近期发表在《Gut》的一项研究表明,与他克莫司单独治疗相比,肝移植后丙型肝炎复发的患者应用他克莫司+咪唑硫嘌呤+类固醇激素三联治疗后,肝纤维化进展更慢。文献阅读:Gut 2013 Oct 16.
研究方法
欧盟和爱尔兰的研究者们评估了连续97位肝移植的患者,并将这些患者随机分配到他克莫司单独治疗组(n=49)和他克莫司+咪唑硫嘌呤+甲基泼尼松龙三联治疗组(n=48),两组患者均治疗6个月。患者每天应用他克莫司 0.1 mg/kg;或每天应用泼尼松龙20 mg(逐渐减量,6个月后停用)+他克莫司0.1 mg/kg+咪唑硫嘌呤1 mg/kg。每年进行肝组织活检(应用Ishak分期和胶原蛋白比例CPA)对肝纤维化的进程进行评估,随访时间的中位数为8年。

研究结果
他克莫司单独治疗组中19位患者至少达到了Ishak分期4期,中位时间为32个月,而他克莫司+咪唑硫嘌呤+甲基泼尼松龙三联治疗组中11位患者达到了相同的水平,中位时间为49个月(P=0.009)。

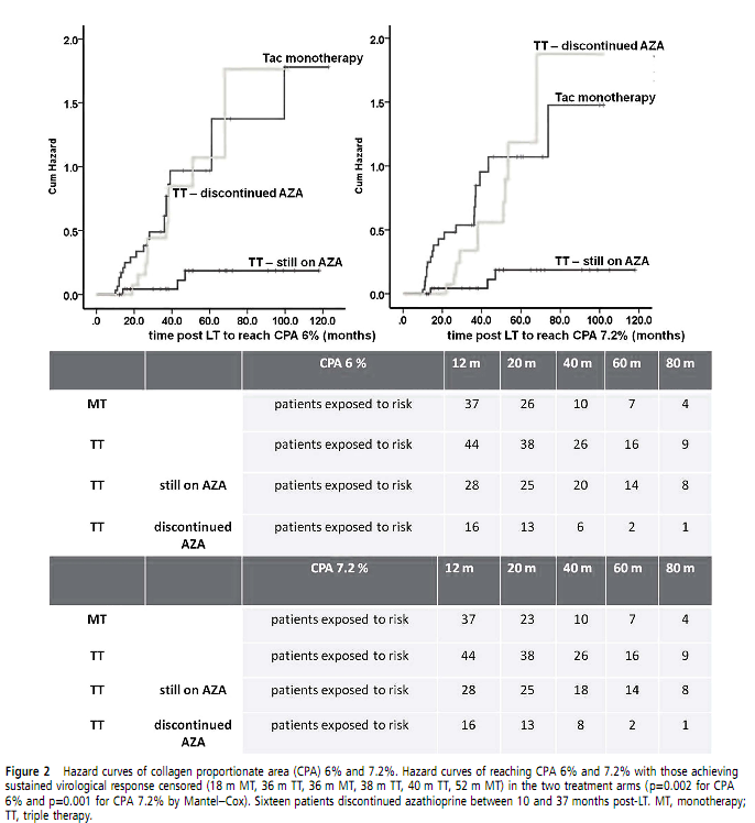
他克莫司单独治疗组患者最后一次活检时胶原蛋白比例为12%,他克莫司+咪唑硫嘌呤+甲基泼尼松龙三联治疗组患者最后一次活检时胶原蛋白比例为8% (P=0.004)。

他克莫司单独治疗组中33位患者进行了活检,其中11位患者肝静脉压力梯度至少达到了10 mm汞柱,出现了明显的门静脉高压,而他克莫司+咪唑硫嘌呤+甲基泼尼松龙三联治疗组中31位患者进行了活检,其中仅4位患者肝静脉压力梯度至少达到了10 mm汞柱,出现了明显的门静脉高压。
他克莫司单独治疗组中9位患者、他克莫司+咪唑硫嘌呤+甲基泼尼松龙三联治疗组中4位患者出现了肝失代偿。Cox回归分析发现,他克莫司单独治疗与肝失代偿有关(OR=3.23; 95% CI, 1.01-10.3)。
研究者们报道,他克莫司单独治疗组中14位患者死亡,5位需要再次肝移植治疗,而他克莫司+咪唑硫嘌呤+甲基泼尼松龙三联治疗组7位患者死亡,4位需要再次肝移植治疗。
结论
研究者们总结到,与他克莫司单独治疗相比,长期应用他克莫司+咪唑硫嘌呤免疫抑制+泼尼松龙治疗丙型肝炎肝硬化患者可以减慢重度肝纤维化的进程,门静脉高压和失代偿的发生率也更低。










