋白低于非肿瘤组[(27.2±5.2) g/L vs (30.8±2.6) g/L, t=-3.131,P=0.002],而总胆红素显著高于非肿瘤组[54(13~313) μmol/L vs 33(7~96) μmol/L, U=1 816.0,P<0.001]。肿瘤组以大肠埃希菌为主(23.5%),非肿瘤组以肺炎克雷伯菌为主(27.1%),前者两种以上细菌感染更为多见(11.8% vs 2.8%)。影像学提示肿瘤组多发脓肿更为多见(47.1% vs 24.3%,χ2=5.479,P=0.019)。与非肿瘤组相比,肿瘤组平均住院天数长(U=1 728.5,P<0.001)、治疗失败率高(P=0.005)。  结论  恶性肿瘤相关肝脓肿多合并肝胆肿瘤,致病菌以大肠埃希菌为主,多部位脓肿较常见,预后较差。临床应选择合适抗生素,联合穿刺引流,针对高危人群,必要时可降低手术干预门槛,降低病死率。
远隔缺血预处理联合控制性低中心静脉压在肝切除术中的应用
高苑淞, 杨柳, 吴悠, 张娜, 田春
2023, 39(4): 856-863. DOI: 10.3969/j.issn.1001-5256.2023.04.017
摘要(1134) HTML (267) PDF (2448KB)(71)
摘要:
  目的  评价远隔缺血预处理(RIPC) 联合控制性低中心静脉压(CLCVP)在肝切除术中的应用效果。  方法  选取2021年5月—2022年4月择期在重庆医科大学附属永川医院行部分肝切除术患者80例,采用随机数表法分成对照组(C组)、CLCVP组(L组)、RIPC组(R组)、RIPC联合CLCVP组(RL组),每组20例。L组接受CLCVP干预,R组接受RIPC干预,RL组同时接受CLCVP和RIPC干预。比较患者术前第1天(D0)、术后第1天(D1)、术后第3天(D3)、术后第5天(D5)、术后第7天(D7) TNFα、ALT、AST、TBil和患者围术期一般情况。正态分布的计量资料组间比较采用单因素方差分析或重复测量方差分析,偏态分布的计量资料组间比较采用Kruskal-Wallis H检验;计数资料组间比较采用χ2检验。  结果  RL组患者手术持续时间(H=14.278, P=0.015)、总输液量(H=24.175, P=0.001)、出血估计量(H=45.625, P<0.001)均低于R组。分组和时间因素对四组患者TNFα、ALT、AST均具有显著交互作用(P值分别为<0.001、0.010、0.012)。RL组患者D1的TNFα均低于L组(P值均<0.001)。RL组患者D1(P=0.008)、D7(P<0.001)ALT水平均低于L组。  结论  RIPC联合CLCVP技术能够有效减少肝切除术患者术中出血量,提供清晰手术视野和缩短手术时间;同时还能通过降低患者TNFα,抑制机体炎症反应,但不能有效减轻CLCVP技术下肝切除术后的肝缺血-再灌注损伤。
淤胆通方对α-萘异硫氰酸酯诱导的胆汁淤积小鼠肠道菌群和肠道屏障功能的影响
吴晓明, 何强, 侯林毅, 胡艳, 甄小芳, 郝静, 盛燕
2023, 39(4): 864-875. DOI: 10.3969/j.issn.1001-5256.2023.04.018
摘要(1117) HTML (225) PDF (9148KB)(87)
摘要:
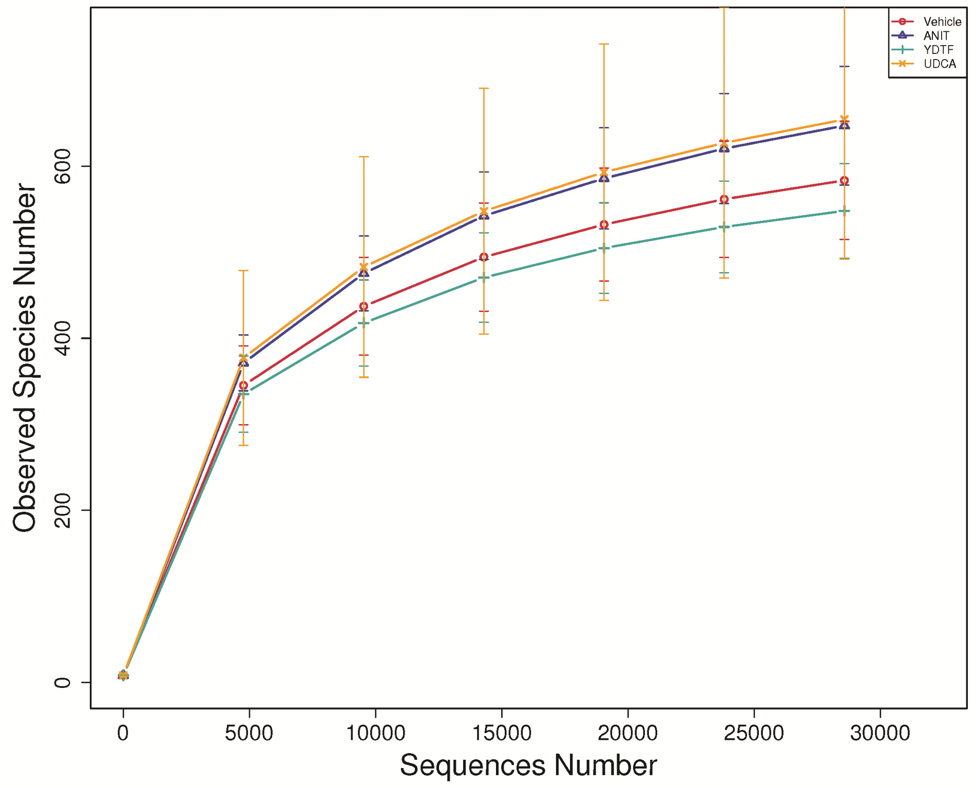
  目的  观察淤胆通方对α-萘异硫氰酸酯(ANIT)诱导的胆汁淤积小鼠的治疗作用,并基于肠道菌群和肠道屏障功能探讨其作用靶点和机制。  方法  将24只C57BL/6小鼠随机分为对照组、模型组、淤胆通方组、熊去氧胆酸(UDCA)组,每组6只。模型组、淤胆通方组、UDCA组小鼠分别于第1天、第4天、第7天、第10天、第13天予ANIT 35 mg·kg-1·d-1灌胃,淤胆通方组、UDCA组小鼠每天分别予淤胆通方、UDCA灌胃,连续15 d,第16天取材。观察肝脏组织病理学,检测肝功能指标;免疫组化法检测肝caspase-1、IL-1β、FXR的蛋白表达,流式细胞术检测肝脏CD11b+、CD86+、CD45+免疫细胞的比例;对粪便微生物进行16S rDNA测序及信息分析;免疫组化法检测肠FXR/NLRP3通路的蛋白表达,免疫荧光法检测肠E-cadherin、Occludin的蛋白表达。当计量资料满足方差齐性,多组间比较采用单因素方差分析,进一步两两比较采用LSD-t检验;当资料不满足方差齐性,采用Welch检验,进一步两两比较采用Games-Howell检验。  结果  HE染色显示,模型组小鼠的部分肝细胞脂肪变性,肝小叶内肝细胞大面积坏死,肝小叶结构破坏,伴有大量炎性细胞浸润,淤胆通方组和UDCA组小鼠的肝细胞脂肪变性减轻,肝小叶内肝细胞坏死不明显,炎性细胞减少;模型组小鼠的血清ALT、AST、GGT、ALP、TBil、DBil、TBA水平较对照组明显升高(P值均<0.05);与模型组相比,淤胆通方组的血清ALT、AST、GGT、ALP、TBil、DBil、TBA水平显著降低(P值均<0.05),UDCA组的血清GGT、TBil、DBil、TBA水平显著下降(P值均<0.05)。与对照组比较,模型组肝脏caspase-1、IL-1β水平明显升高、肝FXR的表达明显下降(P值均<0.05),与模型组比较,淤胆通方组肝脏caspase-1、IL-1β水平及UDCA组肝脏IL-1β水平显著下降,淤胆通方组和UDCA组的肝FXR表达水平显著升高(P值均<0.05)。模型组的肠道菌群组成较对照组发生显著变化(P<0.05);淤胆通方组的肠道菌群结构与模型组存在统计学差异(P<0.05);UDCA组肠道菌群构成与对照组、模型组均有统计学差异(P值均<0.05);相对于对照组,模型组的肠道嗜黏蛋白阿克曼菌丰度明显升高,约氏乳杆菌丰度明显下降(P值均<0.05);与模型组比较,淤胆通方组、UDCA组嗜黏蛋白阿克曼菌的丰度均显著下降,淤胆通方组的鼠乳杆菌、UDCA组的鼠乳杆菌和假长双歧杆菌的丰度均明显升高(P值均<0.05)。与对照组比较,模型组的肠FXR蛋白表达明显降低,肠NLRP3蛋白表达明显升高,肠E-cadherin和Occludin表达均明显下降(P值均<0.05);与模型组相比,淤胆通方组和UDCA组的肠FXR表达显著上调,肠NLRP3表达显著下降,肠E-cadherin和Occludin的蛋白表达均显著升高(P值均<0.05)。  结论  淤胆通方可减轻ANIT诱导的胆汁淤积小鼠的肝损伤,改善肠道菌群和增强肠壁屏障功能可能是其作用靶点和机制之一。
多房棘球蚴源性外泌体对巨噬细胞极化的影响
冶赓博, 陈功富, 崔紫烟, 吴俊杰, 黄登亮, 尹凤娇, 王志鑫, 于文昊, 孔繁玉, 樊海宁, 任利
2023, 39(4): 876-884. DOI: 10.3969/j.issn.1001-5256.2023.04.019
摘要(952) HTML (329) PDF (5713KB)(85)
摘要:
  目的  探究不同时间及浓度多房棘球蚴源性外泌体对巨噬细胞极化的影响。  方法  从60只造模BALB/c小鼠中随机选取4只,应用7.0T MRI观察腹腔病灶生长情况;解剖造模小鼠,通过腹腔病灶提取原头节进行体外培养,超速离心法从培养上清中提取外泌体,透射电镜及蛋白质免疫印迹法鉴定外泌体表征。将未加外泌体处理的巨噬细胞单独培养组设为对照组,不同浓度多房棘球蚴来源外泌体与巨噬细胞共培养组设为实验组(10 μg/mL组、50 μg/mL组),分别共培养48 h和72 h,显微镜下观察巨噬细胞形态变化。通过流式细胞术和酶联免疫吸附实验(ELISA)检测极化状态。符合正态分布的计量资料多组间比较采用单因素方差分析,进一步两两比较采用LSD-t检验。  结果  7.0T MRI显示小鼠腹腔内弥漫分布、大小不等的病灶形成;多房棘球蚴源性外泌体直径100 nm左右,呈杯型或茶托型,其表面标志物CD9、TSG101和CD63表达阳性。共培养后,实验组大部分细胞拉长,形态不规则,主要呈多角形;流式细胞术检测发现,共培养48 h,对照组CD16/32、CD206、CD369阳性率分别为(99.53±0.06)%、(90.27±0.21)%、(2.40±0.20)%;与对照组相比,除10 μg/mL外泌体组CD369阳性率[(0.80±0.00)%]降低(P<0.05),其余组别CD16/32、CD206、CD369阳性率均明显升高(P值均<0.000 1);共培养72 h,对照组CD16/32、CD206、CD369阳性率分别为(99.67±0.06)%、(85.47±0.55)%、(6.60±0.20)%,实验组CD16/32、CD206、CD369阳性率较对照组均明显升高(P值均<0.05)。ELISA结果示:共培养48 h,对照组IL-6及TNFα水平分别为(58.53±15.52) pg/mL、(320.70±5.30)pg/mL,实验组外泌体浓度为50 μg/mL时IL-6[(98.81±15.55) pg/mL]较对照组升高(P<0.05);共培养72 h,对照组IL-6及TNFα水平分别为(76.22±9.68)pg/mL、(323.90±87.37)pg/mL,当外泌体浓度为10 μg/mL时TNFα水平[(164.20±14.17)pg/mL]较对照组明显下降(P<0.05);当外泌体浓度为50 μg/mL时IL-6水平[(99.52±8.35)pg/mL]较对照组升高(P<0.05)。  结论  多房棘球蚴源性外泌体可调控巨噬细胞极化,且在浓度为10 μg/mL,共培养72 h后,可导致巨噬细胞M2样极化,具体方式有待进一步研究。
论著_胆道疾病
吲哚菁绿荧光导航在老年急性胆囊炎患者经皮经肝胆囊穿刺引流术后腹腔镜胆囊切除术中的应用
李昌旭, 李学民, 梁占强, 段希斌, 杨鹏生
2023, 39(4): 885-891. DOI: 10.3969/j.issn.1001-5256.2023.04.020
摘要(1120) HTML (222) PDF (2950KB)(69)
摘要:
  目的  探讨吲哚菁绿(ICG)荧光导航在老年急性胆囊炎患者经皮经肝胆囊穿刺引流(PTGBD)术后腹腔镜胆囊切除术(LC)中的临床应用价值。  方法  回顾性收集2021年6月—2022年2月郑州大学附属郑州中心医院老年急性胆囊炎患者PTGBD后行LC的围术期临床资料,术中行ICG荧光导航的患者纳入实验组(n=36),同期未行ICG荧光导航的患者纳入对照组(n=26)。分析两组患者的术前一般资料,术中明确胆道系统时间、手术时间、术中出血、胆道损伤、中转开腹,术后排气时间、下床活动时间、拔除腹腔引流管时间、恢复正常饮食时间及术后住院时间。计量资料两组间比较采用成组t检验或Mann-Whitney U检验,计数资料组间比较采用χ2检验。  结果  实验组患者术中明确胆道系统时间[(19.9±3.7) min vs (36.5±5.9)min]、手术时间[(50.6±8.5) min vs (80.9±10.6)min]、术中出血量均少于对照组(t值分别为13.56、12.48,χ2=6.91,P值均<0.05)。实验组无中转开腹病例,对照组2例中转开腹,两组患者均无胆道损伤。实验组患者术后下床活动时间[(10.2±2.4) h vs (16.6±3.2)h]、拔除引流管时间[(20.1±3.4) h vs (30.7±4.7)h]、恢复正常饮食时间[(20.3±3.8) h vs (31.2±6.0)h]、术后住院时间[3.3(3.0~4.3)d vs 5.3(5.0~6.2)d]均少于对照组(t值分别为8.92、10.20、8.68,Z=5.91,P值均<0.05)。  结论  ICG荧光导航在老年急性胆囊炎患者PTGBD后LC中使肝外胆道系统可视化,从而有利于精准操作,降低手术风险、缩短手术时间、加快患者术后康复。
病例报告
ATP7B p.Ser1369Tyrfs*24突变致肝豆状核变性1例报告
刘玉婷, 唐志慧, 宾琼
2023, 39(4): 892-895. DOI: 10.3969/j.issn.1001-5256.2023.04.021
摘要(840) HTML (242) PDF (2373KB)(73)
摘要:
LPL基因变异导致的婴儿家族性高乳糜微粒血症合并肾脏错构瘤1例报告
陈欣涛, 方微园, 龚晓妍, 林琼, 陆怡
2023, 39(4): 896-900. DOI: 10.3969/j.issn.1001-5256.2023.04.022
摘要(873) HTML (370) PDF (2214KB)(56)
摘要:
胆囊原发性透明细胞癌1例报告
刘永硕, 夏俊杰, 沈兴艳, 王艳龙, 孙象军
2023, 39(4): 901-903. DOI: 10.3969/j.issn.1001-5256.2023.04.023
摘要(656) HTML (301) PDF (1992KB)(70)
摘要:
胆囊十二指肠瘘伴胆石性肠梗阻合并结肠癌1例报告
李文波, 李良, 姜友, 张军, 鲁俊
2023, 39(4): 904-908. DOI: 10.3969/j.issn.1001-5256.2023.04.024
摘要(1004) HTML (232) PDF (2744KB)(66)
摘要:
综述
白色脂肪棕色化对非酒精性脂肪性肝病的影响
赵晨露, 周铖, 尚东方, 刘素彤, 石俊豪, 王晓杰, 赵文霞
2023, 39(4): 909-914. DOI: 10.3969/j.issn.1001-5256.2023.04.025
摘要(1128) HTML (261) PDF (1786KB)(98)
摘要:
非酒精性脂肪性肝病(NAFLD)是由于脂肪代谢功能异常而出现大量脂肪类物质在肝细胞中蓄积的慢性肝病。常规的抗炎降酶治疗效果不佳,恢复人体脂类物质的正常生物合成与代谢是NAFLD的治疗关键。棕色脂肪已被证明可通过增强机体胰岛素敏感性、调节脂质代谢而改善代谢相关性疾病,促进人体白色脂肪棕色化治疗NAFLD受到了医学界的广泛关注。本文重点综述了白色脂肪棕色化改善NAFLD的作用机制,总结了促进白色脂肪棕色化的肝因子,为NAFLD的临床治疗提供新思路。
自身免疫性肝炎的药物治疗进展
杨秀英, 党小红, 姜洋
2023, 39(4): 915-921. DOI: 10.3969/j.issn.1001-5256.2023.04.026
摘要(1658) HTML (426) PDF (1801KB)(140)
摘要:
自身免疫性肝炎是一种免疫介导的慢性炎症性肝病,目前标准治疗对大多数患者有效,对标准治疗应答不佳或不能耐受药物副作用的患者可以选择二线或三线药物治疗。随着对发病机制的深入探索,新型的治疗方法正在试验中。本文对目前自身免疫性肝炎的药物治疗研究进展作一综述。
肝纤维化治疗的新视角:靶向巨噬细胞代谢
许钧, 金卫林, 李汛
2023, 39(4): 922-928. DOI: 10.3969/j.issn.1001-5256.2023.04.027
摘要(2138) HTML (974) PDF (2010KB)(411)
摘要:
肝纤维化是由多种病因引起的细胞外基质过度累积,导致纤维瘢痕形成的病理过程。目前,病因治疗(如有效的抗病毒治疗)仍是肝纤维化的主要治疗策略。肝巨噬细胞作为肝纤维化的核心参与者,影响肝纤维化的进展与消退,被认为是肝纤维化治疗的重要靶点。近年来,随着免疫代谢领域的进展,代谢重编程已成为决定巨噬细胞结局和推动疾病发展的关键因素。本文综述了肝纤维化过程中巨噬细胞的作用及其代谢变化,并讨论靶向巨噬细胞代谢的抗纤维化潜力,为肝纤维化的发生、发展和治疗提供新的思路
肝硬化合并骨质疏松症的危险因素、发病机制及治疗进展
金秋, 杨婧, 马红琳, 刘清清, 李苹菊, 胡绍山
2023, 39(4): 929-935. DOI: 10.3969/j.issn.1001-5256.2023.04.028
摘要(1547) HTML (454) PDF (2227KB)(102)
摘要:
骨质疏松症是肝硬化常见的肝外并发症,合并骨质疏松不仅增加患者经济负担而且给患者的生活质量和预后带来不良影响。近年研究发现肌肉减少症、脂联素、瘦素、鸢尾素和炎症因子等参与了肝硬化骨质疏松的发生,常用的抗骨质疏松药物有钙剂、维生素D和双膦酸盐等。本文总结了肝硬化合并骨质疏松的危险因素、发病机制和治疗的研究进展,指出部分因子对骨质疏松的影响尚存争议,仍需进一步探究相关发病机制以及探索更多安全有效的治疗方案。
超声内镜引导门静脉压力梯度测量的应用前景
杜恒, 陈拥军, 姚勇
2023, 39(4): 936-940. DOI: 10.3969/j.issn.1001-5256.2023.04.029
摘要(1356) HTML (204) PDF (2038KB)(102)
摘要:
门静脉压力测量对门静脉高压的诊断及病情评估有着十分重要的作用,目前尚无统一的方法用于门静脉压力的评估。随着超声内镜在消化系统疾病中的广泛运用,超声内镜引导门静脉压力梯度(EUS-PPG)测量被2021年BavenoⅦ会议纳入了研究议程,从而得到了广大学者的普遍关注。本文从门静脉压力测量技术的概述、EUS-PPG测量技术的发展和国内外常用的两种EUS-PPG测量方法,系统地阐述了EUS-PPG测量技术的运用前景。全球多项研究分析表明,EUS-PPG测量技术具有直接、微创、简单、准确、无辐射等优点,临床的可操作性较强,是门静脉压力测量方法的重要补充,并可能逐渐成为门静脉测压的主要方法之一。
免疫检查点抑制剂在肝细胞癌肝移植中的应用
解有成, 陈顺, 李初谊, 郑英, 贾栋, 张久聪, 于晓辉
2023, 39(4): 941-947. DOI: 10.3969/j.issn.1001-5256.2023.04.030
摘要(1434) HTML (371) PDF (2045KB)(82)
摘要:
肝移植作为肝细胞癌的根治性治疗策略之一,对米兰标准之内的患者有较好的临床效果。然而,术后高的复发率、转移率使得患者长期生存仍然面临挑战。因此,如何提高远期生存率,降低术后肿瘤转移成为亟待解决的关键难题。近年来,免疫检查点抑制剂(ICI)以其良好的安全性和客观反应性为晚期肝癌患者治疗提供了新的机遇,也成为了提高肝移植治疗效果的潜在方法。当前,早期临床研究已经报道了ICI单一及联合治疗在肝细胞癌肝移植术前降期或桥接治疗以及术后辅助治疗中的独特优势。本文旨在通过对近年来ICI在肝细胞癌肝移植中的临床试验及应用进展进行综述,并对其安全性和有效性进行探讨,以期为临床用药提供一定参考。
新兴免疫阻断分子在肝细胞癌发生发展中的作用
陶莹, 廖长秀
2023, 39(4): 948-955. DOI: 10.3969/j.issn.1001-5256.2023.04.031
摘要(949) HTML (513) PDF (2476KB)(82)
摘要:
肝细胞癌(HCC)是世界范围内最常见的恶性肿瘤之一。程序性死亡受体1及其配体和细胞毒T淋巴细胞相关蛋白4等免疫检查点抑制剂的面世为HCC的治疗带来了重大突破。但由于HCC为高异质性肿瘤,单药治疗仅对少部分患者有效且可能因耐药而无法持久获益,因此仍需探索新的免疫检查点抑制剂在HCC防治中的潜力。本文分析和归纳了新型免疫检查点T淋巴细胞免疫球蛋白和免疫受体酪氨酸抑制基序结构域(TIGIT)、T淋巴细胞激活抑制物免疫球蛋白可变区结构域(VISTA)、B和T淋巴细胞弱化因子(BTLA)及含V-set域T淋巴细胞激活抑制因子(B7-H4)的生物学特性以及在HCC癌组织中的表达与功能。分析表明TIGIT、VISTA、BTLA和B7-H4在HCC癌组织中高表达,与HCC患者预后差相关,靶向阻断相应通路可有效抑制HCC进展,是极具潜力的肿瘤治疗靶点,深入研究可为HCC免疫治疗提供新方向。
p53信号通路调控铁死亡在肝细胞癌中的作用机制
李震, 刘江凯
2023, 39(4): 956-960. DOI: 10.3969/j.issn.1001-5256.2023.04.032
摘要(1521) HTML (659) PDF (1770KB)(99)
摘要:
肝细胞癌(HCC)在我国是最常见的肝癌类型,其发生发展是一个复杂的病理过程。铁死亡作为一种新的细胞死亡方式,在治疗HCC方面有巨大的潜在作用。本文介绍了抑癌因子p53在调控铁死亡中的作用机制,简述其在HCC发生、发展中的作用。抑癌因子p53可以通过影响溶质载体家族7成员11、亚精胺/精胺N1-乙酰转移酶1、谷氨酰胺酶2、二肽基肽酶4和细胞周期蛋白依赖性激酶抑制剂1A来促进或抑制铁死亡,进而影响HCC的进展,通过调控铁死亡通路治疗HCC具有很大的应用前景。
非编码RNA对肝细胞癌肿瘤微环境中免疫细胞的作用
杨超然, 李思柔, 刘源, 侯志远, 王元, 杨季红
2023, 39(4): 961-967. DOI: 10.3969/j.issn.1001-5256.2023.04.033
摘要(1017) HTML (299) PDF (1794KB)(76)
摘要:
肝细胞癌(HCC)是一种常见的肝脏恶性肿瘤,具有发病率高、进展快、预后差等特点。近年来发现,非编码RNA(ncRNA)在肿瘤微环境(TME)中参与肿瘤免疫的调节,进而影响HCC的生物学行为。本文简述了ncRNA对TME中免疫细胞的调控作用,并介绍了ncRNA在HCC诊断和治疗中的潜在价值,以期为HCC提供潜在的诊断和治疗策略。
药物性肝损伤发生机制、危险因素、监测以及再用药的研究进展
刘茹佳, 辛小娟
2023, 39(4): 968-973. DOI: 10.3969/j.issn.1001-5256.2023.04.034
摘要(1385) HTML (625) PDF (1776KB)(229)
摘要:
随着大量新药的审批上市,药物性肝损伤(DILI)发病率逐年升高,并可能影响患者原发病治疗。DILI作为药物不良反应不可能被完全消灭,临床目标是通过预防和控制将其影响降至最低。本文综述了DILI的危险因素和DILI监测以及再用药的相关研究进展。研究表明,某些因素在特定条件下可增加DILI的发生风险。通过早期识别DILI的危险因素,合理监测,注意再用药的时机和方法,能够减少DILI的发生或进展,改善患者预后。
Crigler-Najjar综合征的治疗进展
张文艳, 邓国宏
2023, 39(4): 974-979. DOI: 10.3969/j.issn.1001-5256.2023.04.035
摘要(1565) HTML (339) PDF (1785KB)(139)
摘要:
Crigler-Najjar综合征(CNS)是一种因胆红素尿苷二磷酸葡萄糖醛酸转移酶1A1(UGT1A1)活性降低或完全缺失所导致的血浆中非结合胆红素含量增加的常染色体隐性遗传病,分为CNS Ⅰ型和Ⅱ型。其中CNS Ⅰ型最为严重,可发展为核黄疸损坏大脑神经系统,甚至威胁到患者的生命。本文介绍了6种CNS治疗方法,包括光照疗法、血浆置换、药物治疗、肝移植、肝细胞移植和基因疗法;归纳了每种治疗技术的适用患者类型、治疗效果以及现存的不足之处。光照疗法、血浆置换、药物治疗和肝细胞移植治疗技术可暂时性地控制患者血清水平,降低患者发生核黄疸的风险,但不能彻底恢复UGT1A1酶活性;肝移植是CNS Ⅰ型患者目前唯一的治疗方式,但因合适肝脏供体来源和术后免疫排斥反应等因素受到限制;基因疗法在治疗CNS等遗传性疾病领域中最具应用前景,能够为CNS患者提供更多的可行性治疗方案。
肝脏疾病中内质网应激与铁死亡的关系
叶露, 李秀芹, 王建青
2023, 39(4): 980-985. DOI: 10.3969/j.issn.1001-5256.2023.04.036
摘要(1626) HTML (863) PDF (2468KB)(149)
摘要:
肝脏疾病的发病机制研究一直广受关注。内质网应激(ERS)是细胞的一种自我保护机制,但持续、严重的应激可诱导凋亡、自噬和铁死亡。其中,铁死亡作为近年研究热点,主要特征为铁依赖性脂质过氧化物的积累,在肝脏疾病的发生发展中发挥着关键作用,但目前关于肝脏疾病中ERS参与铁死亡的相关研究尚少。本文归纳了ERS相关信号通路和铁死亡的发生机制及其在肝脏疾病中的研究进展,为肝病治疗研究提供更多方向。
肝样细胞的体外诱导及小分子化合物在肝样细胞诱导中的应用
唐薇, 王冬梅
2023, 39(4): 986-992. DOI: 10.3969/j.issn.1001-5256.2023.04.037
摘要(924) HTML (610) PDF (1796KB)(78)
摘要:
体外诱导肝样细胞(HLC)是获取大量具有应用价值的肝细胞的有效途径之一,这些HLC可以用于构建疾病模型、药物设计和药物毒理学评价等。目前,HLC的体外诱导主要通过引入外源转录因子、细胞因子或小分子化合物组合的处理。小分子化合物因其结构多样性、时间和剂量的可控性及操作上的便利和安全等优势,让科学家们致力于筛选小分子化合物来取代外源转录因子和细胞因子,其在再生医学领域的应用前景广阔。本文主要对体外诱导多能干细胞及其他成体细胞分化成HLC的研究进行概述,并总结了小分子化合物在体外诱导HLC中的应用,以期为HLC的体外诱导研究提供思路和借鉴。
读者·作者·编者
《临床肝胆病杂志》关于部分类型论文的收录要求
2023, 39(4): 875-875.
摘要(264) HTML (229) PDF (762KB)(51)
摘要:
消息
《临床肝胆病杂志》 2023年1-11期重点号选题及各期执行主编
2023, 39(4): 940-940.
摘要(329) HTML (232) PDF (762KB)(47)
摘要:
致谢
本期审稿专家
2023, 39(4): 935-935. DOI: 10.3969/j.issn.1001-5256.2023.4.zhixie1
摘要(340) HTML (128) PDF (758KB)(43)
摘要: