慢性乙肝病毒(HBV)感染是肝脏疾病进展的关键因素,可以导致肝功能不全、肝硬化和肝细胞癌。抗病毒治疗旨在抑制或消除HBV复制,减少肝炎活动,从而减少或减缓肝脏疾病的进展。
核苷(酸)类似物(Nucs)可快速抑制HBV复制,使血清转氨酶正常化,恢复肝功能,从而延长肝功能失代偿患者的生存周期。长期核苷(酸)类似物治疗可改善肝组织学,逆转肝纤维化,减少疾病进展。
近期,《World journal of Gatraoenterology》杂志发表了我国南京医科大学附属第一医院研究人员撰写的一篇综述,该综述主要阐述了HBV诱导肝癌的机制,并讨论了抗HBV的治疗趋势,及其预防肝癌发生和复发的作用。文献阅读:World J Gastroenterol 2013 Dec 21;19(47):8895-8901.
该综述从两个不同方面描述了慢性HBV感染引起肿瘤发生的机制:通过HBV DNA HBx蛋白直接诱导宿主DNA不稳定,以及HBV感染相关的肝脏炎症和免疫调节失衡。此外,还简要介绍了当前对HBV感染的治疗方法,同时表明,在慢性 HBV感染中及时使用核苷(酸)类似物和免疫调节剂,可以防止包括肝癌在内的疾病进一步恶化。
本文主要节选综述中抗病毒药物对乙肝相关肝癌形成和复发的作用编译如下,以飨读者。
抗病毒药物治疗现状
过去十年中,抗HBV治疗得到显著改善。目前治疗慢性HBV感染是基于两种不同的策略:(1) IFN-α或者胸腺素-A1(T- A1),旨在诱导产生持续的抗病毒反应。(2)口服抗乙肝病毒的核苷(酸)类似物,实现对HBV复制的长期完全抑制。
第一种策略通常在轻度肝病患者中使用,这些患者谷丙转氨酶(ALT)很高,HBV DNA复制率不高。这种治疗在年轻患者和那些感染HBV基因型A或B的患者中特别成功。
T-a1是一种免疫调节剂,它可以触发淋巴细胞和T细胞功能的成熟,并促进免疫缺陷重建和HBV复制相关疾病的缓解。在乙肝患者e抗原(HBeAg)阳性的慢性B型肝炎中终止病毒复制,且无显著副作用。
此外,对于HBeAg阳性的慢性乙型肝炎患者,使用聚乙二醇化干扰素(PEG IFN-α2a)的疗效比拉米夫定更好,主要体现在HBeAg血清转换、HBV DNA抑制和B型肝炎表面抗原(HBsAg)的血清转化。
总体而言,PEG IFN-α是HBeAg阴性的慢性乙肝患者的一种理想治疗选择。由于其安全性和抗病毒活性的机制独特,从而可产生长期持久的免疫控制。
对于高HBV DNA水平的患者,以及伴随有严重肝脏疾病、干扰素治疗失败或不能耐受的患者,一般主要使用核苷(酸)类似物进行治疗。
这一疗法主要的限制性在于耐药性的产生:如拉米夫定( L-核苷)治疗5年后,76%的患者出现耐药。替比夫定(另一种L-核苷)略强于拉米夫定,治疗2年后,HBeAg阳性患者耐药率为25%, HBeAg阴性患者耐药率为11%。
阿德福韦是一种无环膦酸盐,抗病毒能力相对较弱,但对拉米夫定和替比夫定耐药性突变的病毒有效。使用的方式应为联合用药,而非取代。阿德福韦耐药发展相对缓慢,在HBeAg阴性的患者中使用阿德福韦5年后,耐药性上升到29%。但单独使用时耐药突变产生更快。
目前两个一线Nucs药物分别是恩替卡韦和替诺福韦。恩替卡韦是非常有效的抗病毒药物,5年后94%的患者HBV DNA降低到检测线以下,而耐药性只有1.2%。
替诺福韦抗病毒活性更强大,且与阿德福韦相比肾毒性较小。它可单独使用,且对拉米夫定耐药突变有效。使用替诺福韦3年或更长的时间不产生耐药性。
总之, 对于HBeAg阳性的慢性乙肝患者,PEG IFN-α提供了优越的疗效,有较好的HBeAg血清转换、HBV DNA抑制和HBsAg血清学转换。新的治疗方案中PEG IFN-α和第三代Nucs如恩替卡韦或替诺福韦,可增加HBsAg清除速率。
抗病毒治疗抑制慢性乙肝发展为肝癌
一项随访11年的前瞻性队列研究表明,HBV DNA浓度> 104拷贝/ mL是30岁以上人群出现肝癌风险的一个预测指标,且与血清ALT水平无关。可以肯定的是,抗乙肝病毒治疗可改善慢性HBV感染的临床结局,特别是在肝癌的发病率方面。
一项回顾性研究表明:与安慰剂组相比,天然类淋巴母细胞IFN-α(IFN-αNL)和IFN疗法在HBV清除、减少肝癌发生、延长生存期等方面可能会取得更有利的长期影响。
在一项有关Nucs长期利益的随机对照试验中,拉米夫定治疗组的肝癌发生率为3.9%,而对照组发生率为7.4%(HR = 0.49)。
在656例HBeAg阴性患者中(54%有慢性肝炎,30%有肝硬化),拉米夫定治疗组(中位数22月)可有效减少病毒载量,降低肝癌发展和肝硬化患者的疾病恶化。
最近一项系统性回顾研究也表明, 与未经治疗的患者相比,经过核苷(酸)类似物治疗的患者肝癌发生率较小( 2.8%对6.4%)。
一项对比IFN和核苷(酸)类似物疗法效果的系统评价显示,IFN-α或核苷(酸)类似物治疗可显著降低肝癌风险。
干扰素在肝硬化患者中收益更大,而Nucs则在那些非肝硬化和HBeAg阳性的患者中获得更大收益。这两种治疗方法都可以持续抑制HBV的复制,从而以减少肝癌的发生率。
抗病毒治疗对HCC复发的影响
抗乙肝病毒治疗是否能在部分肝切除术或肝移植后有效地减少肝癌的复发风险?之前研究表明,早期肝癌患者的5年总生存率为58%(其中肝移植术后为63%;肝脏部分切除术后为53%)。
Huang等研究表明,患者肝切除术后如果出现HBV再激活,会有较高的几率发生肝衰竭,并且3年无病生存率和总生存率较低(比例分别为11.8%对6.4%,34.1%比46.0%,51.6%比67.2%)。
探索性亚组分析显示,辅助 IFN-α对pTNM分期Ⅰ/Ⅱ期肿瘤无生存获益(两个组5年存活率均在90%左右),但可以防止肿瘤的早期复发,使Ⅲ/ ⅣA肿瘤患者的5年生存期由24%提高到68%。
Lee等人也报道,肿瘤转移相关蛋白1阳性患者肝癌术后复发率为28%,PEG IFN组整体累积复发率显著低于对照组,1年和2年累积生存率也分别高于对照组(100%对93%和100%对87%)。
Chen等人的结果则表明,佐剂IFN-α2b的治疗并没有减少术后病毒性肝炎相关的肝细胞癌复发。
关于Nucs对肝癌复发的效果,安塞尔莫等认为,乙肝免疫球蛋白(HBIG)和拉米夫定治疗可以显著降低乙肝复发率,显著提高肝移植术后1年和3年无复发生存率。
Chan等人也报道,拉米夫定或恩替卡韦治疗患者的1年、3年和5 年无病生存率分别为66.5%,51.4%、51.4%和48.9%,、33.8%、33.8%。
Kubo等报道,拉米夫定治疗组的切除后无瘤生存率显著高于对照组。最近一项多因素分析显示,移植后HCC复发与乙肝病毒再感染有关,乙肝免疫球蛋白与不良预后相关。
南京医科大学附属第一医院肝脏移植中心研究结果表明,HBV DNA拷贝数 >104/mL或103-104/mL 可使HBsAg阳性患者肝脏功能受损,必须在根治性手术后采取拉米夫定。
此外,对于那些有YMDD变异的乙肝患者而言,恩替卡韦和/或阿德福韦酯应该被用作初始治疗的替换方案。如果出现耐药性,还可以使用富马酸替诺福韦酯。

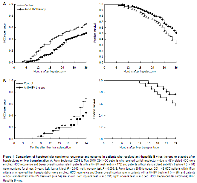
一项随机对照临床研究证实,对于接受部分肝切除和肝移植的患者,标准化的抗乙肝病毒治疗可显著提高疗效,降低复发率。
结论
长期研究表明新的抗病毒药物如恩替卡韦、替诺福韦和替比夫定,可能比拉米夫定更能减缓疾病的进展。对于接受肝切除或肝移植的患者,肿瘤复发必须通过超声和α-胎蛋白来监视。
同时更重要的是,还应进行HBV复制情况的监测。因为持续的乙肝病毒激活或再激活与肝癌发展或复发显著相关。标准化的抗HBV治疗最终可延缓肝癌复发和生存效益。
PEG-IFN为抑制没有肝硬化或纤维化患者的HBV病毒复制提供了一个更好的机会,,从而也为降低患者肝癌的发展和复发提供了广阔的前景。
总之,开发安全有效且在承受范围内的药物,维持可抑制乙肝病毒复制的治疗措施,应该是慢性HBV感染治疗的最终目标。










