乙肝肝硬化和重度血小板减少的患者没有有效的治疗。近期发表在《Platelets》的一项研究旨在探索低剂量强的松或环孢素A(CsA)联合核苷类似物(NA)治疗乙肝肝硬化所致的重度血小板减少的安全性和有效性。文献阅读:Platelets 2014 Nov 14;:1-8.

Figure 1. Study profile. HBsAg: hepatitis B surface antigen; NA: nucleoside analog;Pred: prednisone; CsA: CsA; HBV: hepatitis B virus; DNA: deoxyribonucleic acid.
研究方法
我们将2006年1月31日至2013年12月31日之间的连续145位代偿性乙肝肝硬化合并重度血小板减少的患者纳入了研究。我们将患者分为3个治疗组,包括NA单药治疗组(n = 57)、NA+强的松治疗组(n = 46)和NA+ CsA治疗组 (n = 42)。我们对每组的血小板计数、出血事件、肝功能、HBV复制和疗效进行了分析。

Figure 2. Difference of platelet counts in different groups in the first year of observation from the initial of treatment. Group 1:Nucleoside Analog only; Group 2:Prednisone plus nucleoside analog; Group 3:CsA plus nucleoside analog. During the first year of observation, the median platelets count of prednisone plus NA group, and CsA plus NA group were increased relative to the baseline value (p values are50.001,50.001,and 0.106 in group 1 vs. group 2, group 1 vs. group 3, and group 2 vs. group 3, respectively). Linear of platelet count after treatments were estimated by mixed-effects linear models that included all available platelet count measurements after treatment. This model was adjusted for age, sex, Child–Pugh score, other systemic complications, transfusion of platelet, and research center.
研究结果
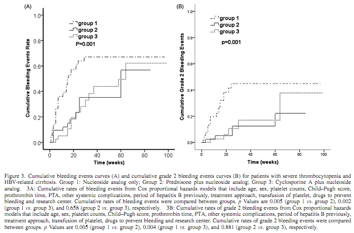
在观察期间的所有时间点,强的松组或CsA组血小板计数都高于NA单药治疗组。3组间出血事件的累积率存在显著差异。多变量分析显示,血小板计数和治疗方案是出血事件的相关因素。

各组间 HBV-DNA阴性率、HBV-DNA升高率、血清谷丙转氨酶正常率、血清谷丙转氨酶升高至基础状态的2倍以上的发生率、HBeAg血清阳性转化率的差异没有显著性。
一般来说,我们研究中的不良事件都是轻微的,3个治疗组的不良事件发生率相似。
结论
乙肝肝硬化并重度血小板减少患者应用低剂量强的松或CsA+NA治疗可以提高血小板的数量,降低出血事件的风险。










