肝纤维化是慢性丙型肝炎(CHC)患者的预后结果。近期发表在《Liver Int》的一项研究评估了非侵入性指标和肝活检预测CHC患者发病率和死亡率的准确性。文献阅读:Liver Int 2013 Aug 12.
研究方法
对代偿性CHC患者进行评估,为期10年。回顾整理非侵入性标志物包括Hepascore、FIB-4、APRI和肝活检的结果。从西澳大利亚数据联动系统获得随访期发病率和死亡率。应用Kaplan-Meier分析来评估基线非侵入性标志物和肝活检的预后意义。

研究结果
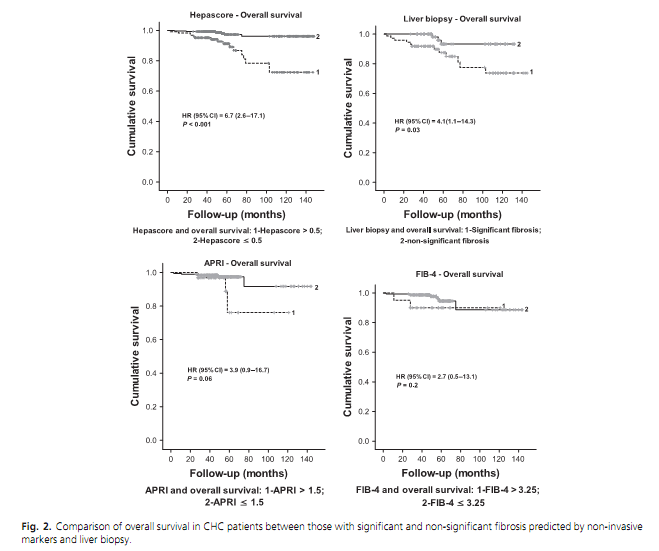
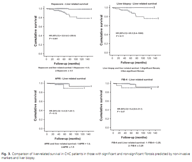
共随访406例患者(64%为男性,平均年龄48±11岁),随访2385人—年,在此期间,有22例(5.4%)患者死亡,其中14例(3.4%)死于肝脏疾病死亡或需要进行肝移植。16例(3.9%)患者进展为肝功能失代偿。 Hepascore和肝活检(P <0.005)是预测总体和肝病相关性死亡率,以及肝功能失代偿的预测因子,而APRI或FIB-4则不是。Hepascore>0.5与总体死亡率[风险比(95%CI)为6.7(2.6-17),P <0.01]、肝脏相关性死亡率[32.8(4.3-250),P = 0.001]和未来失代偿风险 [11.8(3.3-41),P <0.001]增加有相关性,而Hepascore≤0.5则与超过10年99%的可能不死于肝脏相关性疾病有相关性。 Hepascore在预测肝脏相关死亡率方面和肝活检有相似的准确性,AUROC分别为0.86(95%CI为0.80-0.90)和0.87(0.79-0.96)。

结论
Hepascore是预测CHC患者总体和肝脏相关性死亡率和发病率的预测因子,与肝活检有相当的准确性。Hepascore在临床实践中可能是有用的预后指标。










