肝病晚期患者的肝性脑病( HE)代表着不良预后。有益菌种能在非产脲酶生物存在的情况下改变肠道菌群,减少氨的产生。近日发表在《Clin Gastroenterol Hepatol》的一项研究评估了有益菌种对HE初级预防的疗效。具体内容:Clin Gastroenterol Hepatol 2013 Nov 15.

研究流程图
研究方法
研究者在印度新德里的一家三级医疗机构进行了该项前瞻性试验,研究对象是2012年1月-2013年3月的无明显HE的肝硬化患者( 48.6 ± 11.1 岁,96例男性,64例女性),25例为儿童特科特Pugh分级( CTP ) A类, 51例为B类, 84 例为C类。受试者随机给予有益菌种( 1×108 CFU ,3次/日,N=86,轻微HE42例 )或对照组(N=74 ;轻微HE 33例 ) 。所有受试者进行心理分析,临界闪烁融合值( CFF )阈值评估,葡萄糖氢呼气检测,以确定小肠细菌过度生长( SIBO )和乳果糖氢呼气试验( LHBT )来衡量ORO -盲肠转运时间( OCTT ) 。主要终点指标是出现明显的HE。

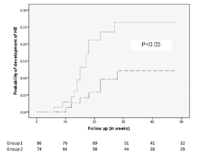
Figure 2 - Probability of developing hepatic encephalopathy in patients receiving probiotics (dotted line) and control group (continuous line)
研究结果
基线时,各组受试者的CTP 、终末期肝病类型、 CFF、心理肝性脑病评分和OCTT类似 。给予有益菌种患者平均随访38.6 ± 8.80周,对照组患者平均随访40.3 ±9.8周。有益菌种组6例患者,对照组7例患者死亡(P = 0.81 ) 。与基线相比,三个月有益菌种治疗可显著降低动脉氨,SIBO和OCTT水平;增加心理肝性脑病评分( PHES ) 以及CFF阈值。有益菌种组7例,对照组14例患者分别出现明显HE(P <0.05;对照与有益菌种组风险比2.1 ,95 %可信区间为1.31-6.53 ) 。PHES 、CTP评分和SIBO与明显HE进展相关。
结论
研究显示,有益菌种可有效预防肝硬化患者出现HE。










