中文English
ISSN 1001-5256 (Print)
ISSN 2097-3497 (Online)
CN 22-1108/R

留言板

尊敬的读者、作者、审稿人, 关于本刊的投稿、审稿、编辑和出版的任何问题, 您可以本页添加留言。我们将尽快给您答复。谢谢您的支持!

姓名
邮箱
手机号码
标题
留言内容
验证码
2022年 第7期
“非肝硬化性门静脉高压症的研究进展”  重点号
本期执行主编:徐小元
北京大学第一医院

显示方式:
述评
非肝硬化性门静脉高压症的临床管理现状
徐京杭, 于岩岩, 徐小元
2022, 38(7): 1457-1459. DOI: 10.3969/j.issn.1001-5256.2022.07.001
摘要(1391) HTML (333) PDF (1903KB)(291)
摘要:
非肝硬化性门静脉高压症并非罕见,其临床管理策略有别于肝硬化性门静脉高压症。按照发病机制和病因的不同,可分为肝前性、肝性和肝后性门静脉高压症,其中肝性可进一步分为窦前性、窦性和窦后性。结合临床表现、影像学与病理学检查及时诊断,并启动相应治疗是临床管理的关键。然而本组疾病异质性强,不易诊断,亟需临床工作者提高对本组疾病的认识,以期提高临床管理水平。
专家论坛
肝前性非肝硬化性门静脉高压症的诊疗进展
杨佳琪, 尚玉龙, 韩英
2022, 38(7): 1460-1463. DOI: 10.3969/j.issn.1001-5256.2022.07.002
摘要(1398) HTML (299) PDF (1845KB)(218)
摘要:
肝前性非肝硬化性门静脉高压是一组由非肝硬化因素导致的门静脉高压性疾病,目前认为这组疾病的病因主要与JAK2突变、血液高凝状态有关。临床表现主要包括静脉曲张破裂出血、脾肿大等,患者肝功能正常或仅有轻微异常。对肝前性非肝硬化性门静脉高压疾病的诊断主要依靠其影像学特点,同时还需排除肝硬化门静脉高压。治疗方面主要采取抗凝治疗和内镜下治疗,患者预后一般较好。本文系统梳理了肝前性非肝硬化性门静脉高压的主要进展。
肝内窦前性非肝硬化性门静脉高压症的研究进展
夏帅, 吴晓宁, 王冰琼, 何志颖, 尤红
2022, 38(7): 1464-1468. DOI: 10.3969/j.issn.1001-5256.2022.07.003
摘要(1304) HTML (426) PDF (1852KB)(203)
摘要:
肝内窦前性非肝硬化性门静脉高压是非肝硬化性门静脉高压的一种类型,患者出现门静脉高压相关症状而无肝硬化病理证据,肝静脉压力梯度正常或轻微异常。因其病因复杂,极易漏诊、误诊,因此需要结合影像学与组织学检查明确诊断,适时启动降门静脉压治疗,预防性抗凝治疗的效果有待验证。
肝内窦后性非肝硬化性门静脉高压症的研究进展
陈慧婷, 周永健
2022, 38(7): 1469-1473. DOI: 10.3969/j.issn.1001-5256.2022.07.004
摘要(1311) HTML (238) PDF (1852KB)(147)
摘要:
门静脉高压定义为门静脉系统压力病理性增高,其最常见的原因是肝硬化,但也见于无肝硬化时,称为非肝硬化性门静脉高压。根据累及的部位,非肝硬化性门静脉高压相关疾病可分为肝前、肝内或肝后三类;肝内病因所致可进一步细分为窦前性、窦性和窦后性。本文将总结肝后及窦后性门静脉高压的特点,并详细讨论布加综合征和肝窦阻塞综合征不同分类,简述了其临床表现、发病机制、诊断和治疗等方面的研究进展。
布加综合征的临床管理现状
周璀, 沈波, 曲颖, 陆伦根
2022, 38(7): 1474-1476. DOI: 10.3969/j.issn.1001-5256.2022.07.005
摘要(1431) HTML (282) PDF (1820KB)(185)
摘要:
布加综合征是一种由肝静脉流出道梗阻引起的的少见疾病,机体高凝状态是常见的病因,影像学检查是明确诊断的常用手段,目前的治疗以抗凝和血管成形为主。本文就布加综合征的临床表现、诊断及治疗现状等进行总结。
学术争鸣
扩大慢性乙型肝炎抗病毒治疗应重视ALT正常、年龄≤30岁的HBeAg阴性慢性HBV感染者
刘燕娜, 李明蔚, 王雷婕, 赵鸿, 党双锁, 陈香梅, 赵景民, 鲁凤民
2022, 38(7): 1477-1481. DOI: 10.3969/j.issn.1001-5256.2022.07.006
摘要(1470) HTML (681) PDF (2010KB)(211)
摘要:
  目的  拟对2022年2月发布的《扩大慢性乙型肝炎抗病毒治疗的专家意见》的推荐意见进行分析验证和完善。  方法  本研究为单中心回顾性研究,连续纳入2014年1月—2020年10月于中国人民解放军总医院第五医学中心接受肝穿刺活组织病理检查且ALT正常的成人慢性HBV感染者,并分析≤30岁和>30岁亚组中不同HBeAg状态人群存在中、重度肝损伤人群比例。  结果  共纳入慢性HBV感染者290例,HBeAg阳性者121例(41.7%),HBeAg阴性者169例(58.3%)。进一步按年龄分组,在HBeAg阳性中,≤30岁37例,>30岁84例;在HBeAg阴性感染者中,≤30岁24例,>30岁145例。4组比较,年龄(H=151.539)、性别(χ2=9.959)、ALT(H=29.041)、AST(H=11.127)、Alb(H=23.538)、HBV DNA(H=187.982)、HBsAg(H=132.520)组间比较差异均有统计学意义(P值均<0.05)。年龄>30岁和≤30岁组均有近50%的患者存在中度及以上肝损伤(50.22% vs 47.54%)。根据HBeAg状态和年龄进一步将患者分为HBeAg阳性≤30岁(n=37)和>30岁(n=84)以及HBeAg阴性≤30岁(n=24)和>30岁(n=145)共4组。在HBeAg阳性亚组中,>30岁与≤30岁者存在中度及以上肝损伤的差异无统计学意义(42.9% vs 37.8%,P=0.605);≤30岁的HBeAg阴性亚组与>30岁的HBeAg阴性亚组存在中度及以上肝损伤的差异亦无统计学意义(62.5% vs 54.5%,P=0.464)。在无创指标无法决策的队列(LSM<9.0 kPa者和LSM数据缺失但FIB-4<3.25者,n=269)中,≤30岁的HBeAg阴性亚组与>30岁的HBeAg阴性/阳性亚组存在中度及以上肝损伤的差异无统计学意义(59.1% vs 50.7%、59.1% vs 41.8%,P值分别为0.468、0.149)。  结论  在扩大抗HBV治疗时,也应关注HBeAg阴性且年龄≤30岁的慢性HBV感染者。条件允许时,依照本研究总结修订的抗病毒治疗启动线路图,或可进一步提高个体化抗病毒治疗的精准性。
论著_病毒性肝炎
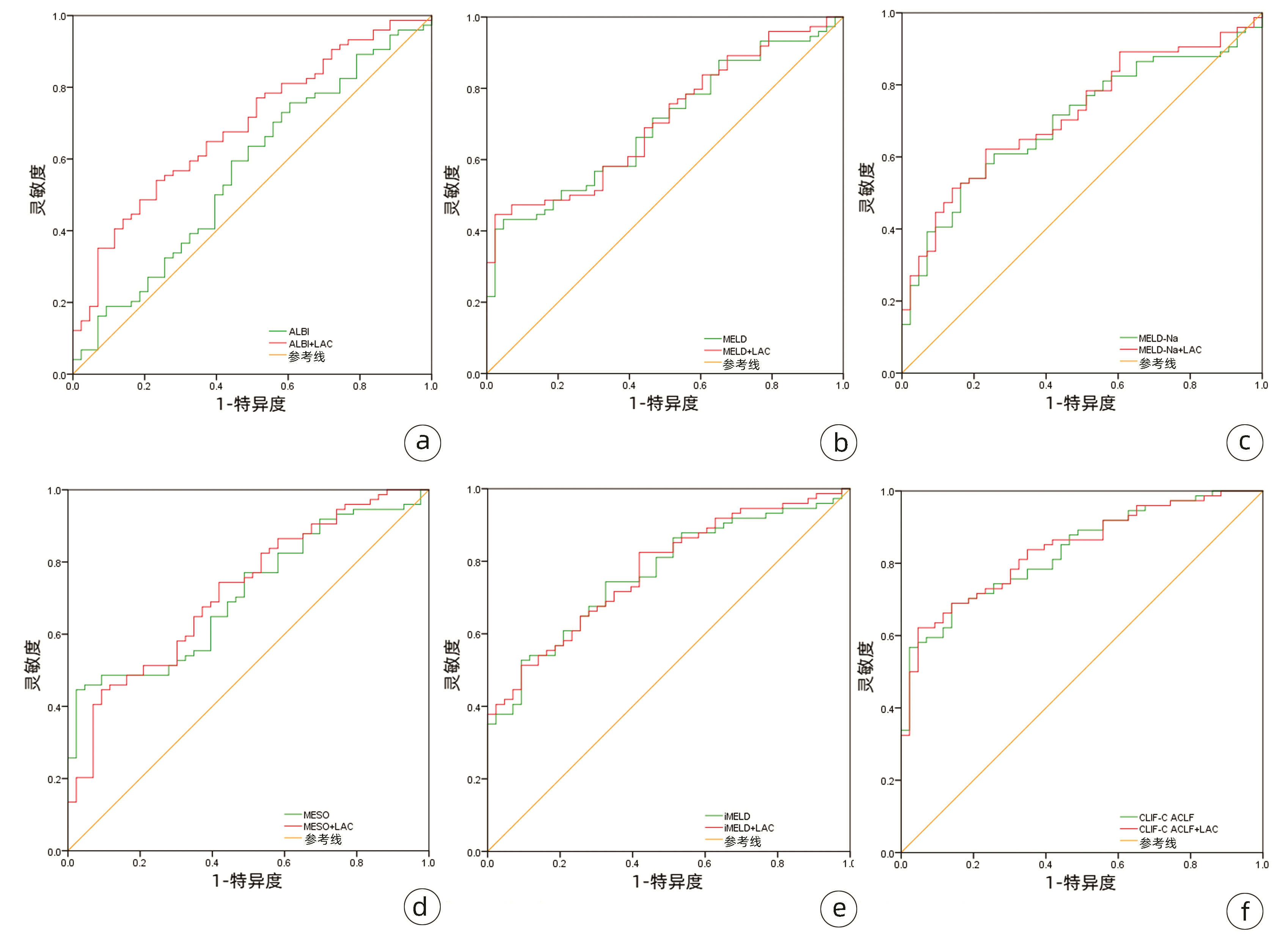
乳酸水平对HBV相关慢加急性肝衰竭患者短期预后的预测价值
杨烁, 刘坤, 杨兰, 徐玲, 鲁晓擘, 孙晓风, 玛力帕提·艾尔肯江
2022, 38(7): 1482-1488. DOI: 10.3969/j.issn.1001-5256.2022.07.007
摘要(1332) HTML (478) PDF (2603KB)(135)
摘要:
  目的  本研究旨在评估乳酸对HBV相关慢加急性肝衰竭(HBV-ALCF)患者90 d预后的预测价值。  方法  回顾性纳入2017年1月—2021年6月新疆医科大学第一附属医院感染病·肝病中心收治的117例HBV-ACLF患者,根据90 d随访结果分为生存组(n=43)和死亡组(n=74);收集患者于本院诊断HBV-ACLF后24 h内的血常规、肝肾功能、凝血功能、动脉血气、肝性脑病等并发症,计算ALBI、MELD、MELD-Na、MESO、iMELD、CLIF-C ACLF评分。计量资料符合正态分布的组间比较采用t检验,非正态分布的组间比较采用Mann-Whitney U检验,计数资料组间比较采用χ2检验。采用二元logistic分析乳酸是否为HBV-ACLF患者90 d预后的独立危险因素,Pearson相关分析检验乳酸与感染情况及临床并发症的相关性。绘制受试者工作特征曲线(ROC曲线)分析乳酸相加于各评分后能否提高现有模型的预测价值,两两比较采用Z检验。  结果  死亡组WBC、INR、乳酸均大于生存组,Na小于生存组,差异均有统计学意义(Z值分别为-2.813、-2.855、-3.186、-2.044,P值均<0.05);年龄、MELD、MELD-Na、MESO、iMELD、CLIF-C ACLF评分均显著高于生存组,差异均有统计学意义(t值分别为2.536、4.615、4.247、4.941、5.832、7.562,P值均<0.05)。logistic分析表明年龄(OR=1.075,95%CI: 1.026~1.127,P=0.002)、INR(OR=2.198,95%CI: 1.149~4.203,P=0.017)、乳酸(OR=1.431,95%CI: 1.002~2.044,P=0.049)是HBV-ACLF患者90 d预后的独立危险因素,将乳酸纳入现有模型后ROC曲线下面积均有所增加。  结论  乳酸是HBV-ACLF患者90 d预后的独立危险因素,将其纳入现有模型可能提高预测价值。
HBV感染者外周血自然杀伤样B淋巴细胞、自然杀伤细胞、B淋巴细胞亚群的变化及临床意义
杨晓飞, 申焕君, 黄高铂, 连建奇, 张野
2022, 38(7): 1489-1494. DOI: 10.3969/j.issn.1001-5256.2022.07.008
摘要(1288) HTML (347) PDF (2862KB)(106)
摘要:
  目的  观察HBV感染者自然杀伤样B淋巴细胞(NKB淋巴细胞)、NK细胞和B淋巴细胞亚群的变化,分析其与临床指标的相关性。  方法  选取2017年1月—2018年12月在唐都医院就诊的急性乙型肝炎(AHB)患者15例、慢性乙型肝炎(CHB)患者30例、无症状HBV携带者(ASC)29例和对照者12例。采集外周血,分离血浆和外周血单个核细胞。酶联免疫吸附试验检测血浆IL-18和IFNγ水平。酶联斑点吸附试验检测HBV特异性CD8+T淋巴细胞分泌IFNγ水平。流式细胞术检测CD3-CD19+CD56+CD16+NKB淋巴细胞、不同NK细胞亚群(CD3-CD19-CD56highCD16-NK细胞、CD3-CD19-CD56+CD16+NK细胞、CD3-CD19-CD56-CD16+NK细胞)、CD3-CD19+B淋巴细胞比例,分析与病毒复制、肝脏炎症指标的相关性。符合正态分布的计量资料多组间比较采用单因素方差分析,进一步两两比较采用LSD-t检验。不符合正态分布的计量资料多组间比较采用Kruskal-Wallis H检验。相关性分析采用Pearson相关性检验。  结果  CD3-CD19+CD16+CD56+NKB淋巴细胞占淋巴细胞的比例在AHB患者、CHB患者、ASC和对照者之间的差异有统计学意义(F=16.42,P<0.000 1),CHB患者NKB淋巴细胞比例[(0.79±0.13)%]显著低于AHB患者[(0.94±0.15)%]、ASC[(1.02±0.12)%]和对照者[(1.11±0.27)%](P值均<0.001)。血浆IL-18水平在AHB患者、CHB患者、ASC和对照者之间的差异有统计学意义(F=5.733,P=0.001),CHB患者IL-18水平[(259.30±70.09)pg/mL]显著低于AHB患者[(336.00±103.00)pg/mL]和对照者[(319.30±64.80)pg/mL](P值均<0.05),ASC IL-18水平[(258.60±59.82)pg/mL]亦显著低于AHB患者和对照者(P值均<0.01),但血浆IL-18在CHB患者和ASC之间的差异无统计学意义(P=0.965)。CD3-CD19-CD56highCD16-NK细胞、CD3-CD19-CD56+CD16+NK细胞、CD3-CD19-CD56-CD16+NK细胞以及B淋巴细胞比例在4组之间的差异均无统计学意义(P值均>0.05)。CHB患者血浆IFNγ水平显著低于AHB患者、ASC者和对照者(P值均<0.01)。NKB淋巴细胞比例和IL-18与HBV DNA定量、ALT水平均无显著相关性(P值均>0.05)。CHB患者中NKB淋巴细胞占淋巴细胞的比例与血浆IL-18水平呈正相关(r=0.432,P=0.017),与病毒特异性CD8+T淋巴细胞分泌IFNγ水平呈正相关(r=0.493,P=0.006)。  结论  NKB淋巴细胞和IL-18可能参与HBV感染慢性化,与慢性HBV感染自然史相关。
黄芪甲苷通过调控宿主核糖体翻译开关抑制HBV复制的机制
常凯, 王艳艳, 那琬琳, 刘晨霞, 叶雨笙, 江忠勇, 刘媛
2022, 38(7): 1495-1502. DOI: 10.3969/j.issn.1001-5256.2022.07.009
摘要(1283) HTML (328) PDF (4201KB)(78)
摘要:
  目的  分析黄芪甲苷抑制HBV复制的宿主调控机制。  方法  使用不同浓度的黄芪甲苷处理人正常肝细胞(L-02),根据黄芪甲苷浓度的不同,分为0、5、10和20 μg/mL 4组。应用CCK-8检测细胞活性,流式细胞法检测细胞凋亡,化学发光和生化方法检测AFP、ALT、AST和ALP外泌水平,评估黄芪甲苷对正常细胞的影响。用黄芪甲苷处理携带HBV的肝癌细胞Hep3B,应用qPCR方法检测HBV DNA、pgRNA、MTIF2、RPL10基因表达量,ELISA测法检测HBsAg和HBeAg,评估对HBV复制的影响。应用TCGA和GEO数据库结合R语言资料包对RPL10和MTIF2在临床样本中的预后影响进行分析验证。绘制Kaplan-Meier生存曲线,log-rank检验用于分析比较两组或多组之间的生存差异,进行了time ROC分析以比较RPL10和MTIF2基因的预测准确性和风险评分。计量资料多组间比较和同一组内不同时间段比较均采用单因素方差分析,进一步分析两两组间比较采用Bonferroni方法。  结果  20 μg/mL组处理24 h和48 h相较未处理组细胞生长活性均显著提高(P值均<0.05),20 μg/mL组处理72 h相较10 μg/mL组生长活性提高(P<0.05),5 μg/mL组处理72 h相较未处理组生长活性提高(P<0.05)。5、10和20 μg/mL 3个处理组AFP水平均较未处理组显著增高(P值均<0.05),10和20 μg/mL 2个处理组ALT水平分别均较未处理和5 μg/mL 2组显著降低(P值均<0.05),20 μg/mL组ALT水平较10 μg/mL组显著降低(P<0.05)。5、10和20 μg/mL 3个处理组AST水平较未处理组均显著增高(P值均<0.05)。5、10和20 μg/mL 3个处理组HBV DNA、pgRNA、HBsAg、HBeAg、RPL10和MTIF2水平与未处理组比较差异均有统计学意义(P值均<0.05)。生物信息学分析结果显示,HBV感染的肝癌患者中RPL10和MTIF2基因较高水平表达的患者预后较差,而在无HBV感染的肝癌患者中不存在此现象。  结论  黄芪甲苷能够抑制翻译起始蛋白MTIF2和核糖体大亚基成分RPL10,通过调控宿主核糖体翻译开关降低HBV复制。
基于网络药理学和动物实验研究灵猫方治疗慢性乙型肝炎的机制
马利节, 朱晓骏, 林佳成, 王芳, 孙学华, 高月求
2022, 38(7): 1503-1508. DOI: 10.3969/j.issn.1001-5256.2022.07.010
摘要(1238) HTML (306) PDF (3685KB)(100)
摘要:
  目的  探讨灵猫方治疗慢性乙型肝炎与Ⅰ型IFN的相关性。  方法  TCMSP数据库筛选灵猫方主要活性成分;Genecards数据库获取灵猫方、慢性乙型肝炎作用靶点;Bioinformatics获取药物与疾病靶点交集、绘制韦恩图、并进行GO富集分析;DAVID 6.8进行KEGG富集分析;CytoScape 3.8.0进行免疫过程分析。30只SPF级雄性C57BL/6N小鼠,随机分为正常组、模型组、灵猫方组,每组10只,除正常组10只外,余20只采用水动力转染技术建立HBV体内复制模型,灵猫方灌胃3 d,2次/d,模型组、正常组同体积生理盐水灌胃。结束后收集血清样本,ELISA检测HBsAg、HBeAg、Ⅰ型IFN水平变化。计量资料两组间比较采用独立样本t检验,组间多重比较采用One-way ANOVA结合最小显著性差异法LSD进行多重比较分析。  结果  网络药理学获取灵猫方22个活性成分、6059个作用靶点,481个慢性乙型肝炎相关靶点,387个药物-疾病交集靶点,并提出灵猫方通过调控Ⅰ型IFN参与乙型肝炎相关免疫应答的假设。动物实验证实与模型组比较,灵猫方组HBsAg(t=2.227, P=0.043)、HBeAg(t=2.488, P=0.026)显著下降,且HBsAg(t=-4.603, P<0.001)、HBeAg(t=-2.224, P=0.043)下降幅度亦具有统计学差异;与正常组相比,模型组IFNα、IFNβ水平无明显变化(P值均>0.05),灵猫方组IFNα、IFNβ水平显著上升(P值均<0.001);与模型组相比,灵猫方组IFNα、IFNβ水平亦显著上升(P值均<0.001)。  结论  灵猫方通过调控Ⅰ型IFN的分泌,达到抗HBV的作用。
延边地区2020年丙型肝炎抗体筛查结果分析
周旸, 付朝旭, 周敏, 徐蕾, 李明阳, 沈瀛生, 朴红心, 杨恩月
2022, 38(7): 1509-1512. DOI: 10.3969/j.issn.1001-5256.2022.07.011
摘要(1016) HTML (358) PDF (1850KB)(72)
摘要:
  目的  研究影响丙型肝炎抗体的相关因素及评价近7年来延边州对于丙型肝炎的预防效果。  方法  2020年随机筛选1184例延边地区居民,采取指尖血标本,使用胶体金法试剂检测丙型肝炎抗体,将2020年丙型肝炎抗体阳性率与2013年的数据进行对比分析。计数资料组间比较采用χ2检验或Fisher精确检验,Fisher精确检验后使用成对比较分析。  结果  2020年筛选的延边州居民丙型肝炎抗体阳性率(6.42%)低于2013年(10.60%)(χ2=11.212,P=0.001);2020年各个年龄段之间丙型肝炎抗体阳性率经Fisher精确检验(2×C)结果显示,5个年龄段之间差异具有统计学意义(χ2=29.478,P<0.001);采用Bonferroni调整后成对比较显示≥60岁组与50~59岁组、40~49岁组、30~39岁之间差异具有统计学意义(χ2值分别为11.268、14.804、9.293,P值均<0.01),其余各组间差异无统计学意义(P>0.01)。朝鲜族抗体阳性率(10.45%)显著高于非朝鲜族抗体阳性率(5.50%)(χ2=7.236,P=0.007);在农民群体中,2020年丙型肝炎抗体阳性率(7.16%)低于2013年(19.74%)(χ2=36.604,P<0.001);农村地区(7.33%)丙型肝炎抗体阳性率高于城市(4.26%)(χ2=3.882,P=0.049)。  结论  丙型肝炎抗体阳性率主要与年龄、民族、职业、地域有关。7年来延边地区丙型肝炎抗体阳性率较前下降,延边州对于丙型肝炎的初步防治效果较为显著。
论著_脂肪性肝病
土鳖虫调控黏结合蛋白聚糖3改善非酒精性脂肪性肝炎的作用机制
杨广越, 陶乐, 张玮, 刘旭凌, 马文婷, 吴柳, 孙田甜, 姜浩, 刘成
2022, 38(7): 1513-1520. DOI: 10.3969/j.issn.1001-5256.2022.07.012
摘要(1186) HTML (378) PDF (5504KB)(73)
摘要:
  目的  探讨土鳖虫调控黏结合蛋白聚糖3(SDC3)对胆碱缺乏(CDAA)诱导的非酒精性脂肪性肝炎的作用及其机制。  方法  18只雄性C57BL/6小鼠随机分为胆碱充足(CSAA)组、CDAA组和胆碱缺乏加土鳖虫(CDAA+T)组。造模第12周开始,CDAA+T组小鼠给予0.108 g/kg土鳖虫(相当于成人用量10倍量)灌胃,CSAA、CDAA组以等体积生理盐水灌胃,18周末取血清和肝组织,检测小鼠肝功能、TC和TG,观测肝组织病理形态学。实时定量PCR检测转化生长因子(TGF)β1、α-平滑肌肌动蛋白(α-SMA)、Ⅰ型胶原(Col1α1)、SDC3 mRNA表达;检测SDC3在人和小鼠原代肝细胞、肝星状细胞(HSC)、内皮细胞和Kupffer细胞中的表达,应用Si-RNA沉默SDC3,检测SDC3在HSC活化中的作用。蛋白免疫印迹法检测SDC3蛋白表达。计量资料多组间比较采用单因素方差分析, 组内进一步两两比较采用SNK或LSD-t检验。  结果  与CSAA组相比,CDAA组肝功能(ALT、AST)、血清和肝脏TC、TG水平显著升高(P值均<0.01),CDAA+T组小鼠血清ALT、AST、TC、TG水平较CDAA组均显著下降(P值均<0.05)。HE染色显示CDAA组脂肪变明显,炎症细胞浸润增多,CDAA+T组炎症细胞浸润减轻;天狼星红染色显示CDAA组胶原增生显著增加,CDAA+T组胶原增生则减少;油红染色中CDAA组脂肪沉积明显,而CDAA+T组脂肪沉积减少。与CDAA组相比,CDAA+T组肝组织TGFβ、SDC3、α-SMA、COL1α1的mRNA表达和SDC3、α-SMA蛋白表达水平显著降低。免疫组化结果显示:SDC3在CSAA组中表达非常低,CDAA组中SDC3表达显著升高,主要在间质细胞,土鳖虫干预后表达显著降低(P值均<0.05)。PCR结果显示:人和小鼠肝脏各类型细胞中SDC3在HSC细胞表达最高(P值均<0.001)。体外培养LX2细胞,土鳖虫处理能显著降低TGFβ诱导的α-SMA、Col1α1上调,基因沉默SDC3后,土鳖虫不能抑制α-SMA、Col1α1升高(P值均<0.05)。  结论  土鳖虫显著改善CDAA诱导的非酒精性脂肪性肝炎,其机制可能通过调控HSC中SDC3表达实现的。
论著_自身免疫性肝病
原发性胆汁性胆管炎患者发生桥本氏甲状腺炎的临床特征及预后分析
张静怡, 唐映梅
2022, 38(7): 1521-1528. DOI: 10.3969/j.issn.1001-5256.2022.07.013
摘要(1400) HTML (373) PDF (1892KB)(98)
摘要:
  目的  探索原发性胆汁性胆管炎(PBC)患者发生桥本氏甲状腺炎(HT)的临床特征、相关因素以及预后特点。  方法  回顾性选取2018年1月—2020年12月就诊于昆明医科大学第二附属医院确诊为PBC且甲状腺功能检查资料完善的患者301例。根据患者甲状腺疾病累及情况,分为HT组患者83例,非HT组患者88例。对比两组患者的一般资料、临床特征及实验室检查,分析PBC患者发生HT的相关因素及预后特征。计量资料两组间比较采用独立样本t检验或Mann-Whitney U检验,计数资料两组间比较采用χ2检验和Bonferroni校正检验;相关性分析采用Spearman相关性分析,多因素分析采用二元logistic回归分析或多元线性回归分析。  结果  PBC患者常合并肝外自身免疫性疾病,其中HT患病率为27.6%,PBC患者中HT组较非HT组女性患者数量(χ2=9.547)、Child-Pugh评分(Z=-3.100)、IgA(Z=-1.992)、IL-6(Z=-1.969)、TgAb(Z=-9.612)、TPOAb(Z=-9.739)水平明显增加,肝硬化(χ2=8.807)、乏力(χ2=4.951)、纳差(χ2=6.636)、腹胀(χ2=7.977)发生率明显增加(P值均<0.05),HT组患者较非HT组患者TC(Z=-2.743)、TG(Z=-2.332)、LDL(Z=-2.604)、C3(t=5.063)水平明显降低(P值均<0.05)。Child-Pugh评分[比值比(OR)=1.486, 95%CI: 1.060~2.083, P<0.05]、TgAb(OR=1.032, 95%CI: 1.012~1.052, P<0.05)、TPOAb(OR=1.007, 95%CI: 1.002~1.012, P<0.05)水平升高是PBC患者发生HT的独立危险因素。高龄(t=9.147)、UDCA治疗不应答(t=-2.727),AST(t=2.121)、ALP(t=2.446)、总胆红素(t=10.114)、IgA(t=4.162)、IL-6(t=2.033)水平升高,总蛋白(t=-3.384)、HDL(t=-3.887)、C3(t=-2.440)、C4(t=-2.422)水平降低,合并肝性脑病(t=3.685)、腹水(t=6.744)、gp210抗体阳性(t=3.125)是Mayo风险评分升高的独立危险因素(P值均<0.05),提示预后不良。PBC患者合并HT不是Mayo风险评分升高的独立危险因素(t=-0.077,P>0.05),并不影响患者预后。  结论  PBC患者常合并肝外自身免疫疾病,以甲状腺疾病最为多见,尤其是自身免疫性甲状腺炎,PBC合并HT的患者常伴更多的并发症和临床症状。PBC进展、甲状腺相关抗体TgAb、TPOAb升高是HT发生的独立危险因素,但合并HT并不影响PBC患者的预后。
论著_肝纤维化及肝硬化
LPRI评分在乙型肝炎肝纤维化及肝硬化中的诊断价值
周家玲, 王冰琼, 孙亚朦, 孟彤彤, 武珊珊, 马红, 欧晓娟, 尤红, 贾继东, 吴晓宁
2022, 38(7): 1529-1533. DOI: 10.3969/j.issn.1001-5256.2022.07.014
摘要(1340) HTML (285) PDF (2320KB)(120)
摘要:
  目的  肝纤维化程度的评估对于指导慢性乙型肝炎患者治疗及预测预后具有重要意义,本研究旨在评价LPRI评分对乙型肝炎肝纤维化/肝硬化初治人群的诊断价值。  方法  筛选首都医科大学附属北京友谊医院既往乙型肝炎研究队列2013年6月—2015年9月经肝穿刺确诊的慢性乙型肝炎患者276例。基于患者肝脏硬度测定(LSM)联合PLT计算LPRI评分,以肝脏病理为金标准,评价LPRI评分对于乙型肝炎肝纤维化及肝硬化的诊断价值。不符合正态分布计量资料多组间比较采用Kruskal-Wallis H秩和检验,计数资料组间比较采用χ2检验。各诊断模型与肝穿病理的相关性分析采用Spearman相关分析;通过DeLong法比较多个无创诊断模型(LPRI、LSM、APRI、FIB-4)的受试者工作特征曲线下面积(AUC)及诊断性能。采用Bootstrap方法对LPRI肝纤维化/肝硬化的诊断价值进行内部验证。  结果  根据肝纤维化程度的不同,分为F0/1组(n=63)、F2/3组(n=118)、F4组(n=95),3组间Alb、TBil、PLT、LSM、AFP及HBV DNA水平均具有统计学差异(P值均<0.05)。LPRI评分与肝穿病理有较好的相关性(r=0.501,P<0.001);对乙型肝炎显著性肝纤维化(AUC=0.88, 95%CI: 0.83~0.91)的诊断性能优于肝硬化(AUC=0.79, 95%CI: 0.73~0.83)。相比APRI评分和FIB-4指数,LPRI的诊断性能更好(P值均<0.05);与LSM联合后,LPRI评分能进一步补充LSM对肝硬化诊断的灵敏度(53%提高至82%)。经约登指数推荐的诊断显著性肝纤维化和肝硬化的LPRI评分界值分别为6.1(灵敏度71%,特异度92%)和6.9(灵敏度81%,特异度66%)。  结论  LPRI评分作为一种简易方便的肝纤维化无创诊断指数,在慢性乙型肝炎患者肝纤维化/肝硬化的诊断和分期中有一定的应用价值。
抗肝纤维化中药治疗对肝硬化并发肠系膜上静脉栓塞患者预后的影响
冯颖, 时克, 张晓华, 杨莉, 王宪波
2022, 38(7): 1534-1539. DOI: 10.3969/j.issn.1001-5256.2022.07.015
摘要(1185) HTML (355) PDF (2481KB)(76)
摘要:
  目的  通过抗肝纤维化中药治疗,分析对肝硬化并发肠系膜上静脉栓塞(SMVT)患者生存情况的影响。  方法  回顾性分析2017年1月—2020年6月在首都医科大学附属北京地坛医院住院治疗的231例肝硬化合并SMVT的患者临床资料,分为中药组(114例)和对照组(117例)。所有患者在针对原发病的常规治疗方案基础上,充分评估抗血栓指征,有必要者均应用标准抗血栓治疗;中药组在此基础上服用抗肝纤维化中药≥6个月。正态分布的计量资料两组间比较采用独立样本t检验;非正态分布的计量资料两组间比较采用Mann-Whitney U检验。计数资料组间比较采用χ2检验。采用Cox回归模型分析影响患者预后的独立性因素;观察患者发生终点事件(死亡)的情况,采用Kaplan-Meier法描绘生存曲线,用log-rank法进行比较检验;根据Child评分分层分析抗肝纤维化中药对不同级别肝功能患者预后的影响,以及不同种类抗肝纤维化中药对患者预后的影响。  结果  多因素分析显示年龄[风险比(HR)=1.039,95%CI:1.001~1.078,P=0.041]、CRP(HR=1.025,95%CI:1.009~1.041,P=0.003)是患者死亡的独立危险因素,而口服抗肝纤维化中药是保护性因素(HR=0.148,95%CI:0.051~0.429,P=0.001)。生存曲线分析显示中药组生存率高于对照组(95.6% vs 81.2%,χ2=17.032,P<0.000 1);进一步分析显示,Child-Pugh A级患者的生存率中药组高于对照组(100% vs 66.7%,χ2=4.003,P=0.045); Child-Pugh B级患者的生存率中药组亦高于对照组(96.7% vs 85.1%,χ2=10.788,P=0.002)。3种抗肝纤维化中药对患者预后影响差异无统计学意义(P>0.05)。  结论  年龄、CRP是影响肝硬化并发SMVT患者预后的独立危险因素;抗肝纤维化中药治疗能降低患者的病死率,特别是在Child-Pugh A级及B级患者中疗效更明显。
虫草菌丝通过抑制TLR4/NF-κB信号通路与血管生成素样蛋白4对肝纤维化小鼠模型的保护作用
张霖璋, 张定棋, 徐莹, 杨海琳, 戚胜兰, 张聪聪, 陈佳美, 刘平, 刘伟
2022, 38(7): 1540-1547. DOI: 10.3969/j.issn.1001-5256.2022.07.016
摘要(1349) HTML (376) PDF (6282KB)(68)
摘要:
  目的  探究虫草菌丝对CCl4诱导的肝纤维化小鼠模型的干预作用,及对Toll样受体4(TLR4)/核转录因子-κB(NF-κB)通路与血管生成素样蛋白4(ANGPTL4)的影响。  方法  将60只SPF级雄性C57/BL6J小鼠随机分为正常组、模型组、扶正化瘀方组及虫草菌丝低、中、高剂量组,每组各10只。模型组和各用药组注射15% CCl4-橄榄油,造模6周。在第4周首日开始给药,连续3周。分别采用血生化法检测小鼠血清ALT、AST、TBil水平或活性,HE和SR染色观察肝组织病理学,碱水解法测定肝组织羟脯氨酸(HYP)含量情况,PCR检测α-SMA、Col-Ⅰ的mRNA表达情况,免疫组化测定肝组织α-SMA、Col-Ⅰ与ANGPTL4蛋白表达,Western Blot检测α-SMA、ANGPTL4、TLR4、NF-κB/P-NF-κB、CD163蛋白的表达。计量资料多组间比较采用单因素方差分析,进一步两两比较采用LSD-t检验。  结果  与正常组比较,模型组小鼠血清ALT、AST、TBil水平均显著增加(P值均<0.01);与模型组比较,虫草菌丝高剂量组显著改善小鼠肝纤维化程度,血清ALT、AST、TBil水平均显著减少(P值均<0.05)。HE染色发现虫草菌丝高剂量组能显著减少肝组织炎性细胞浸润。SR染色发现,虫草菌丝高剂量组明显减轻肝脏胶原沉积。与正常组比较,模型组肝组织HYP含量、SR阳性染色面积比均显著增加(P值均<0.01);与模型组比较,虫草菌丝高剂量组肝组织HYP含量、SR阳性染色面积比均显著减小(P值均<0.05)。与正常组比较,免疫组化、PCR和Western Blot结果显示模型组肝组织中α-SMA和Col-Ⅰ mRNA及蛋白表达显著增加(P值均<0.01);与模型组比较,虫草菌丝高剂量组肝组织中α-SMA、Col-Ⅰ胶原纤维表达均显著减少(P值均<0.05)。与正常组比较,模型组肝组织ANGPTL4、TLR4、P-NF-κB/NF-κB、CD163蛋白表达均显著增加(P值均<0.01);与模型组比较,虫草菌丝高剂量组肝组织ANGPTL4、TLR4、P-NF-κB/NF-κB、CD163蛋白含量均显著降低(P值均<0.05)。  结论  虫草菌丝对CCl4诱导的小鼠肝纤维化具有显著治疗作用,其机制可能与调控TLR4/NF-κB信号通路及抑制肝组织ANGPTL4表达相关。
2型糖尿病及空腹胰岛素水平对肝硬化腹水患者发生自发性细菌性腹膜炎的影响
吴雪, 张依恋, 李萍, 宓余强
2022, 38(7): 1548-1553. DOI: 10.3969/j.issn.1001-5256.2022.07.017
摘要(1132) HTML (314) PDF (2419KB)(69)
摘要:
  目的  本研究拟讨论失代偿期肝硬化腹水患者发生自发性细菌性腹膜炎(SBP)的预测因素及2型糖尿病(T2DM)与空腹胰岛素水平对患者发生SBP风险的影响。  方法  选取2013年1月—2018年10月于天津市第二人民医院临床诊断为肝硬化伴腹水患者,回顾性分析其基本临床资料,并随访1年,记录发生SBP时间或随访终止时间,数据获取方式为查询患者的住院病历。计量资料两组间比较采用t检验或Mann-Whitney U检验,计数资料两组间比较采用χ2检验或Wilcoxon秩和检验。Cox回归分析肝硬化伴腹水患者SBP发生的相关因素。用Kaplan-Meier分析方法计算生存曲线,log-rank检验分析差异性,采用ROC曲线计算空腹胰岛素的最佳临界值。  结果  共纳入肝硬化腹水患者268例,发生SBP者98例(36.6%),1年内发生SBP的独立预测因素为基线时合并T2DM(HR=2.848,95%CI:1.470~4.195), TBil水平(HR=1.004,95%CI:1.001~1.007)与中性粒细胞百分比(N%)(HR=1.032,95%CI:1.010~1.055)(P值均<0.05)。Kaplan-Meier生存曲线分析表明,T2DM患者1年内SBP累积发生率明显高于非T2DM患者(χ2=16.821, P<0.05)。合并T2DM者88例(32.8%),基线空腹胰岛素≥20.49 μU/mL (HR=2.757,95%CI:1.499~5.071)可显著增加发生SBP的风险(P<0.05)。Kaplan-Meier生存曲线分析表明,空腹胰岛素≥20.49 μU/mL组比<20.49 μU/mL组1年内发生SBP的风险显著增高(χ2=13.297, P<0.05)。  结论  当肝硬化腹水患者出现无法解释的TBil与N%升高时,或合并T2DM及空腹胰岛素≥20.49 μU/mL时,应警惕SBP的发生,必要时可行进一步的干预措施,从而延缓疾病进展,改善预后。
超声剪切波频散成像对代偿期肝硬化高风险食管胃静脉曲张的诊断价值
王佳音, 周洪雨, 李庭红, 赵蕾, 徐佰国, 尹伟利, 王芳, 梁静, 经翔, 向慧玲
2022, 38(7): 1554-1560. DOI: 10.3969/j.issn.1001-5256.2022.07.018
摘要(1214) HTML (567) PDF (2530KB)(88)
摘要:
  目的  探讨佳能二维超声剪切波弹性成像(SWE)及频散成像(SWD)在诊断代偿期肝硬化高风险食管胃静脉曲张中的临床价值。  方法  选取2020年2月—2021年2月就诊于天津市第三中心医院接受电子胃镜检查的各种病因代偿期肝硬化患者58例,采用佳能Aplio i800彩色超声仪同期检查肝脏SWE及SWD。以胃镜结果将患者分为高风险食管胃静脉曲张(HREGV)组(n=22)及非高风险食管胃静脉曲张(NHREGV)组(n=36)。正态分布的计量资料两组间比较采用独立样本t检验,非正态分布的计量资料两组间比较采用Mann-Whitney U非参数检验。计数资料两组间比较采用χ2检验。采用多因素logistic回归分析筛选预测肝硬化高风险食管胃静脉曲张的无创指标。采用受试者工作特征曲线分析肝脏SWD及SWE对高风险食管静脉曲张的临床诊断价值。  结果  HREGV组与NHREGV组相比,SWD(t=-3.84,P<0.001)、病因(χ2=9.67,P=0.022)、TBil(Z=-2.00,P=0.045)脾脏直径(t=-2.44,P=0.018)、门静脉直径(Z=-1.96, P=0.005)差异均有统计学意义。代偿期肝硬化患者肝脏SWD平均(15.17±2.45) m·s-1·kHz-1,其中HREGV组肝脏SWD为(16.59±2.66)m·s-1·kHz-1,显著高于NHREGV组的(14.31±1.86) m·s-1·kHz-1(t=-3.84,P<0.001);HREGV组与NHREGV组的SWE差异无统计学意义(Z=-1.21, P=0.223)。SWD为代偿期肝硬化患者发生HREGV的独立危险因素(OR=1.67,95%CI:1.17~2.39,P=0.005)。SWD诊断HREGV的曲线下面积(AUC)为0.786,最佳临界值为15.35 m·s-1·kHz-1,特异度80.56%,敏感度81.82%;SWE诊断HREGV的AUC为0.596,特异度52.78%,敏感度68.18%,最佳临界值为9.25 kPa。  结论  佳能Aplio i800彩色超声测定的SWD有望作为一种新的无创检测方法,在一定程度上预测代偿期肝硬化患者HREGV的存在,SWE则诊断价值有限。
1型肝肾综合征患者90天预后危险因素分析及预测模型构建
朱冰冰, 杨晋翔, 张群, 高方媛, 王宪波
2022, 38(7): 1561-1565. DOI: 10.3969/j.issn.1001-5256.2022.07.019
摘要(1003) HTML (269) PDF (2217KB)(58)
摘要:
  目的  探讨影响失代偿期肝硬化合并1型肝肾综合征(HRS)患者90 d预后的相关危险因素。  方法  回顾性收集北京地坛医院2008年10月—2018年10月299例失代偿期肝硬化合并1型HRS的住院患者的临床资料,按照患者90 d的预后情况分为生存组(n=135)和死亡组(n=164)。符合正态分布的计量资料两组间比较用t检验,非正态分布的计量资料两组间比较采用Mann-Whitney U检验;计数资料两组间比较用χ2检验。采用多因素二元logistic回归分析影响HRS患者90 d预后的因素,绘制不同因素受试者工作特征曲线(ROC曲线)。  结果  单因素分析显示,两组间终末期肝病模型(MELD)评分、Child-Turcotte-Pugh (CTP)评分、肝性脑病、血清钠(Na)、血肌酐(SCr)、血尿素氮(BUN)、尿酸(UA)、ALT、AST、TBil、Alb、胆碱酯酶(ChE)、WBC、中性粒细胞(NE)、中性粒细胞与淋巴细胞比值(NLR)、红细胞(RBC)、红细胞分布宽度(RDW)、PLT、国际标准化比值(INR)比较,差异均有统计学意义(P值均<0.05)。logistic多因素分析发现,Na、BUN、RDW、INR是失代偿期肝硬化合并HRS患者90 d预后不良的独立影响因素[OR(95%CI)分别为0.918(0.880~0.957)、1.077(1.029~1.127)、1.019(1.005~1.032)、3.478(2.096~5.771),P值均<0.05]。针对以上4个因素建立预测模型HRS-D,绘制各个因素的ROC曲线并计算曲线下面积,HRS-D的ROC曲线下面积为0.813(95%CI:0.762~0.864),诊断界值为-1.264,灵敏度为76.50%,特异度为72.50%。HRS-D和MELD相比,差异有统计学意义(Z=3.804,P<0.001),HRS-D评分与CTP评分、CTP评分与MELD评分相比,差异均无统计学意义(P值均>0.05)。  结论  Na、BUN、RDW、INR是失代偿期肝硬化合并1型HRS患者90 d预后不良的独立影响因素,据此建立的预测模型可以较好预测患者的90 d预后情况。
论著_肝脏肿瘤
预测HBV相关肝细胞癌生存的列线图模型的建立
陈松海, 王春艳, 郭畅, 张珊, 邓亚, 陆荫英, 纪冬
2022, 38(7): 1566-1571. DOI: 10.3969/j.issn.1001-5256.2022.07.020
摘要(1274) HTML (484) PDF (3359KB)(135)
摘要:
  目的  筛选HBV相关肝细胞癌(HCC)死亡的危险因素并建立列线图预测模型。  方法  回顾性分析2010年1月—2020年1月在解放军总医院第五医学中心首次确诊为HBV相关HCC的700例患者的资料并进行随访,起点为HCC的诊断日期,终点为死亡。根据随访结果,分为死亡组(n=407)和生存组(n=293)。计量资料用组间比较采用独立样本t检验或Mann-Whitney U检验;计数资料组间比较采用χ2检验;采用Kaplan-Meier法计算生存率,log-rank检验进行单因素分析,应用多变量Cox比例风险回归筛选独立危险因素,并构建可预测1、3、5年生存率的列线图模型,采用200次10折交叉验证法对模型进行评价。  结果  两组的性别构成、Alb、TBil、ALT、AFP、CHE、LSM及BCLC分期比较差异均有统计学意义(P值均<0.05)。多因素分析显示男性[风险比(HR)=1.390,95%CI:1.077~1.794]、CHE(2500~5000 U/L)(HR=1.996,95%CI:1.470~2.710)、CHE<2500 U/L(HR=3.210,95%CI:2.188~4.709)、AFP≥400 ng/mL(HR=1.803,95%CI:1.412~2.303)、肝弹性值≥17.5 kPa(HR=1.719,95%CI: 1.349~2.190)、巴塞罗那分期B/C(HR=3.811,95%CI:2.994~4.852)、巴塞罗那分期D(HR=3.708,95%CI:2.520~5.455)为死亡的独立危险因素(P值均<0.05)。基于以上因素建立列线图模型,一致性指数为0.789(95%CI:0.769~0.809),校准曲线拟合良好,模型预测值与实际观测值之间的差异无统计学意义。  结论  本研究建立的列线图模型可以个体化预测HBV相关HCC患者的1、3、5年的生存率,有助于准确评估预后。
经肝动脉化疗栓塞联合局部消融治疗外科术后复发性肝癌的预后分析
冀柏宇, 郝芬林, 海江涛, 张俊生, 吴向阳, 金栋, 卢震辉
2022, 38(7): 1572-1576. DOI: 10.3969/j.issn.1001-5256.2022.07.021
摘要(1186) HTML (244) PDF (2058KB)(71)
摘要:
  目的  探讨外科术后复发性肝癌经肝动脉化疗栓塞(TACE)联合局部消融治疗的临床疗效及影响预后的危险因素。  方法  回顾性分析2017年1月—2020年12月于宁夏医科大学总医院接受TACE联合局部消融治疗的47例外科术后复发性肝癌患者的资料。局部消融治疗后开始随访,评价近期疗效并随访其生存情况。对可能影响预后的因素作单因素及多因素分析,单因素分析运用Kaplan-Meier模型及log-rank检验分析,多因素分析采用Cox比例风险回归模型。  结果  47例外科术后复发性肝癌患者治疗后3个月,总体有效率(ORR)为89.3%,疾病控制率(DCR)为95.7%;6、12、18、24个月总生存率分别为95.70%、76.40%、63.30%、58.00%。单因素分析及Cox比例风险回归显示:肿瘤边界不规整(RR=3.938,95%CI:1.709~9.073,P=0.005)和肿瘤位置临近危险区域(大血管、空腔脏器等)(RR=3.202,95%CI:1.415~7.245,P=0.001)与患者术后生存相关。  结论  TACE联合局部消融是治疗外科术后复发性肝癌的一种较为有效的治疗方式。肿瘤边界不完整和肿瘤位置临近危险区域(大血管、空腔脏器等)是影响此类患者术后生存的危险因素。
程序性细胞死亡受体-1及其配体与肝细胞癌患者预后和临床特征相关性的Meta分析
代鑫, 刘汉林, 程龙, 骆助林, 汪涛
2022, 38(7): 1577-1583. DOI: 10.3969/j.issn.1001-5256.2022.07.022
摘要(1064) HTML (330) PDF (3057KB)(74)
摘要:
  目的  系统评价程序性细胞死亡-1(PD-1)和程序性细胞死亡配体-1(PD-L1)的表达对肝细胞癌患者预后的影响。  方法  检索PubMed、Cochrane Library、Embase、中国生物医学数据库、中国知网、万方等数据库收集相关文献。纳入调查PD-1/PD-L1表达与肝细胞癌患者预后关系的队列研究或病例对照研究。采用RevMan 5.3软件对总生存期(OS)、无瘤生存期(DFS)进行Meta分析。  结果  共纳入20项符合条件的队列研究或病例对照研究。PD-1的表达与HCC患者的OS无关(HR=0.78, 95%CI: 0.31~1.97, P<0.05),但与DFS显著相关(HR=0.38, 95%CI: 0.24~0.58, P<0.01);PD-L1的表达与HCC患者的OS显著相关(HR=1.64, 95%CI: 1.26~2.15, P<0.05),但与DFS无关(HR=1.48, 95%CI: 0.88~2.49, P>0.05)。PD-1/PD-L1的表达与肝细胞癌患者临床特征无明显相关性(P>0.05)。  结论  PD-1/PD-L1表达与肝细胞癌患者预后具有相关性,但与临床特征无明显相关性。
论著_其他肝病
肺炎克雷伯菌肝脓肿的临床特征及预后影响因素分析
丁蕊, 谢雯, 刘丽改, 王琦, 曹颖
2022, 38(7): 1584-1589. DOI: 10.3969/j.issn.1001-5256.2022.07.023
摘要(1785) HTML (473) PDF (2391KB)(119)
摘要:
  目的  探讨肺炎克雷伯菌肝脓肿的临床特点及预后影响因素。  方法  回顾性选取2010年1月— 2020年1月在首都医科大学附属北京地坛医院住院、并且血培养或脓液培养阳性的肝脓肿患者。根据病原学结果分为肺炎克雷伯菌组(KP组)与非肺炎克雷伯菌组(非KP组)。比较两组之间临床特点。计量资料两组间比较采用两独立样本t检验或Mann-Whitney U检验。计数资料两组间比较采用χ2检验。采用多因素logistic回归分析筛选预后不良的独立影响因素,建立Nomogram预测模型,通过C-index对模型进行内部验证,利用决策曲线对模型进行分析。  结果  共纳入89例有明确病原学结果的肝脓肿患者,KP组48例,非KP组41例。与非KP组患者比较,KP组患者合并2型糖尿病(χ2=12.508,P<0.001)、高血压病(χ2=4.215,P=0.040)、脂肪性肝病(χ2=6.832,P=0.009)的比例较高,而合并恶性肿瘤病史(χ2=15.039,P<0.001)、人类免疫缺陷病毒(HIV)感染(χ2=15.039,P<0.001)、胆囊结石病史(χ2=5.834,P=0.016)的比例较低,KP组患者发生死亡结局的比例(χ2=4.115,P=0.042)亦较非KP组低。KP组白细胞计数(Z=-2.087,P=0.037)、血红蛋白(t=4.67,P<0.001)、纤维蛋白原(Z=-3.300,P=0.001)、C反应蛋白(Z=-3.276,P=0.001)、降钙素原(Z=-0.361,P<0.001)、ALT(Z=-2.436,P=0.015)水平较非KP组高。多因素logistic回归分析显示,合并脓毒症[比值比(OR)=9.110,95%CI: 1.268~65.443,P=0.028]、肺部感染(OR=17.720,95%CI: 2.661~118.010,P=0.003)、低白蛋白水平(OR=0.815,95%CI: 0.692~0.960,P=0.016)是肝脓肿预后不良危险因素,超声引导下脓腔穿刺治疗(OR=8.551,95%CI: 1.549~47.195,P=0. 014)为预后较好保护因素。  结论  KP肝脓肿可能更易发生于糖尿病、高血压、脂肪性肝病人群。合并脓毒症、肺部感染、低白蛋白水平是肝脓肿预后不良危险因素,超声引导下脓腔穿刺治疗为较好预后保护因素。基于本研究构建的列线图预测模型对肝脓肿患者进行干预治疗可改善患者预后。
超声引导下经皮肝穿刺活检在肝病诊断中的意义
杨文霞, 张静怡, 杨娴, 唐映梅
2022, 38(7): 1590-1594. DOI: 10.3969/j.issn.1001-5256.2022.07.024
摘要(1449) HTML (385) PDF (3410KB)(89)
摘要:
  目的  了解超声引导下经皮肝穿刺活检的疾病构成,以及肝穿刺在不同肝病中的诊断效能。  方法  收集2015年5月—2020年7月于昆明医科大学第二附属医院病理科行肝穿刺活检患者共918例,收集患者病理诊断和临床诊断资料,以临床诊断为标准,分析疾病构成比以及不同性别、年龄(<60岁、≥60岁)的疾病构成差异,统计肝穿刺诊断各型常见肝病的灵敏度、特异度、准确度、阳性预测值、阴性预测值、假阳性率和假阴性率。计数资料采用χ2检验或Fisher确切概率法进行组间比较。  结果  918例肝穿刺活检患者中,最常见的疾病依次为:恶性肿瘤(282例,30.72%),自身免疫性肝病(AILD)(139例,15.14%),慢性乙型肝炎(CHB)(118例,12.85%),药物性肝损伤(DILI)(49例,5.34%)、代谢相关性脂肪性肝病(MAFLD)(34例,3.70%),肝脓肿(26例,2.83%),良性肿瘤(18例,1.96%),寄生虫感染(18例,1.96%),酒精性肝病(ALD)(9例,0.98%)等;恶性肿瘤、CHB、ALD、肝脓肿比例男性高于女性(χ2值分别为31.67、19.61、4.68,P值均<0.05),AILD、DILI、寄生虫感染比例女性高于男性(χ2值分别为58.60、7.91、6.60,P值均<0.05);<60岁的患者恶性肿瘤、CHB、AILD、MAFLD比例高于≥60岁的患者(χ2值分别为105.90、7.58、20.03、6.97,P值均<0.01)。肝穿刺诊断各型肝病的准确度、特异度、阳性预测值和阴性预测值均接近100%,但灵敏度及假阴性率存在差异,恶性肿瘤、良性肿瘤、寄生虫感染灵敏度分别为93.26%、100%、94.40%,CHB、AILD、DILI灵敏度分别为87.29%、77.70%、76.60%,假阴性率分别为12.71%、22.30%、23.40%;MAFLD、ALD灵敏度分别为42.31%、44.44%,其假阴性率分别达57.69%、55.56%。  结论  肝穿刺主要疾病构成为肝脏恶性肿瘤、AILD、CHB、DILI、MAFLD等,肝穿刺对各型肝病均具有重要诊断价值,对恶性肿瘤、良性肿瘤、寄生虫感染具有较高诊断效能,CHB、AILD、DILI存在一定假阴性率,MAFLD、ALD诊断效能一般,临床应结合病史、临床特征、有无其他肝损伤等综合判断。
论著_胰腺疾病
合并脂肪肝对急性胰腺炎严重程度的影响
张苗, 张利荣, 罗琳, 陈强
2022, 38(7): 1595-1601. DOI: 10.3969/j.issn.1001-5256.2022.07.025
摘要(1479) HTML (481) PDF (1884KB)(75)
摘要:
  目的  通过对比急性胰腺炎(AP)合并脂肪肝及不合并脂肪肝患者的临床及影像资料,评价合并脂肪肝对AP严重程度的影响。  方法  收集2017年12月—2020年5月于内蒙古科技大学包头医学院第一附属医院收治的328例AP患者的临床资料,根据AP患者是否存在脂肪肝分为AP合并脂肪肝组(FLAP)和非合并脂肪肝组(NFLAP)。比较两组患者的一般资料、实验室检查指标及合并既往慢性病等参数之间的差异。分类变量以χ2检验进行组间的比较,连续性变量采用t检验或Mann-Whitney U检验进行数据的比较。采用Pearson线性相关分析连续性变量之间的相关性;采用Spearman等级相关分析等级变量之间的相关性。采用多因素logistic回归分析和卡方检验的方法分别评价中重度AP发生的影响因素及可能的风险预测指标。  结果  在328例纳入研究的AP患者中,FLAP患者133例(40.55%),NFLAP患者195例(59.45%)。AP的主要病因为高脂血症(42.1%),其次为胆石症(39.3%)。FLAP患者的平均年龄显著低于NFLAP[(41.32 ±11.43)岁vs (54.83±15.21)岁, t=8.704, P<0.001],而FLAP的男性比例(78.95% vs 55.38%, χ2=19.281, P<0.001)、合并慢性疾病比例(70.68% vs 45.64%, χ2=20.094, P<0.001)及中重度AP的发生率(59.4% vs 41.0%, χ2=10.686, P<0.01)显著高于NFLAP。FLAP的TG、TC、空腹血糖以及患者入院第1、2天的C-反应蛋白水平均显著高于NFLAP(Z值分别为-8.216、-5.637、-4.001、-3.053、-3.325,P值均<0.05)。FLAP的血淀粉酶、血脂肪酶、高密度脂蛋白、ALT、AST、TBil水平显著低于NFLAP(Z值分别为-5.401、-2.842、-3.594、-2.276、-2.643、-2.339,P值均<0.05)。低龄者(<50岁)(OR=1.84, 95%CI: 1.18~2.89, P<0.01)、既往患有高血压(OR=3.58, 95%CI: 1.96~6.54, P<0.001)及高脂血症(OR=3.36, 95%CI: 1.03~10.94, P<0.05)者均有较高的中重度AP患病风险。FLAP患者发生中重度AP的风险显著高于NFLAP(OR=2.10, 95%CI: 1.34~3.29, P<0.01)。  结论  FLAP患者的发病年龄较轻,多伴有高脂血症,且发生中重度AP的比例更高。脂肪肝不仅是中重度AP发生的影响因素,也是中重度AP风险预测的重要指标。
无创心排量联合中心静脉血氧饱和度监测对高脂血症性重症胰腺炎早期目标导向性液体复苏的指导作用
巫泓生, 马克强, 廖碧玲, 嵇腾飞, 黄健斌, 曹天生
2022, 38(7): 1602-1607. DOI: 10.3969/j.issn.1001-5256.2022.07.026
摘要(1223) HTML (423) PDF (1872KB)(64)
摘要:
  目的  探讨无创心排量(CO)联合中心静脉血氧饱和度(ScvO2)监测对高脂血症性重症胰腺炎患者早期目标导向性液体复苏的指导作用。  方法  选取广州市花都区人民医院2018年1月—2020年12月收治的84例高脂血症性重症胰腺炎患者为研究对象,患者随机分为研究组和对照组两组,每组各42例。对照组通过监测患者平均动脉压(MAP)及中心静脉压(CVP)进行目标导向性液体复苏;研究组通过床旁多普勒无创血流动力学检测仪动态监测患者CO,及PreSep导管经中心静脉导管监测患者ScvO2,指导患者目标导向性体液复苏。比较两组患者早期容量达标时间、腹痛症状缓解时间、胃肠功能恢复时间及甘油三酯(TG)恢复时间、治疗后6 h的血乳酸清除率,治疗前、治疗后第3、7天的APACHE-Ⅱ评分的变化情况及急性胰腺炎早期并发症发生情况。计量资料组间比较采用t检验,计数资料组间比较采用χ2检验。  结果  研究组容量达标时间较对照组明显提前[(8.7±1.6)h vs (19.6±2.1)h, t=-18.86, P<0.05]、腹痛症状缓解时间较对照组明显缩短[(3.4±1.2)d vs (5.8±1.5)d, t=-16.74, P<0.05]、胃肠道功能恢复时间较对照组明显提前[(5.6±2.3)d vs (8.2±2.5)d, t=-11.74, P<0.05]及血清TG降至正常水平时间较对照组明显缩短[(5.5±1.6)d vs (9.7±1.7)d, t=10.76, P<0.05];研究组第3天和第7天的APACHE-Ⅱ评分较对照组降低(11.86±1.88 vs 20.75±1.63, t=-17.36, P<0.05; 6.21±1.13 vs 14.36±1.53, t=-18.41, P<0.05),研究组入院后6 h动脉血乳酸水平较对照组明显降低[(4.24±0.23)mmol/L vs (5.07±0.17)mmol/L, t=-17.76, P<0.05], 而6 h动脉血乳酸清除率明显高于对照组[(23.74±0.44)% vs (10.74±0.67)%, t=-17.73, P<0.05];对两组患者早期并发症对比分析,研究组胰周急性坏死积聚发生率明显低于对照组(4.76% vs 19.05%, χ2=16.63, P<0.05)、肺部感染发生率较对照组明显降低(9.52% vs 38.10%, χ2=15.78, P<0.05)、胸腔积液发生率较对照组明显降低(35.71% vs 88.10%, χ2=8.96, P<0.05)、消化道出血发生率较对照组明显降低(7.14% vs 16.67%, χ2=7.45, P<0.05) 及器官功能衰竭发生率较对照组明显降低(11.90% vs 30.95%, χ2=7.96, P<0.05)。  结论  临床上应用无创CO联合ScvO2监测对高脂血症性重症胰腺炎患者的早期目标导向性液体复苏具有重要指导意义,能明显改善高脂血症性重症胰腺炎的临床救治效果。
病例报告
HBsAg>3000 IU/mL慢性乙型肝炎非优势人群临床治愈2例报告
黄燕, 张琼月, 罗二平, 赵卫峰, 甘建和
2022, 38(7): 1608-1611. DOI: 10.3969/j.issn.1001-5256.2022.07.027
摘要(1260) HTML (523) PDF (2842KB)(110)
摘要:
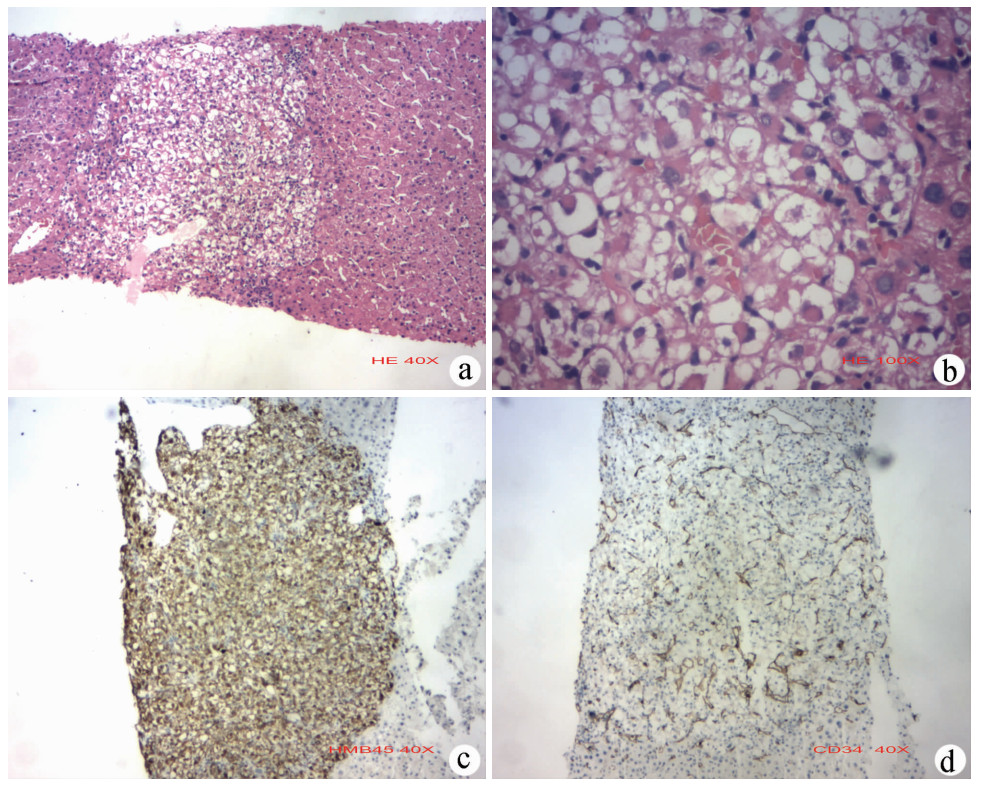
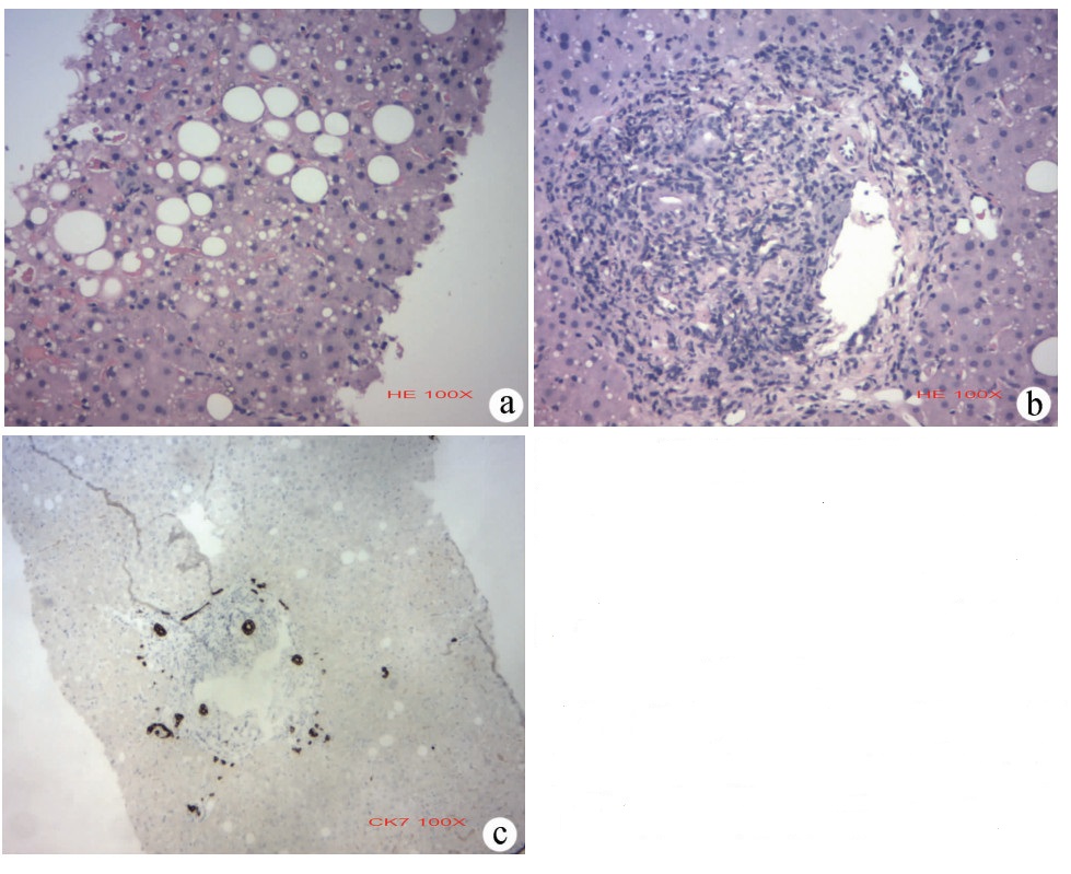
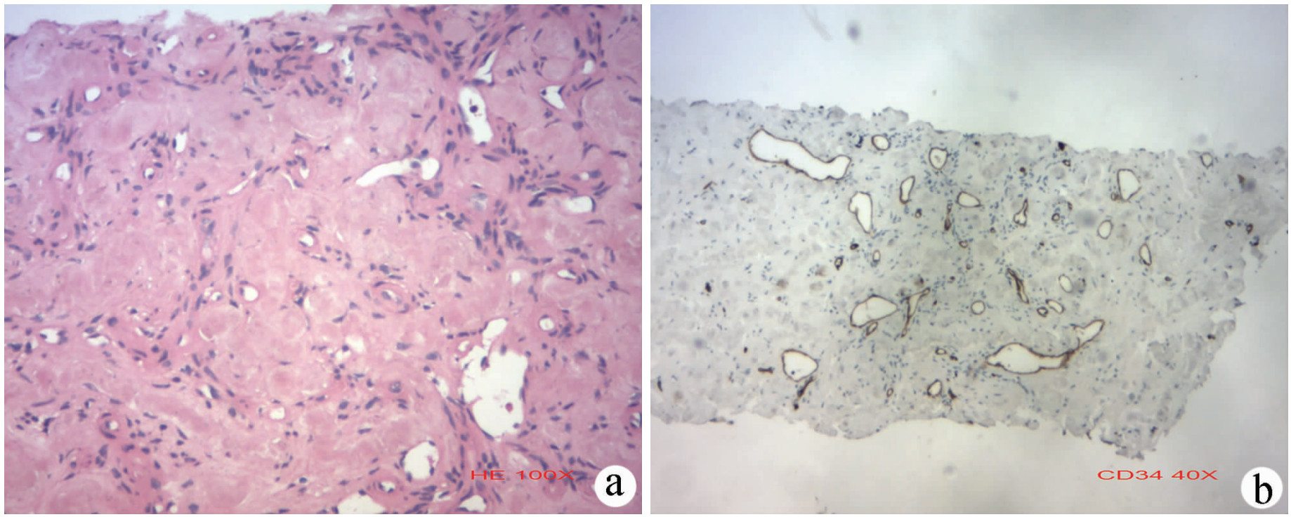
巨块型肝细胞癌转化治疗1例报告
李思柔, 周元龙, 刘珂良, 梁志波, 李靖华
2022, 38(7): 1612-1615. DOI: 10.3969/j.issn.1001-5256.2022.07.028
摘要(951) HTML (402) PDF (2763KB)(70)
摘要:
肝豆状核变性家系全基因组分析1例报告
胡亚欣, 程卓, 丛硕, 刘咏梅, 张宝芳, 雷榆, 严昭, 张懿炜, 蒲茜, 余蕾, 程明亮
2022, 38(7): 1616-1619. DOI: 10.3969/j.issn.1001-5256.2022.07.029
摘要(1078) HTML (344) PDF (3028KB)(94)
摘要:
儿童颅咽管瘤术后出现肝肺综合征1例报告
杜婷婷, 姚辉, 李亚坤, 黄小力, 罗杰
2022, 38(7): 1620-1625. DOI: 10.3969/j.issn.1001-5256.2022.07.030
摘要(1016) HTML (325) PDF (2776KB)(72)
摘要:
慢性胆管炎伴间质黏液变性误诊为胆管癌1例报告
范松松, 张芳, 杨立鹏, 曹学峰, 卢艳敏, 张兴元
2022, 38(7): 1626-1628. DOI: 10.3969/j.issn.1001-5256.2022.07.031
摘要(1364) HTML (341) PDF (2467KB)(54)
摘要:
综述
戊型肝炎病毒感染的免疫发病机制
李晓领, 张青, 王李安, 郑娟娟, 李海
2022, 38(7): 1629-1633. DOI: 10.3969/j.issn.1001-5256.2022.07.032
摘要(1213) HTML (300) PDF (2319KB)(96)
摘要:
戊型肝炎大多是急性自限性的,但免疫功能低下患者(如实体器官移植受者、HIV感染和血液疾病)会出现慢性感染。免疫反应是决定戊型肝炎病毒(HEV)感染结局的关键因素,其中包括天然免疫和适应性免疫。通过细胞培养、动物模型和临床试验等多种研究,对HEV免疫发病机制的认识更加深入,这些为HEV新的抗病毒治疗和有效疫苗的开发提供了思路。本综述讨论了近年来有关HEV的免疫发病机制,并提出了对该疾病预防及治疗的展望。
非酒精性脂肪性肝病的药物治疗进展
靳睿, 王晓晓, 刘峰, 饶慧瑛
2022, 38(7): 1634-1640. DOI: 10.3969/j.issn.1001-5256.2022.07.033
摘要(3255) HTML (3253) PDF (2729KB)(510)
摘要:
非酒精性脂肪性肝病(NAFLD)发病率逐年上升,正逐渐成为全球成人和儿童最常见的慢性肝病,其疾病谱中的非酒精性脂肪肝炎(NASH)可导致肝硬化和肝细胞癌。然而因NAFLD发病机制复杂,目前尚无有效的治疗药物。因此,NASH的新药研发是近年来研究的热点。本文总结了NASH发病机制重点阐明NASH潜在的治疗靶点及药物研究进展。
维生素D缺乏与代谢相关脂肪性肝病的关系
罗玲, 廖献花, 钟碧慧
2022, 38(7): 1641-1645. DOI: 10.3969/j.issn.1001-5256.2022.07.034
摘要(1492) HTML (629) PDF (2173KB)(91)
摘要:
代谢相关脂肪性肝病(MAFLD)为全球第一大慢性肝病,但发病机制仍不明确,尚缺乏有效的治疗药物。介绍了MAFLD患者常伴有维生素D缺乏,维生素D可能通过影响糖脂代谢、炎症信号通路、免疫调节、肠道微生态等多种途径参与MAFLD的发生发展。提出维生素D有望成为MAFLD的治疗药物,临床上需关注MAFLD患者维生素D水平的监测和管理,但其内在机制、具体补充剂量及疗程亟待深入探索。
肝硬化患者营养不良和衰弱的评估与临床管理
张一骏, 张茜, 罗新华
2022, 38(7): 1646-1649. DOI: 10.3969/j.issn.1001-5256.2022.07.035
摘要(1573) HTML (365) PDF (1845KB)(138)
摘要:
肝硬化患者营养不良和衰弱是相互联系的多维度问题。营养不良是导致机体衰弱的原因之一,而衰弱是人体机能障碍的综合表现,二者相互作用并进一步影响肝硬化患者的临床转归。因此,应及早发现、准确评估并积极治疗营养不良和衰弱,以减少临床并发症、延长生存期及改善生活质量。在针对肝硬化病因及并发症治疗的基础上,加强营养管理和体育锻炼是治疗营养不良及机体衰弱的主要措施,而睾酮替代等药物治疗的临床效果尚需进一步研究。
隐源性肝硬化的临床流行病学及病理学特征
韩瑞, 张缭云
2022, 38(7): 1650-1653. DOI: 10.3969/j.issn.1001-5256.2022.07.036
摘要(1924) HTML (471) PDF (1850KB)(134)
摘要:
隐源性肝硬化,又称不明原因肝硬化,是指部分患者难以用目前已知的病因解释的肝硬化,临床上约占所有肝硬化的5%~10%。本文就隐源性肝硬化的病因、临床特点、结局等临床流行病学特点及其病理学特征的研究进展进行综述,旨在扩展临床诊治思维、帮助临床诊断。
Hippo/YAP参与肝纤维化发生发展的作用机制
赵晓璐, 张春艳, 高晓阳, 马月宏
2022, 38(7): 1654-1657. DOI: 10.3969/j.issn.1001-5256.2022.07.037
摘要(1667) HTML (530) PDF (2065KB)(115)
摘要:
多种病因引起肝脏微环境的破坏而致肝组织结构功能丧失,启动肝纤维化进程,主要以肝星状细胞(HSC)活化为肌成纤维细胞, 分泌大量以胶原为主的细胞外基质(ECM)为特征表现。虽然目前对抗肝纤维化机制的研究已有很多,但仍缺乏有效的靶点药物应用于临床,近年来关于抗肝纤维化的研究多集中在肝纤维化进展期的干预,而忽略了早期肝纤维化的具体机制如何。最近关于Hippo信号在肝纤维化中的研究逐渐增多,集中于核心转录因子Yes相关蛋白(YAP)在早期活化HSC中的表达,及该通路调控HSC的状态,本文主要介绍了Hippo/YAP通路参与调控肝纤维化早期及进展期的作用,简述了调控核心因子YAP的稳定表达与核转位可逆转肝纤维化的潜在作用,表明了该通路可为临床治疗提供新的方向及靶点。
肝细胞癌治疗方式对门静脉压力的影响
陈博文, 程家敏, 张林枝, 雷进, 高小强, 陆荫英
2022, 38(7): 1658-1661. DOI: 10.3969/j.issn.1001-5256.2022.07.038
摘要(1180) HTML (285) PDF (1848KB)(97)
摘要:
肝硬化基础上发生的门静脉高压是肝细胞癌常见的合并症,也是影响治疗决策及生存预后的关键因素。肝细胞癌的不同治疗方式也会对门静脉压力起着不同的影响。既往文献显示,肝切除术、反复肝动脉化疗栓塞、奥沙利铂化疗、仑伐替尼治疗可导致门静脉压力升高,而索拉非尼、瑞戈非尼则在临床应用和/或动物实验中被证实在短期内发挥降低门静脉压力的作用。新型联合治疗方案,如阿替丽珠单抗联合贝伐珠单抗以及多纳非尼、阿帕替尼、安罗替尼等新上市的肝细胞癌一线或二线治疗靶向药物等对门静脉高压相关并发症如消化道出血等的影响在相关临床试验中也有报道,但对门静脉压力的整体影响尚待研究。
组合型非生物型人工肝治疗成人慢加急性肝衰竭的研究进展
王璐, 许文雄, 彭亮
2022, 38(7): 1662-1666. DOI: 10.3969/j.issn.1001-5256.2022.07.039
摘要(1290) HTML (481) PDF (2028KB)(85)
摘要:
慢加急性肝衰竭是临床常见的严重肝病症候群,短期病死率极高。非生物型人工肝是治疗慢加急性肝衰竭的有效手段之一。面对血源紧张、治疗理念的改变现状,非生物型人工肝的联合治疗可以做到优势互补,更好的满足临床需求。本文重点介绍组合型非生物型人工肝治疗慢加急性肝衰竭的临床应用及研究进展,并对其现存问题进行总结与展望。
肠道菌群在慢加急性肝衰竭中的意义
王富春, 李子怡, 张万洁, 毛小荣, 李俊峰
2022, 38(7): 1667-1670. DOI: 10.3969/j.issn.1001-5256.2022.07.040
摘要(1394) HTML (293) PDF (2278KB)(83)
摘要:
各种急性损伤因素作用于慢性肝病后,可导致病情急剧恶化,发展为慢加急性肝衰竭(ACLF)。肝病患者体内,肠道菌群毒素可通过门静脉或体循环至肝脏导致肝细胞死亡,此外,肠道菌群可通过多种机制发生移位,诱导感染、血管扩张和全身炎症反应发生,促使疾病进展为失代偿期肝硬化和ACLF,最终危及患者生命。本文梳理了近5年的相关研究成果,阐述肠道菌群在ACLF发生、发展、防治中的意义。肠道菌群及其代谢产物对肝病进展有着重大影响,因此有必要深入研究肠道菌群在ACLF病因学中的作用,为ACLF的诊断和治疗拓展新思路。
慢加急性肝衰竭的定义、预后评估及诊治进展
毕占虎, 王临旭, 连建奇
2022, 38(7): 1671-1676. DOI: 10.3969/j.issn.1001-5256.2022.07.041
摘要(2389) HTML (466) PDF (1880KB)(359)
摘要:
慢加急性肝衰竭(ACLF)是一种在慢性肝病基础上发生肝功能急性失代偿的临床综合征,目前全球尚无统一定义标准。其显著特征是肝病进展迅速,常伴发多器官功能衰竭,短期病死率高。慢性肝病以慢性病毒性肝炎和酒精性肝病最为常见。感染、酒精、肝毒性药物等是其发生的主要诱因,但有高达40%~50%的ACLF病例没有可识别的诱发因素。早期发现并准确评估病情对ACLF患者至关重要,但目前仍缺乏早期预警并准确评估病情的理想方法。目前的治疗方法主要为器官支持和并发症的治疗,肝移植是唯一能够改善预后的治疗手段,但如何选择合适的患者以及肝移植的时机仍存在一定争议。
G蛋白偶联受体在肝脏疾病中的作用
陈蕊, 章坤, 郭北辰, 李雨韩, 洪伟, 韩涛
2022, 38(7): 1677-1680. DOI: 10.3969/j.issn.1001-5256.2022.07.042
摘要(1366) HTML (832) PDF (2111KB)(145)
摘要:
慢性肝病严重威胁人们的健康,近年来研究发现一些G蛋白偶联受体(GPCR)及相关信号通路参与肝脏的生理病理过程并与非酒精性脂肪性肝病、肝硬化及肝癌等肝脏疾病相关。本文综述GPCR与肝脏疾病的关联,以期为肝脏疾病诊疗提供新策略。
胆道闭锁诊断方法的研究进展
孙溶涓, 詹江华
2022, 38(7): 1681-1685. DOI: 10.3969/j.issn.1001-5256.2022.07.043
摘要(1378) HTML (720) PDF (2359KB)(106)
摘要:
胆道闭锁患儿尽早、快速做出诊断,并及时进行手术干预,对提高其自体肝生存率至关重要。本文结合作者临床工作经验以及近年来最新研究进展,对快速诊断胆道闭锁的方法做一简要述评,分析对比不同诊断方式的优点与不足,为临床诊断思维的建立提供参考。
急性胰腺炎继发胰腺感染的危险因素及其时间分布
赵成思, 姚维杰, 袁鹏, 王佐正
2022, 38(7): 1686-1690. DOI: 10.3969/j.issn.1001-5256.2022.07.044
摘要(1555) HTML (386) PDF (2023KB)(86)
摘要:
急性胰腺炎继发胰腺感染是急性胰腺炎患者死亡的重要影响因素。本文回顾了近几年急性胰腺炎继发胰腺感染的危险因素相关研究,按疾病发展时间轴为主线对相关危险因素进行梳理,发现继发胰腺感染的危险因素存在于病程始终,影响因素概括起来分为“内在因素”和“外在因素”,“以时间轴为主线”关注并及时处理这些危险因素是急性胰腺炎“抗感染”治疗的首要任务,对疾病预后有重要意义。
Shwachman-Diamond综合征临床特征与管理
李梦萍, 王建设, 谢新宝
2022, 38(7): 1691-1693. DOI: 10.3969/j.issn.1001-5256.2022.07.045
摘要(1557) HTML (327) PDF (1839KB)(91)
摘要:
Shwachman-Diamond综合征是一种可累及全身多脏器的常染色体隐性遗传病,主要表现为胰腺外分泌功能不全、骨髓衰竭和骨骼发育异常,常有肝脏累及。为提高临床医生对该病的认识,本文总结了Shwachman-Diamond综合征的发病机制、临床特征、诊断及长期管理要点。Shwachman-Diamond综合征患儿早期诊断、早期治疗和规律随访是改善预后的关键。
新型冠状病毒相关自发性脾破裂的诊治
师鸿运, 权盼盼, 褚成龙, 徐露瑶, 刘晓燕, 王英超
2022, 38(7): 1694-1696. DOI: 10.3969/j.issn.1001-5256.2022.07.046
摘要(1454) HTML (530) PDF (1837KB)(52)
摘要:
新型冠状病毒肺炎(COVID-19)是由新型冠状病毒(SARS-CoV-2)感染引起的主要经呼吸道传播的急性病毒性疾病,其不仅侵袭人体呼吸系统,还损伤人体多个器官系统。现已有证据显示SARS-CoV-2与自发性脾破裂之间可能存在因果联系,本文认识到SARS-CoV-2相关性自发性脾破裂发生的可能性,并探讨其发生机制和诊治方案,避免临床上对其漏诊误诊。
国外期刊精品文章简介
Gastroenterology|餐后血浆脂质组学揭示非酒精性脂肪性肝病患者肝源性二酰甘油的特异性改变
2022, 38(7): 1607-1607. DOI: 10.3969/j.issn.1001-5256.2022.07.gwjpwzjj1
摘要(489) HTML (222) PDF (852KB)(48)
摘要:
GUT|FOXA2通过维持顶端MRP2表达来预防急性肝衰竭中的高胆红素血症
2022, 38(7): 1619-1619. DOI: 10.3969/j.issn.1001-5256.2022.07.gwjpwzjj2
摘要(527) HTML (131) PDF (856KB)(50)
摘要:
Liver International|亚洲地区酒精性肝病的流行特征(2000年—2020年)
2022, 38(7): 1625-1625. DOI: 10.3969/j.issn.1001-5256.2022.07.gwjpwzjj3
摘要(770) HTML (235) PDF (852KB)(71)
摘要:
读者·作者·编者
参考文献中英文期刊名称的缩写规则
2022, 38(7): 1583-1583.
摘要(489) HTML (485) PDF (843KB)(52)
摘要:
书讯
《疑难肝胆病临床思维》出版
2022, 38(7): 1533-1533.
摘要(365) HTML (230) PDF (847KB)(43)
摘要:
志谢
本期审稿专家
2022, 38(7): 1468-1468. DOI: 10.3969/j.issn.1001-5256.2022.07.zhixie1
摘要(468) HTML (166) PDF (846KB)(54)
摘要: