中文English
ISSN 1001-5256 (Print)
ISSN 2097-3497 (Online)
CN 22-1108/R

留言板

尊敬的读者、作者、审稿人, 关于本刊的投稿、审稿、编辑和出版的任何问题, 您可以本页添加留言。我们将尽快给您答复。谢谢您的支持!

姓名
邮箱
手机号码
标题
留言内容
验证码
2023年 第7期
“门静脉高压症的介入诊疗进展”重点号
执行主编:朱晓黎
苏州大学附属第一医院


显示方式:
述评
早期经颈静脉肝内门体分流术临床应用及研究进展
王泽, 黄金涛, 仲斌演, 沈健, 朱晓黎
2023, 39(7): 1513-1522. DOI: 10.3969/j.issn.1001-5256.2023.07.001
摘要(1321) HTML (597) PDF (1838KB)(205)
摘要:
经颈静脉肝内门体分流术(TIPS)是经颈静脉途径在肝静脉与门静脉之间穿刺建立门体分流通道以此来降低门静脉压力,从而控制急性食管胃静脉曲张出血(EGVB)。EGVB的预后在过去几十年有了显著的改善,目前内镜下套扎联合药物治疗被推荐为一线治疗方案。过去十年EGVB管理的最新进展和研究聚焦在相对较新的“early”或“pre-emptive”TIPS概念,即在标准治疗失败风险较高的EGVB患者中,推荐早期TIPS(入院72 h内,理想情况下24 h内)治疗。本文简要介绍早期TIPS对控制出血、病死率以及肝性脑病的影响,早期TIPS适用的高危人群、干预的时机及成本效益,早期TIPS在真实世界中的应用以及国际指南和共识对早期TIPS的推荐。
专家论坛
肝细胞癌系统治疗药物对门静脉高压的影响
康文迪, 骆银根, 杨正强, 李肖
2023, 39(7): 1523-1528. DOI: 10.3969/j.issn.1001-5256.2023.07.002
摘要(1218) HTML (381) PDF (1714KB)(205)
摘要:
我国肝细胞癌(HCC)患者绝大多数来源于乙型肝炎肝硬化,而90%的肝硬化患者都会发生门静脉高压,HCC患者中合并门静脉高压占15%~30%。门静脉高压症是一组以门静脉压力升高、门体侧支循环形成为特征的临床综合征,是肝硬化最主要的并发症之一。HCC与门静脉高压两者之间相互影响,门静脉高压严重影响HCC患者预后。HCC系统治疗方案的发展,为中晚期HCC患者提供了更多的治疗选择,主要包括分子靶向药物治疗、免疫治疗和化疗等。各种HCC系统治疗药物对门静脉高压的影响也不尽相同,本文就HCC常用系统治疗药物对于门静脉高压的影响予以综述。
失代偿期门静脉高压并发食管胃静脉曲张出血的防治:内镜 vs 经颈静脉肝内门体分流术
刘梦莹, 李伟之, 李培杰, 马富权, 陈羽玲, 孙焕焕, 高恬恬, 薛挥
2023, 39(7): 1529-1534. DOI: 10.3969/j.issn.1001-5256.2023.07.003
摘要(1486) HTML (252) PDF (1720KB)(174)
摘要:
食管胃静脉曲张出血(EGVB)是失代偿期门静脉高压症的主要并发症之一,尤其是肝硬化患者,病死率很高。EGVB以药物联合内镜标准防治为主;经颈静脉肝内门体分流术(TIPS)联合曲张静脉栓塞术在某些高危患者中也可优先选择,以肝静脉压力梯度为参考采取个体化诊治门静脉高压应当成为最新共识和主要策略。本文主要对失代偿期门静脉高压EGVB患者的内镜下防治及TIPS防治的相关适应证选择、并发症发生率及优劣予以综述。
经颈静脉肝内门体分流术治疗门静脉高压性顽固性腹水的现状及进展
王宏亮, 张岳林, 王凯冰, 周坦洋, 周官辉, 孙军辉
2023, 39(7): 1535-1540. DOI: 10.3969/j.issn.1001-5256.2023.07.004
摘要(1021) HTML (283) PDF (1715KB)(160)
摘要:
顽固性腹水是肝硬化失代偿期门静脉高压的常见并发症之一,预后极差,病死率较高。经颈静脉肝内门体分流术(TIPS)被多项国际及国内指南推荐用于大量腹腔穿刺抽放腹水(LVP)联合输蛋白治疗失败后的治疗方法之一。TIPS可有效控制腹水再发,但有增加肝性脑病的风险,且其是否能延长生存时间仍存在争议。随着对TIPS认识的不断深入、手术技术的成熟、支架材料的更新,迫切需要重新评价TIPS在治疗门静脉高压性顽固性腹水领域中的地位。本文对TIPS治疗门静脉高压性顽固性腹水的现状及进展作一综述。
肝硬化患者经颈静脉肝内门体分流术与肝硬化肌少症的关系
熊斌, 杨崇图
2023, 39(7): 1541-1546. DOI: 10.3969/j.issn.1001-5256.2023.07.005
摘要(1113) HTML (257) PDF (1720KB)(153)
摘要:
肌肉减少症(肌少症)是肝硬化的常见并发症,与不良预后显著相关。经颈静脉肝内门体分流术(TIPS)是治疗肝硬化门静脉高压相关并发症的重要手段。基于现有研究证据,分析了肌少症与TIPS术后肝硬化患者各结局事件(肝性脑病、死亡)发生的关联,以及肌少症对于现有预后模型预测能力的改善价值;此外,分析了TIPS术后肌少症的改善及其对于肝硬化患者临床管理的意义。从现有报道综合分析发现:基线肌少症与TIPS术后不良预后有关,建议在TIPS术前基于影像学检查常规评估患者营养状况;TIPS术可改善部分患者的营养状况,使得肌少症逆转或改善达到一定程度并可转化为生存获益,故对于部分存在肌少症且病情稳定的肝硬化患者,经综合评估后可尽早行TIPS治疗。
指南与规范
慢加急性肝衰竭中西医结合诊疗指南
中国中西医结合学会, 中华中医药学会, 中华医学会
2023, 39(7): 1547-1552. DOI: 10.3969/j.issn.1001-5256.2023.07.006
摘要(1644) HTML (399) PDF (2449KB)(263)
摘要:
慢加急性肝衰竭(ACLF)是在慢性肝病基础上,由各种诱因引起的以黄疸急性加深、凝血功能障碍等肝衰竭表现的临床症候群,短期内出现多脏器功能衰竭及高病死率是其主要特征。慢加急性肝衰竭中医学属于“急黄”“瘟黄”“肝瘟”等范畴,目前临床上尚缺乏特效的内科治疗手段。本指南以解决“中西医临床关键问题”为导向,工作组参考PICO(Participants、Interventions、Comparisons、Outcomes)原则构建ACLF相关临床问题,遵循循证医学原则,在对近10年ACLF中西医结合疗效临床证据进行系统梳理和客观评价的基础上,参考最新发表的国际、国内相关诊疗指南、专家共识等,并广泛征求多学科专家的意见,最终形成本指南, 旨在为临床医师诊断和治疗ACLF提供指导和参考意见,进一步提高我国ACLF诊治水平。
指南解读
《慢性乙型肝炎防治指南(2022年版)》解读
谢艳迪, 封波, 饶慧瑛
2023, 39(7): 1553-1559. DOI: 10.3969/j.issn.1001-5256.2023.07.007
摘要(5739) HTML (1238) PDF (1733KB)(1043)
摘要:
《慢性乙型肝炎防治指南(2022年版)》是以国内外慢性HBV感染的研究进展为依据,在既往多版指南基础上进行更新和修订而成。本文介绍了新版指南在自然史、无创纤维化诊断、治疗等多方面的更新内容。尤其是进一步扩大了慢性HBV感染者的治疗适应证,对干扰素的优势人群选择限定更清晰,对口服核苷(酸)类似物标准进行了更严格限制,对低病毒血症患者的处理更加积极,对免疫耐受期儿童的治疗也更积极。新版指南将为我国扩大筛查HBV感染者、提高诊断率、优化治疗方案、规范临床管理提供重要依据。
《丙型肝炎防治指南(2022年版)》解读:特殊人群抗病毒治疗
曾庆磊, 纪泛扑
2023, 39(7): 1560-1563. DOI: 10.3969/j.issn.1001-5256.2023.07.008
摘要(1167) HTML (358) PDF (1692KB)(264)
摘要:
中华医学会肝病学分会和感染病学分会于2022年组织国内专家对丙型肝炎防治指南进行更新,新版指南从流行病学、人群的筛查与预防、实验室检测、诊断流程和治疗方案的简化、特殊人群抗病毒治疗等方面进行了更新。本文拟对新指南中未明确提及的特殊人群包括孕妇和肝细胞癌患者的治疗及尚需解决的问题进行解读,以供临床医生在实际工作中参考与借鉴。
论著_病毒性肝炎
血脂指标对乙型肝炎相关慢加急性肝衰竭前期进展的预测价值
官敏, 李嘉妮, 高银杰, 李浩, 王孝平, 汤善宏
2023, 39(7): 1564-1569. DOI: 10.3969/j.issn.1001-5256.2023.07.009
摘要(869) HTML (221) PDF (1875KB)(93)
摘要:
  目的  分析血脂指标在慢加急性肝衰竭前期(pre-ACLF)和慢加急性肝衰竭(ACLF)组间的差异,并探讨患者进展的危险因素。  方法  回顾性分析西部战区总医院2012年1月—2020年12月ACLF组(n=118)和pre-ACLF组(n=44)患者的基线年龄、白蛋白、肌酐、血常规、血脂等指标。计量资料服从正态分布的两组间比较采用成组t检验;计量资料不服从正态分布的两组间比较采用Mann-Whitney U检验。计数资料两组间比较采用χ2检验。通过Logistic二元回归进行多因素分析,筛选独立预测因素。使用受试者工作特征曲线(ROC曲线)比较指标的敏感度和特异度,通过约登指数计算临界值。  结果  比较两组间年龄、肌酐、白蛋白、TBil、INR、ALT、AST、TG、TC、HDL、LDL、WBC和中性粒细胞计数水平的差异,发现ACLF组患者的TC[2.02(1.56~2.37) mmol/L vs 3.01(2.57~3.66) mmol/L,Z=5.411,P<0.001]、HDL[0.40(0.25~0.49) mmol/L vs 0.62(0.47~0.75) mmol/L, Z=4.781, P<0.001]、LDL [1.52(1.22~1.84) mmol/L vs 1.93(1.49~2.36) mmol/L, Z=3.146, P=0.002] 水平显著低于pre-ACLF组,ACLF组患者的TBil[352.13(284.32~ 451.19) μmol/L vs 135.80(112.80~154.68) μmol/L, Z=-9.775, P<0.001]、INR[1.96(1.71~2.51)vs 1.39(1.33~1.44), Z=-9.776, P<0.001]、WBC[6.74(5.07~9.19)×109/L vs 5.04(4.13~7.09)×109/L, Z=-3.985, P<0.001]、中性粒细胞水平[4.67(3.40~7.06)×109/L vs 3.30(2.72~5.01)×109/L, Z=-3.676, P<0.001]显著高于pre-ACLF组,两组间年龄、肌酐、白蛋白、ALT、AST和TG水平无显著差异(P值均>0.05)。进一步通过Logistic回归分析发现TC(OR=0.003, 95%CI:0.000~0.068)、LDL(OR=61.901, 95%CI:3.354~1 142.558)、WBC(OR=3.175, 95%CI:1.097~9.185)具有独立预测价值(P值均<0.05),ROC结果显示TC的AUC为0.852,LDL敏感度为0.887,TC特异度为0.840。  结论  血脂指标在pre-ACLF进展到ACLF过程中下降,提示临床医师需要关注pre-ACLF阶段脂质的变化,并及时调整营养方案。
论著_肝纤维化及肝硬化
74例特发性非硬化性门静脉高压症患者的临床特征分析
韦新焕, 张晶, 张志丽, 刘焱, 范丽娟, 宋健, 张月宁
2023, 39(7): 1570-1577. DOI: 10.3969/j.issn.1001-5256.2023.07.010
摘要(918) HTML (247) PDF (2041KB)(108)
摘要:
  目的  特发性非硬化性门静脉高压(INCPH)是一种少见的引起门静脉高压的病因,对INCPH患者的临床特点进行分析以辅助诊断及鉴别诊断。  方法  选取北京佑安医院2019年1月—2022年7月经肝穿刺病理明确诊断为INCPH的住院患者74例,并以同期住院的332例肝硬化患者作为对照组,记录其人口学指标、实验室指标、胃镜、肝弹性检查、病理检查及并发症等资料,进行组间差异比较,并根据受试者工作特征曲线(ROC曲线)评价LSM、APRI、FIB-4对INCPH的鉴别诊断能力,采用DeLong检验方法进行ROC曲线下面积(AUC)比较。符合正态分布的计量资料两组间比较采用成组t检验,非正态分布的计量资料两组间比较采用Mann-Whitney U检验。计数资料两组间比较采用χ2检验。  结果  INCPH患者中46.55%的患者起病时无明显症状,43.24%患者曾被误诊为肝硬化。INCPH患者合并消化道出血比例明显多于肝硬化患者(62.16% vs 41.27%,χ2 =10.67,P<0.01),但合并中-重度腹水患者比例明显少于肝硬化患者(16.21% vs 29.82%,χ2=34.98,P<0.01),无肝性脑病发生。病理方面,89.19%(66/74)患者病理表现为典型的闭塞性门静脉病。INCPH患者肝功能指标、MELD评分、Child-Pugh评分等指标明显优于肝硬化患者,肝硬度值[9.05(7.18~12.33) vs 25.32(16.21~47.23),Z=-8.41,P<0.01]、APRI评分[0.70(0.41~1.28) vs 1.35 (0.80~2.39),Z=-6.21,P<0.01]、FIB-4指数[2.99(1.62~4.81) vs 6.68(4.06~10.42),Z=-8.39,P<0.01] 均较肝硬化低。LSM、FIB-4、APRI对INCPH与肝硬化患者具有很好的鉴别诊断能力,尤其是LSM的AUC达到0.92(0.87~0.96),敏感度和特异度分别为92.68%和81.60%。  结论  INCPH患者起病较隐匿,门静脉高压相关并发症发生率较高,而肝功能相对较好,尤其是LSM<14.5 kPa的患者,临床遇到此类患者需警惕INCPH可能。
血清壳多糖酶3样蛋白1(CHI3L1)对肝硬化患者发生失代偿事件风险的预测价值
杨航, 赵黎莉, 韩萍, 陈庆灵, 文君, 刘洁, 程晓静, 李嘉
2023, 39(7): 1578-1585. DOI: 10.3969/j.issn.1001-5256.2023.07.011
摘要(1527) HTML (792) PDF (2209KB)(95)
摘要:
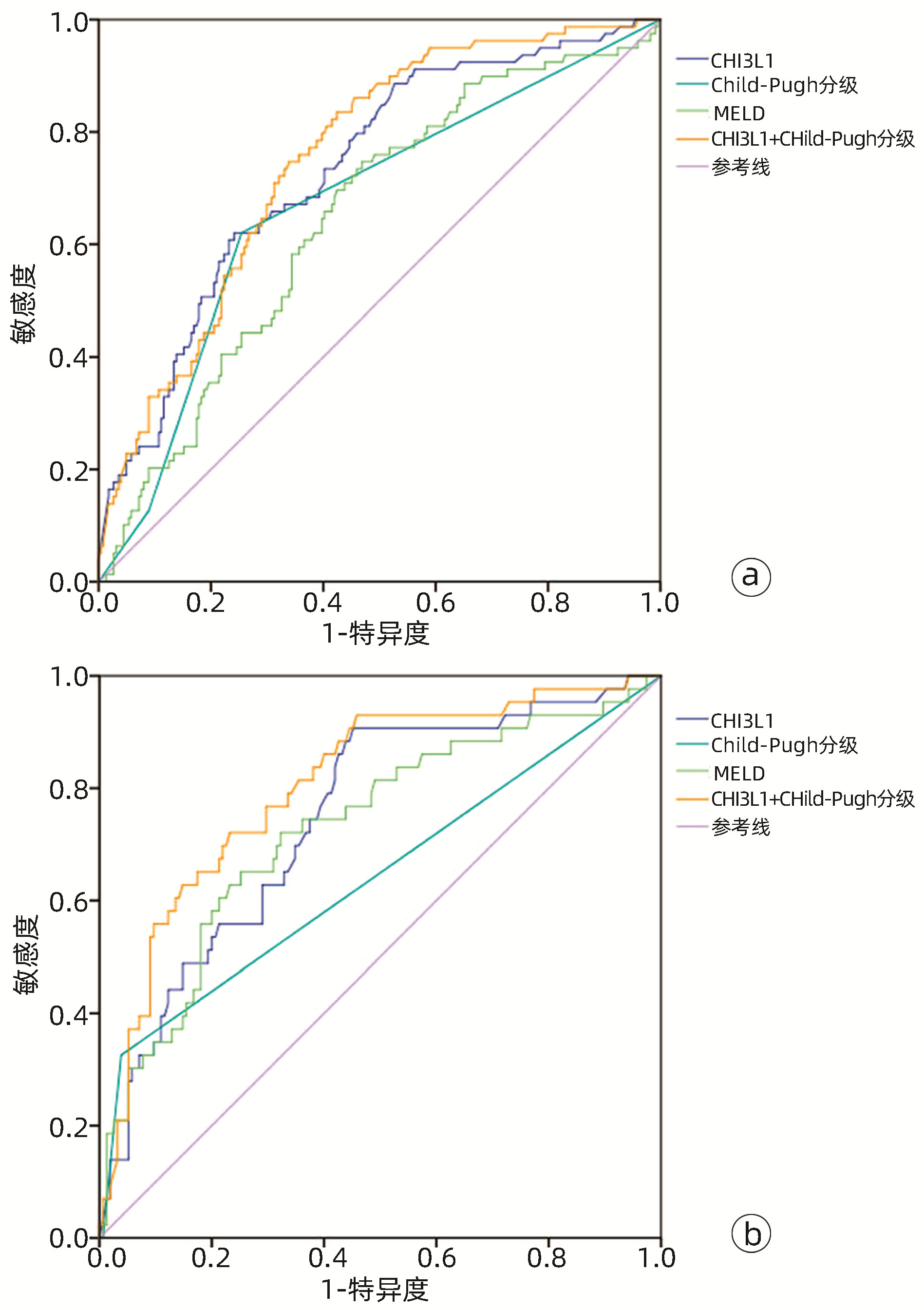
  目的  预测失代偿事件以采取积极的预防措施,是提高肝硬化患者生存期的关键。本文旨在探索血清壳多糖酶3样蛋白1(CHI3L1)对肝硬化患者发生失代偿事件风险的预测价值。  方法  纳入2019年1月—2021年5月于天津市第二人民医院诊疗的305例肝硬化患者,进行病例对照研究。其中基线时处于代偿期肝硬化的患者200例,处于失代偿期肝硬化的患者105例。将305例肝硬化患者,以1年内是否发生失代偿事件进行分组,其中发生失代偿事件组79例,未发生失代偿事件组226例;将200例代偿期肝硬化患者,以1年内是否发生首次失代偿事件进行分组,其中发生首次失代偿事件组43例,未发生首次失代偿事件组157例。符合正态分布的计量资料两组间比较采用成组t检验或Mann-Whitney U检验;计数资料两组间比较采用Wilcoxon秩和检验或χ2检验。采用二分类Logistic回归分析各变量与失代偿事件之间的相关性;采用受试者工作特征曲线(ROC曲线)下面积(AUC)来评价各变量对失代偿事件的预测价值,采用约登指数最大值来确定最佳临界值。  结果  1年内发生失代偿事件患者的基线血清CHI3L1水平高于未发生患者[243.00(136.00~372.00)ng/mL vs 117.50(67.75~205.25)ng/mL,U=4 720.500,P<0.001];1年内发生首次失代偿事件患者的基线血清CHI3L1水平高于未发生患者[227.98(110.00~314.00)ng/mL vs 90.00(58.00~168.50)ng/mL,U=1 681.500,P<0.001]。基线血清CHI3L1水平较高的肝硬化患者,1年内发生失代偿事件的风险增加(OR=1.004, 95%CI:1.002~1.006,P<0.001);基线血清CHI3L1水平较高的代偿期肝硬化患者,1年内发生首次失代偿事件的风险增加(OR=1.006, 95%CI:1.003~1.008,P<0.001)。使用基线血清CHI3L1水平预测代偿期肝硬化患者发生首次失代偿事件风险的AUC为0.751,最佳临界值为95.5 ng/mL,敏感度和特异度分别为90.7%和55.4%;联合血清CHI3L1和Child-Pugh分级建立预测模型,AUC为0.809,约登指数最大时敏感度和特异度分别为72.1%和77.1%。  结论  血清CHI3L1可做为代偿期肝硬化患者发生首次失代偿事件风险的有效预测因子,且在联合Child-Pugh分级后具有更高的预测价值。
论著_肝脏肿瘤
肝细胞癌合并肝硬化门静脉高压症腹腔镜同期联合手术术后肺部感染的危险因素分析
文静, 贾哲, 赫嵘, 张艳华, 张宏伟, 张珂
2023, 39(7): 1586-1591. DOI: 10.3969/j.issn.1001-5256.2023.07.012
摘要(883) HTML (210) PDF (1876KB)(72)
摘要:
  目的  观察腹腔镜同期联合手术治疗肝细胞癌(HCC)合并肝硬化门静脉高压症(PHT)术后肺部感染发生率并分析危险因素。  方法  回顾性分析2017年1月—2022年2月首都医科大学附属北京地坛医院普外科105例HCC合并肝硬化PHT腹腔镜同期联合手术患者临床资料。记录可能引起肺部感染的30项因素,包括基本情况、疾病因素、手术因素和术后因素。观察手术恢复情况,记录肺部感染发生情况。计数资料两组间比较采用χ2或Fisher精确检验。Logistic多因素回归分析筛选肺部感染的独立危险因素。  结果  105例患者中66例行腹腔镜断流联合肝切除术,39例行腹腔镜断流联合射频消融(RFA),均顺利完成手术,无中转开腹和术后非计划再次手术病例,无术后30 d和住院期间死亡病例,中位住院时间20(14~25)d。肺部感染发生率为25.71%(27/105)。吸烟(OR=3.362,95%CI: 1.282~8.817,P=0.014)、MELD评分(OR=3.801,95%CI: 1.007~14.351,P=0.049)、肿瘤位置(OR=1.937,95%CI: 1.169~3.211,P=0.010)、手术方式(OR=0.006,95%CI: 0.001~0.064,P<0.001)、术中输液量(OR=4.871,95%CI: 1.211~19.597,P=0.026)和术后合并胸水(OR=9.790,95%CI: 1.826~52.480,P=0.008)为肺部感染的独立危险因素。  结论  HCC合并肝硬化PHT腹腔镜同期联合手术患者具有较高肺部感染风险。术后合并胸水是引发肺部感染的高危因素,断流联合RFA可显著降低肺部感染风险。应加强术前预康复、围手术期肝功能维护、术中损伤控制和目标导向性液体治疗、减轻术后第三间隙积液,以降低肺部感染发生。
肝动脉灌注化疗及其综合治疗方案对中晚期肝细胞癌患者的临床疗效及预后因素分析
戴文聪, 臧梦雅, 袁国盛, 李祺, 李榕, 李文利, 董书语, 陈锦章
2023, 39(7): 1592-1599. DOI: 10.3969/j.issn.1001-5256.2023.07.013
摘要(1476) HTML (1025) PDF (2254KB)(92)
摘要:
  目的  本研究旨在观察FOLFOX方案持续肝动脉灌注化疗(HAIC)及其综合治疗方案对中晚期肝细胞癌患者的临床疗效并分析影响预后的因素。  方法  回顾性收集南方医科大学南方医院2018年9月—2021年11月行FOLFOX方案持续HAIC的66例中晚期肝细胞癌患者临床资料。观察治疗后患者的客观缓解率、疾病控制率、中位无疾病进展生存时间(mPFS)和中位生存时间(mOS)并记录治疗相关不良反应。针对伴有门静脉癌栓的患者,评价治疗对门静脉癌栓的疗效。采用Kaplan-Meier法进行生存分析。采用Cox回归分析影响预后的因素。  结果  按照RECIST1.1标准,FOLFOX-HAIC及其综合治疗方案治疗66例中晚期肝细胞癌患者的客观缓解率和疾病控制率分别为33.3%(22/66)、86.4%(57/66),mPFS和mOS分别为8.2个月和22.1个月。其中39例合并门静脉癌栓的肝癌患者中完全缓解2例,部分缓解8例,稳定24例,进展5例。客观缓解率为25.6%(10/39),疾病控制率为87.2%(34/39)。不良反应主要为消化道反应16.7%(11/66)、发热12.1%(8/66)、肝区疼痛10.6%(7/66)、骨髓抑制3.0%(2/66)和造影剂过敏3.0%(2/66)。无Ⅳ级以上的毒副反应。无并发症导致的死亡。Cox分析显示肝外转移(HR=2.668, 95% CI:1.357~5.245)和凝血酶原时间(HR=1.282, 95%CI:1.080~1.630)是影响患者PFS的独立危险因素(P值均<0.05), AST水平(HR=1.008, 95%CI:1.002~1.013)和凝血酶原时间(HR=1.303, 95%CI:1.046~1.630)是影响患者OS的独立危险因素(P值均<0.05)。  结论  FOLFOX-HAIC及其综合治疗方案治疗中晚期肝细胞癌有一定的疗效,不良反应可控。
基于HALP评分的列线图模型对肝细胞癌患者肝切除术后预后的预测价值
刘卓然, 黎靖, 周宇, 熊平福, 杨粒, 付文广
2023, 39(7): 1600-1608. DOI: 10.3969/j.issn.1001-5256.2023.07.014
摘要(1029) HTML (447) PDF (2967KB)(76)
摘要:
  目的  探讨HALP评分在肝细胞癌(HCC)患者肝切除术后预后评估中的应用价值,分析基于HALP评分的列线图模型能否有效预测患者术后生存情况。  方法  回顾性分析2013年7月—2020年3月在西南医科大学附属医院肝胆外科手术治疗的253例HCC患者临床资料。通过绘制ROC曲线,计算出HALP和其他有关指标的最佳截断值。采用χ2检验分析HALP与临床病理特征之间的关系。使用Kaplan-Meier方法绘制生存曲线,并采用Log-rank检验进行比较。进行单因素分析和多因素Cox回归模型,分析HALP及其他临床参数与患者预后的关系。通过R 3.6软件构建列线图,使用C指数及校准图评价列线图的预测能力,通过净重新分类指数(NRI)、综合判别改善指数(IDI)比较列线图模型和传统模型的预测能力。  结果  Kaplan-Meier分析显示高HALP组患者OS、RFS优于低HALP组,差异均有统计学意义(P值均<0.001)。单因素Cox回归分析显示WBC、GGT、ALP、AFP、手术方式、微血管侵犯、TNM分期、分化程度、HALP、AST/ALT、NLR、MLR均与总生存期(OS)显著相关(P值均<0.05),将单因素Cox回归分析中有统计学意义的变量纳入多因素Cox回归分析,结果显示HALP、AST/ALT、ALP、AFP、分化程度、TNM分期是HCC患者术后OS的独立影响因素(P值均<0.05)。单因素Cox回归分析显示GGT、ALP、AFP、微血管侵犯、TNM分期、分化程度、HALP、AST/ALT、NLR、MLR均与无复发生存期(RFS)显著相关(P值均<0.05);多因素Cox回归分析,结果显示HALP、AST/ALT、NLR、ALP、AFP、TNM分期是HCC患者术后RFS的独立影响因素(P值均<0.05)。根据多因素分析结果分别构建HCC患者OS、RFS的列线图,计算预测OS列线图的C指数为0.732(0.691~0.774),预测1、3、5年生存率的AUC分别为0.795、0.791、0.775。预测RFS列线图的C指数为0.677(0.637~0.717),预测1、3、5年生存率的AUC分别为0.742、0.733、0.716;并且1、3、5年OS、RFS校准图表现出了较好的拟合度。  结论  术前低水平HALP是接受手术治疗的HCC患者长期预后不佳的预测因素,基于HALP评分的列线图模型优于BCLC分期模型,可以更好地预测HCC的预后情况。
微波消融联合全身化疗治疗复发性肝内胆管癌的有效性与安全性分析
魏春, 刘宇, 李波, 蒋鸥
2023, 39(7): 1609-1616. DOI: 10.3969/j.issn.1001-5256.2023.07.015
摘要(1026) HTML (287) PDF (2115KB)(61)
摘要:
  目的  探讨微波消融(MWA)联合化疗与单独MWA治疗复发性肝内胆管癌(RICC)的有效性和安全性。  方法  采用回顾性队列研究方法。选取2014年1月—2021年3月内江市第二人民医院及西南医科大学附属医院接受MWA+ 化疗和单独MWA的RICC患者,收集入组患者的临床病理资料。计量资料两组间比较采用成组t检验,计数资料两组间比较采用χ2检验和Fisher精确检验。釆用Kaplan-Meier法计算无进展生存期(PFS)和总生存期(OS)。使用Log-rank检验方法比较生存差异。应用单因素和多因素Cox比例风险回归模型分析生存预后的危险因素。  结果  共筛选到106例RICC患者,其中MWA+化疗组55例,MWA组51例。至随访截止,MWA+化疗组的中位PFS为15.0个月(95%CI:14.5~15.5),MWA组中位PFS为13.4个月(95%CI:11.6~15.2),两组差异有统计学意义(χ2=9.624,P=0.002)。MWA+化疗组的中位OS为21.0个月(95%CI:20.0~21.8),MWA组中位OS为18.0个月(95%CI:16.3~19.7),两组差异有统计学意义(χ2=12.784,P<0.001)。Cox回归分析显示,肿瘤直径(HR=0.425, 95%CI:0.208~0.868,P=0.019;HR=0.299, 95%CI:0.121~0.739,P=0.009)、复发时间(HR=7.064, 95%CI:3.612~13.618,P<0.001;HR=2.341, 95%CI:1.072~5.113,P=0.033)及联合化疗(HR=0.138, 95%CI:0.069~0.276,P<0.001;HR=0.175, 95%CI:0.081~0.380,P<0.001)是RICC患者PFS和OS的独立影响因素。两组常见不良反应中,除血液学毒性发生率(χ2=12.524,P<0.001)外,其余不良反应发生率差异均无统计学意义(P值均>0.05)。  结论  与单独MWA相比,MWA+化疗可以改善RICC的预后,延长其PFS和OS,且副反应安全可控。肿瘤直径>5 cm、复发时间<1年、未联合全身化疗的患者预后不良。
论著_其他肝病
沙棘熊果酸通过调节线粒体-细胞色素c抑制酒精性肝病大鼠模型肝细胞凋亡的作用分析
包艳红, 王强, 张文龙, 戈娜, 李楠, 苏军, 李可欣
2023, 39(7): 1617-1626. DOI: 10.3969/j.issn.1001-5256.2023.07.016
摘要(1184) HTML (529) PDF (4153KB)(76)
摘要:
  目的  基于线粒体-细胞色素c途径探讨沙棘熊果酸对酒精性肝病大鼠肝细胞凋亡的抑制作用。  方法  根据随机数字表将50只SPF级雄性Wistar大鼠进行完全随机分组,分为正常对照组、酒精模型组、沙棘熊果酸低、中和高剂量组,每组10只。正常对照组给予每日1次生理盐水灌胃8周;酒精模型组用阶梯式浓度酒精灌胃的方法持续灌胃8周;沙棘熊果酸组分别按50 mg/kg、100 mg/kg和150 mg/kg灌胃,1 h后再灌喂模型组同等剂量酒精。测定各组大鼠血清肝功能指标;HE染色观察肝组织病理情况;电镜下观察大鼠肝细胞超微结构;TUNEL法检测大鼠肝细胞凋亡情况;Western Blot法检测肝细胞线粒体和胞浆细胞色素c和活化caspase-3蛋白表达水平。计量资料多组间比较采用单因素方差分析,进一步两两比较采用LSD-t检验。  结果  与酒精模型组相比,沙棘熊果酸中、高剂量组大鼠血清ALT、AST和胆碱酯酶水平均下降(P值均<0.05);酒精模型组大鼠肝细胞索排列紊乱,肝细胞水肿、脂肪变性明显,而沙棘熊果酸中、高剂量组大鼠肝细胞索排列逐渐趋于正常、肝脂肪变性明显改善;肝细胞线粒体数目增加、形态明显改善;肝细胞凋亡率、胞浆细胞色素c和活化caspase-3蛋白的表达均低于酒精模型组(P值均<0.05)。  结论  沙棘熊果酸可改善酒精性肝病大鼠肝功能和肝组织形态,可能与抑制肝细胞线粒体细胞色素c的释放及caspase-3蛋白的活化,通过线粒体-细胞色素c途径抑制肝细胞凋亡有关。
原位肝移植术后胆道并发症发生的影响因素分析
朱明强, 杨大帅, 裴俊鹏, 熊祥云, 苏洋, 丁佑铭
2023, 39(7): 1627-1632. DOI: 10.3969/j.issn.1001-5256.2023.07.017
摘要(713) HTML (440) PDF (1878KB)(58)
摘要:
  目的  分析原位肝移植术后胆道并发症相关的血清学指标、手术指标, 探究其影响因素及预测指标。  方法  回顾性收集武汉大学人民医院2016年1月-2022年6月101例行原位肝移植患者的临床资料。根据患者术后6个月是否出现胆道并发症, 分为胆道并发症组(BC组, n=21)和非胆道并发症组(非BC组, n=80)。计量资料两组间比较采用成组t检验或Mann-Whitney U检验, 计数资料两组间比较使用χ2检验。单因素与多因素分析采用Logistic回归分析, 并以受试者工作特征曲线(ROC曲线)评估联合指标的预测效能。  结果  101例患者中21例(20.8%)发生胆道并发症。Logistc多因素分析结果显示, MELD评分(OR=0.134, 95%CI: 0.031~0.590, P=0.008)、全身炎症反应指数(SⅡ)/Alb (OR=1.415, 95%CI: 1.181~1.696, P=0.001)、输入血浆量(OR=1.001, 95%CI: 1.000~1.002, P=0.032)是肝移植患者术后发生胆道并发症的独立影响因素。MELD评分、SⅡ/Alb、输入血浆量、MELD+SⅡ/Alb、MELD+SⅡ/Alb+输入血浆量预测肝移植术后胆道并发症的ROC曲线下面积(AUC)分别为0.712、0.870、0.712、0.900、0.918。  结论  SⅡ/Alb、输入血浆量及MELD评分是肝移植术后胆道并发症发生的影响因素, 三者联合具有较好的预测价值和临床指导意义。
论著_胰腺疾病
早期胸腔穿刺引流对重症急性胰腺炎急性肺损伤的影响
王旭阳, 王张鹏, 吴俊, 景光旭, 黄竹, 孙红玉, 汤礼军
2023, 39(7): 1633-1642. DOI: 10.3969/j.issn.1001-5256.2023.07.018
摘要(1036) HTML (348) PDF (2121KB)(58)
摘要:
  目的  探讨重症急性胰腺炎(SAP)伴发的少、中量胸腔积液早期穿刺引流对SAP患者急性肺损伤的影响。  方法  回顾性分析中国人民解放军西部战区总医院2015年1月-2021年12月收治的107例SAP患者临床资料, 根据入院后前3天是否进行胸腔穿刺置管引流, 分为胸腔穿刺置管引流组(TPD组, 51例)和非胸腔穿刺置管引流组(N-TPD组, 56例)。分别比较入院后第5天、第10天两组相应时间节点实验室指标及临床结局。正态分布或近似正态分布的计量资料两组间比较采用成组t检验, 非正态分布的计量资料两组间比较采用Mann-Whitney U检验, 计数资料两组间比较采用χ2检验。  结果  TPD组重症监护病房住院时间、总住院时间、住院费用明显少于N-TPD组(P值均 < 0.05);而TPD组与N-TPD组患者病死率(9.8% vs 14.3%, χ2=0.502, P=0.478)、脓毒症发生率(29.4% vs 44.6%, χ2=2.645, P=0.104)比较差异无统计学意义。TPD组急性呼吸窘迫综合征(ARDS)发生率明显降低(χ2=6.038, P=0.043), 且中度ARDS发生率显著低于N-TPD组, 差异有统计学意义(7.8% vs 21.4%, χ2=3.874, P=0.049)。TPD组患者机械通气使用率明显低于N-TPD组(35.3% vs 57.2%, χ2=6.735, P=0.034), 且有创机械通气患者, TPD组明显低于N-TPD组(9.8% vs 26.8%, χ2=5.065, P=0.024)。TPD组肺部感染发生率显著低于N-TPD组(23.5% vs 42.9%, χ2=4.466, P=0.035), TPD组全身炎症反应综合征持续时间缩短[(11.2±5.0) d vs (16.8±4.7) d, t=5.949, P < 0.001]。在入院后第5、10天, TPD组患者实验室指标(超敏C反应蛋白、IL-1、IL-6、IL-8和TNF-α、动脉血气氧分压、氧饱和度、氧合指数)、呼吸衰竭发生率均显著优于N-TPD组(P值均 < 0.05)。入院后第10天, TPD组APACHE Ⅱ评分、改良Mashall评分均显著优于N-TPD组(P值均 < 0.05)。  结论  对于SAP伴发少、中量胸腔积液患者, 早期进行胸腔穿刺引流, 可有效改善患者的急性肺损伤, 减轻全身炎症反应, 缩短住院时间, 减少住院费用。
东西方国家急性坏死性胰腺炎影响因素的Meta分析
马书丽, 杨晓曦, 陈晨, 喻静, 周游, 路国涛, 向晓星, 龚卫娟, 陈炜炜, 陈娟
2023, 39(7): 1643-1656. DOI: 10.3969/j.issn.1001-5256.2023.07.019
摘要(940) HTML (350) PDF (2023KB)(58)
摘要:
  目的  探讨东西方国家急性坏死性胰腺炎(ANP)及感染性坏死性急性胰腺炎(IPN)影响因素的区别, 为预测和预防ANP的发生提供理论依据。  方法  在PubMed、Embase、Cochrane library、Web of Science等数据库检索公开发表的有关ANP、IPN的影响因素, 检索期限为建库至2021年1月21日, 运用Meta分析方法进行整合分析。  结果  共纳入59项研究, 其中22项来自东方国家, 37项来自西方国家。  结果  显示, ANP的影响因素: 在东方为男性(OR=1.51, 95%CI: 1.18~1.91, P < 0.01)、CRP (SMD=1.39, 95%CI: 1.06~1.71, P < 0.01)、D-二聚体(SMD=0.44, 95%CI: 0.07~0.81, P=0.02)、APACHE-Ⅱ评分(MD=3.51, 95%CI: 1.38~5.64, P < 0.01)、酒精性病因(OR=3.57, 95%CI: 2.68~4.75, P < 0.01)、胆源性病因(OR=0.60, 95%CI: 0.46~0.77, P < 0.01);在西方为男性(OR=1.63, 95%CI: 1.30~2.05, P < 0.01)、CRP (SMD=2.09, 95%CI: 1.12~3.05, P < 0.01)、APACHE-Ⅱ评分(MD=4.28, 95%CI: 2.73~5.83, P < 0.01)、Ranson评分(MD=2.99, 95%CI: 2.50~3.47, P < 0.01)和器官衰竭(OR=10.87, 95%CI: 2.62~45.04, P < 0.01)。IPN的影响因素: 在东方为年龄(MD=2.16, 95%CI: 0.43~3.89, P=0.01)、BMI (MD=1.74, 95%CI: 1.23~2.25, P < 0.01)、白蛋白水平(SMD=-0.43, 95%CI: -0.75~-0.12, P < 0.01)、CRP (SMD=0.58, 95%CI: 0.04~1.11, P=0.03)、PCT (SMD=0.80, 95%CI: 0.56~1.04, P < 0.01)、D-二聚体(MD=0.23, 95%CI: 0.15~0.31, P < 0.01)、APACHE-Ⅱ评分(MD=2.47, 95%CI: 0.73~4.22, P < 0.01)、Ranson评分(MD=1.60, 95%CI: 1.46~1.73, P<0.01)和坏死范围≥30%(OR=2.52, 95%CI: 1.26~5.06, P < 0.01);在西方为年龄(MD=4.07, 95%CI: 1.82~6.31, P < 0.01)、APACHE-Ⅱ评分(MD=3.28, 95%CI: 1.39~5.17, P < 0.01)、Ranson评分(MD=2.18, 95%CI: 1.75~2.62, P < 0.01)、SIRS评分(OR=3.88, 95%CI: 1.58~9.51, P < 0.01)、酒精性病因(OR=0.61, 95%CI: 0.42~0.87, P < 0.01)和器官衰竭(OR=3.63, 95%CI: 1.11~11.92, P=0.03)。  结论  当前证据显示, 东方人群ANP的特异性影响因素为胆源性病因及酒精性病因, 而Ranson评分是西方人群ANP的特异性影响因素; BMI和坏死范围≥30%是东方人群IPN特异性影响因素, 酒精性病因是西方人群IPN特异性影响因素。
血清IL-6和TNF-α对重症急性胰腺炎的早期诊断价值分析
何健, 俞隼, 张静
2023, 39(7): 1657-1664. DOI: 10.3969/j.issn.1001-5256.2023.07.020
摘要(1173) HTML (258) PDF (2570KB)(96)
摘要:
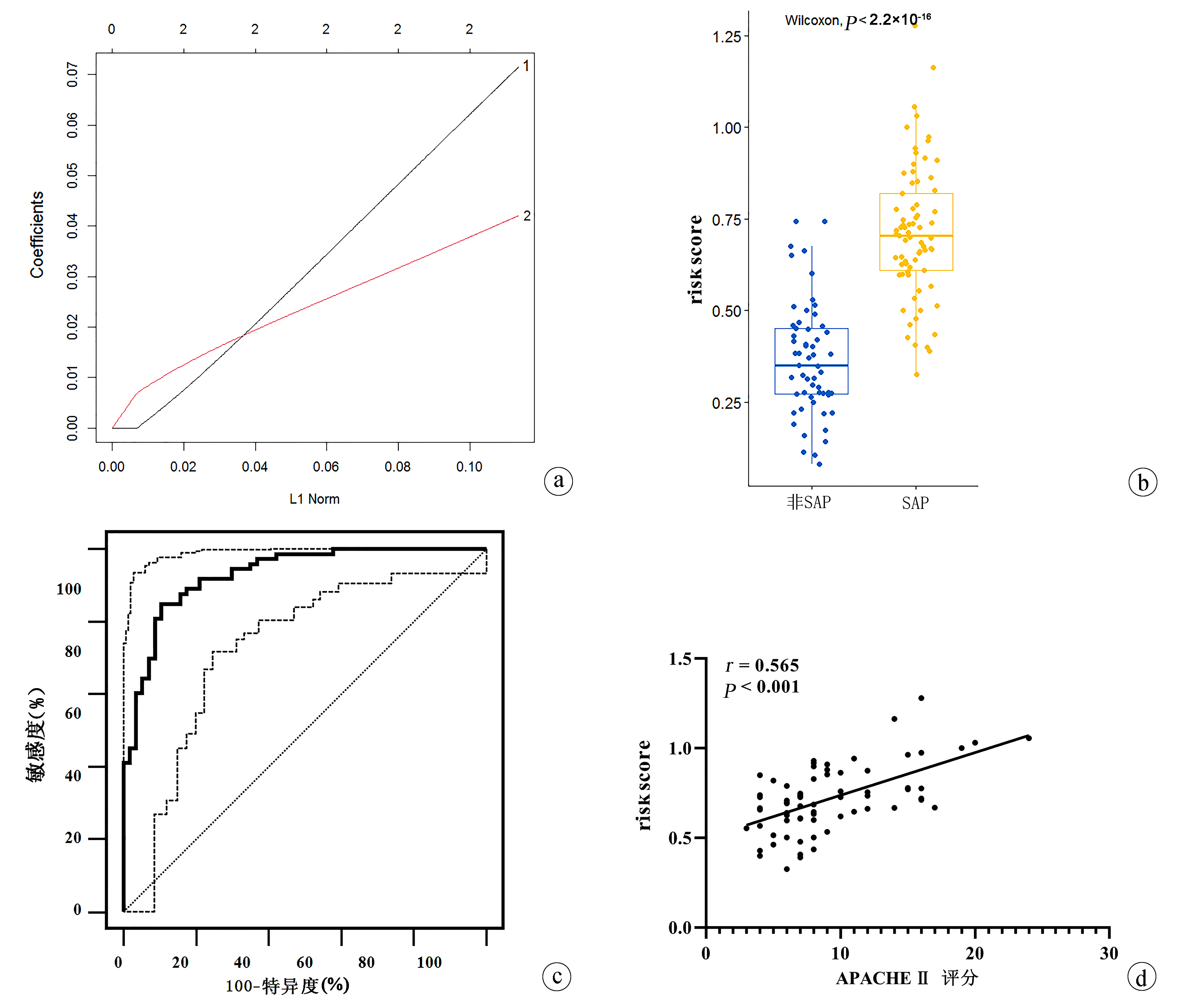
  目的  评估血清细胞因子在重症急性胰腺炎(SAP)早期诊断中的价值, 并利用LASSO算法构建复合指标的数理模型以提高对SAP诊断的准确性。  方法  纳入2019年1月-2022年6月在常熟市第一人民医院就诊的130例急性胰腺炎患者, 其中SAP患者73例, 非SAP患者57例。收集所有患者的外周血清样本并通过Luminex xMAP液相芯片技术完成13种血清细胞因子的精准检测。同时, 所有患者均进行APACHE Ⅱ、BISAP和CTSI评分。使用Kolmogorov-Smirnov法进行正态性检验, 对符合正态分布的计量资料两组间比较采用成组t检验; 对非正态分布的计量资料两组间比较采用Mann-Whitney U检验。计数资料两组间比较采用χ2检验。此外, 通过二元Logistic回归分析评估细胞因子对SAP的影响, 应用线性回归分析评估细胞因子与SAP疾病的严重程度之间的关联。偏相关分析在校正协变量(年龄、性别、BMI、高血压、糖尿病病史)后分析细胞因子与SAP疾病的严重程度评分的关联性。利用LASSO算法构建复合指标的数理模型, 并采用受试者工作特征曲线(ROC曲线)分析血清细胞因子对SAP临床诊断的效能, 计算曲线下面积(AUC)。  结果  非SAP组APACHE Ⅱ、BISAP和CTSI评分、改良Marshall评分均低于SAP组, 差异均有统计学意义(P值均 < 0.001)。SAP组患者IFN-γ、IL-1β、IL-6、IL-8、TNF-α水平均高于非SAP组, IL-12水平明显低于非SAP组, 差异均有统计学意义(P值均 < 0.05)。Logistic回归分析结果显示, IFN-γ(OR=1.190, 95%CI: 1.036~1.367, P=0.014)、IL-6(OR=1.148, 95%CI: 1.070~1.231, P < 0.001)和TNF-α(OR=1.100, 95%CI: 1.048~1.155, P < 0.001)为SAP的独立影响因素。偏相关分析提示, 在校正了性别、年龄、BMI、慢性疾病史(糖尿病、高血压)后, SAP患者IL-6和TNF-α的水平与APACHE Ⅱ评分均呈显著正相关(IL-6:r=0.503, P < 0.001;TNF-α: r=0.557, P < 0.001)。线性回归分析显示, SAP患者中IL-6和TNF-α水平均与APACHE Ⅱ评分有关(IL-6:β=0.049, P=0.044;TNF-α: β=0.054, P=0.046), 且IL-6和TNF-α存在交互作用, 影响APACHE Ⅱ评分。ROC曲线分析显示, LASSO算法联合IL-6和TNF-α构建的风险评分区分SAP和非SAP的AUC值最大(AUC=0.925), 而IL-6和TNF-α的AUC分别为0.885、0.878;偏相关分析发现, 在校正性别、年龄、BMI、慢性疾病史(糖尿病、高血压)后, SAP患者风险评分与APACHE Ⅱ评分呈显著正相关(r=0.565, P < 0.001)。  结论  血清IL-6和TNF-α水平可反映AP疾病严重程度。联合血清IL-6和TNF-α构建的风险评分可显著提高SAP早期诊断的准确性, 对SAP的临床诊疗具有重要的临床价值。
短篇论著
4例不同类型胆管损伤型药物性肝损伤的临床病理特点分析
张天鹏, 叶立红, 高红霞, 董金红, 王翀奎
2023, 39(7): 1665-1672. DOI: 10.3969/j.issn.1001-5256.2023.07.021
摘要(1008) HTML (410) PDF (2634KB)(89)
摘要:
  目的  对比观察不同类型胆管损伤型药物性肝损伤(DILI)患者的临床、生化、病理、病程及预后特点。  方法  选取石家庄市第五医院2015年3月-2020年10月经肝穿刺组织病理明确诊断为胆管损伤型DILI 4例患者。收集患者的临床资料、历次实验室检查、影像学检查及预后情况, 并对肝脏病理形态进行半定量评分, 对比分析4例患者各指标之间的差异。  结果  胆管损伤型DILI女性患者多见, 多数预后较好。胆管损伤的部位、级别、范围及再生修复不同, 其相应的临床症状、肝生化指标及预后亦不同。  结论  肝穿刺组织病理仍然是胆管损伤型DILI明确诊断、了解病变损伤情况及判断预后的金标准。
病例报告
肝移植治疗难治性肝炎性肌纤维母细胞瘤1例报告
解鸿跃, 周喆聿, 邵光鑫, 孙玖玖, 徐晓亮, 孙倍成
2023, 39(7): 1673-1677. DOI: 10.3969/j.issn.1001-5256.2023.07.022
摘要(1038) HTML (315) PDF (2281KB)(68)
摘要:
胆囊颈原发性不典型性上皮样血管内皮瘤1例报告
杨婕, 夏成茂, 刘喆, 朱萌, 舍雅莉
2023, 39(7): 1678-1680. DOI: 10.3969/j.issn.1001-5256.2023.07.023
摘要(788) HTML (209) PDF (4002KB)(72)
摘要:
综述
脂毒性在非酒精性脂肪性肝炎中的作用机制
郅果果, 穆杰, 邵冰杰, 王东
2023, 39(7): 1681-1686. DOI: 10.3969/j.issn.1001-5256.2023.07.024
摘要(793) HTML (1031) PDF (1755KB)(99)
摘要:
非酒精性脂肪性肝炎(NASH)作为非酒精性脂肪性肝病(NAFLD)病情加剧的重要环节, 炎症和肝损伤是该阶段的重要病理学特征。脂毒性作为NASH的致病机制之一, 能够通过多种途径调控肝脏的炎症和肝细胞凋亡。本文从炎症和肝细胞凋亡两个层面重点阐述脂毒性对NASH的具体调控机制, 其中涉及了多种肝脏非实质细胞和JNK、NF-κB、caspase介导的细胞凋亡等信号通路, 为临床NASH的诊断和治疗提供了新思路。
铁死亡在非酒精性脂肪性肝病发病和治疗中的作用
吴龙云, 鲁晓岚
2023, 39(7): 1687-1695. DOI: 10.3969/j.issn.1001-5256.2023.07.025
摘要(1683) HTML (684) PDF (2290KB)(124)
摘要:
铁死亡是以铁依赖和脂质过氧化为特征的非凋亡性细胞死亡方式。非酒精性脂肪性肝病(NAFLD)是以脂肪浸润为主要病理特征,与胰岛素抵抗和遗传易感性密切相关的一类代谢性疾病。肝脏单纯脂肪变性向脂肪性肝炎转变的机制仍不清楚,有研究发现肝细胞性铁死亡可能是脂肪性肝炎炎症启动的触发因素。本综述重点关注铁代谢异常和脂质过氧化在促进NAFLD发生及发展中的作用,并归纳总结一些铁死亡相关抑制剂在NAFLD治疗中的应用前景。
粪肠球菌在酒精性肝病中的研究进展
古镈源, 肖胜友, 刘琛, 程永浪, 付文广
2023, 39(7): 1696-1702. DOI: 10.3969/j.issn.1001-5256.2023.07.026
摘要(888) HTML (851) PDF (1746KB)(62)
摘要:
酒精性肝病(ALD)是世界范围内最常见的慢性肝病之一,包括脂肪变性、脂肪性肝炎、纤维化和肝硬化不同阶段。粪肠球菌是医院常见获得性感染菌群,对于酒精性肝炎患者预后具有重要影响。本篇综述重点介绍了ALD的发病因素和粪肠球菌的致病机理,总结了粪肠球菌在ALD中的研究进展,简述了临床上对于粪肠球菌感染的检测和治疗方法。由于临床上感染溶细胞性粪肠球菌的ALD患者死亡率极高,因此深入认识粪肠球菌成为当下重要问题。
提高酒类消费税对中国酒精性肝病管理的有效性分析
张飞宇, 肖鹏, 刘雅丽, 柳涛, 高沿航
2023, 39(7): 1703-1707. DOI: 10.3969/j.issn.1001-5256.2023.07.027
摘要(736) HTML (357) PDF (1707KB)(68)
摘要:
提高酒类消费税经世界卫生组织证实为最具成本效益的降低人口层面酒精消费的公共政策。近年来,国外研究认为提高酒类消费税可改善酒精相关性肝病(ALD)疾病负担,但其是否适用于我国ALD管理尚不明晰。因此,本文结合国内外研究证据,从管理我国ALD的角度,分析了影响提税政策有效性的关键因素,包括税负转嫁、需求价格弹性及无记录酒,并介绍了其他有助于ALD管理的公共政策。认为现阶段提高酒类消费税对改善我国ALD疾病负担是有用但并非有效的政策措施。
核因子E2相关因子2/血红素加氧酶-1(Nrf2/HO-1)信号通路在酒精性肝病中的作用
马成, 杨慧
2023, 39(7): 1708-1713. DOI: 10.3969/j.issn.1001-5256.2023.07.028
摘要(2112) HTML (3555) PDF (2315KB)(157)
摘要:
酒精性肝病(ALD)在我国的发病率逐年上升,国民的疾病负担日益增加。肝细胞的氧化应激反应是ALD的重要致病机制。核因子E2相关因子2/血红素加氧酶-1(Nrf2/HO-1)信号通路是人体重要的内源性抗氧化应激通路,在氧化应激作用下,Nrf2被激活并发挥其转录活性诱导HO-1高表达。HO-1是体内重要的氧化应激反应蛋白,与其血红素酶解产物(胆红素、CO、铁)共同发挥着抗炎、抗氧化及调控细胞凋亡的作用。本文将对近年来Nrf2/HO-1信号通路在ALD中的研究进展进行综述,力求为ALD的发生发展寻找理论依据及治疗切入点。
部分脾动脉栓塞治疗肝硬化脾功能亢进的作用机制
李宗伟, 汪桠琴, 张跃伟
2023, 39(7): 1714-1720. DOI: 10.3969/j.issn.1001-5256.2023.07.029
摘要(1718) HTML (308) PDF (1732KB)(108)
摘要:
脾功能亢进(脾亢)是由肝硬化、门静脉高压引起的常见并发症,目前临床治疗脾亢的主要方式是脾切除和部分脾动脉栓塞(PSE)。脾切除治疗脾亢效果确切,可显著改善脾亢患者临床症状。相比于脾切除,部分脾动脉栓塞通过栓塞脾动脉分支使部分脾实质梗死,能够达到与部分脾切除术相似的临床疗效,并保留脾脏及脾脏自身功能。虽然PSE是治疗脾亢的有效方法,但是目前国内外关于PSE对肝纤维化、免疫及肝再生影响的研究报道并不多。本文总结了脾亢发生的常见病因、PSE治疗脾亢机制、不同栓塞方法和材料的治疗效果,以及PSE对肝纤维化、免疫及肝再生的影响,为临床脾亢治疗提供理论依据和新的思路。
利伐沙班治疗肝硬化门静脉血栓的研究进展
刘双, 赵东强
2023, 39(7): 1721-1727. DOI: 10.3969/j.issn.1001-5256.2023.07.030
摘要(2044) HTML (471) PDF (1882KB)(171)
摘要:
门静脉血栓(PVT)是肝硬化常见并发症之一,与肝病的不良预后有关。新型直接口服抗凝药物利伐沙班通过直接作用于Ⅹa因子的活性中心,抑制凝血酶的生成从而发挥抗栓作用,具有直接口服、无需监测国际标准化比值等优势,是肝硬化PVT长期抗凝治疗的新选择。近年来,越来越多的临床研究表明利伐沙班治疗肝硬化PVT相对安全、有效,但在目前的临床实践中利伐沙班治疗肝硬化PVT的应用经验仍很少,个体化用药方案尚未明确。本文综述了利伐沙班治疗肝硬化PVT的研究进展,以期为肝硬化PVT的临床治疗提供新思路。
脑乳酸水平与肝性脑病的关系
刘玉琴, 陈密, 唐兰燕, 周丽智, 黄鑫, 张磐
2023, 39(7): 1728-1733. DOI: 10.3969/j.issn.1001-5256.2023.07.031
摘要(824) HTML (370) PDF (2047KB)(60)
摘要:
肝性脑病(HE)是肝硬化患者常见的并发症,也是肝硬化患者死亡的独立危险因素。脑乳酸水平与HE的进展及严重程度相关,对于脑乳酸水平的研究有助于进一步解释HE的发病机制。本文通过总结脑乳酸代谢过程、脑乳酸水平与HE的关系、HE潜在治疗靶点,为临床医生进一步系统地评估HE患者的病情进展、治疗效果及预后情况提供一定的参考依据,旨在减轻患者医药负担,改善HE患者预后。
脂多糖在肝癌发生发展中的作用
王涛, 王权, 宋立华, 段学章
2023, 39(7): 1734-1739. DOI: 10.3969/j.issn.1001-5256.2023.07.032
摘要(822) HTML (468) PDF (2242KB)(114)
摘要:
肝癌是世界范围重大的公共卫生疾病。近来随着高通量测序及基因编辑技术的进步,肠道微生物群通过“肝-肠轴”途径在肝癌发生、进展及转移过程中的生物学机制被进一步揭示,特别是发现革兰阴性细菌外膜脂多糖可动员下游一系列致癌相关免疫级联反应。本文从肠道环境改变与肝癌发生的关系、脂多糖免疫调控、临床前治疗研究等方面,对肠道微生物脂多糖在肝癌发生发展中的可能作用机制进行了综述。
不可切除肝细胞癌的经肝动脉化疗栓塞术联合靶向药物或程序性死亡受体1及其配体单抗治疗进展
彭秋菊, 戴涛, 谢贵波, 陈金军, 程笑, 晏媛
2023, 39(7): 1740-1746. DOI: 10.3969/j.issn.1001-5256.2023.07.033
摘要(879) HTML (295) PDF (1735KB)(76)
摘要:
经肝动脉化疗栓塞术(TACE)被国内外指南推荐用于不可切除肝细胞癌(uHCC)患者的治疗,是uHCC患者最常用的治疗方法之一。TACE治疗HCC常用的化疗药物包括表柔比星、顺铂、氟尿嘧啶等,不过哪种化疗药物更优效还不清楚。本文总结了近5年关于使用不同化疗药物的TACE方案治疗uHCC患者的研究。TACE联合索拉非尼显著改善中晚期HCC患者的生存,已被中国临床肿瘤学会指南推荐用于这类患者,TACE联合其他酪氨酸激酶抑制剂(TKI)的疗效也成为研究热点。研究提示TACE联合仑伐替尼较TACE联合索拉非尼治疗晚期HCC患者的中位无进展生存期显著更高、中位总生存期有提高的趋势。而由于靶受体或下游信号的变异,分子靶向药物耐药仍然是一个挑战性问题。TKI结合免疫检查点抑制剂的治疗对uHCC患者可能是一个有希望的策略。一些研究初步提示TACE联合TKI及程序性死亡受体1及程序性死亡受体及其配体(PD-1/PD-L1)单抗的三联治疗在改善uHCC患者生存方面有较佳的疗效。本文综述了近5年TACE联合靶向药物、TACE联合PD-1/PD-L1单抗治疗uHCC患者的疗效与安全性研究。
过氧化物酶体增殖物激活受体(PPAR)在肝脏疾病中的作用及潜在意义
冯帅霞, 徐莹, 韩涵
2023, 39(7): 1747-1753. DOI: 10.3969/j.issn.1001-5256.2023.07.034
摘要(3371) HTML (7212) PDF (1940KB)(682)
摘要:
过氧化物酶体增殖物激活受体(PPAR)是细胞核雌激素受体家族成员,参与多种体内生理病理过程,在细胞代谢、炎症及癌症等方面发挥重要作用,目前已知PPAR受体分3种亚型,分别为α、β/δ和γ。研究发现PPAR在肝脏中高度表达,广泛参与肝脏能量代谢、氧化应激、炎症等多种生理病理活动,与肝脏疾病的进展密切相关。本文就PPAR在病毒性肝炎、代谢相关脂肪性肝病、胆汁淤积性肝病、肝纤维化、原发性肝癌等常见肝脏疾病中的作用及其在肝脏疾病治疗中的应用现状作一综述。
胆汁淤积性肝病动物模型构建的研究进展
张清清, 曲颖, 蔡晓波, 陆伦根
2023, 39(7): 1754-1760. DOI: 10.3969/j.issn.1001-5256.2023.07.035
摘要(1096) HTML (817) PDF (1728KB)(166)
摘要:
胆汁淤积性肝病(CLD)是一类由免疫、遗传、环境等因素导致胆汁流动障碍,从而造成胆汁酸在肝脏和/或循环中的淤积的疾病。CLD发病机制尚未完全明确,且治疗困难,动物模型作为人类疾病的替代对象,可以为探索疾病的病因病理及寻找合适的治疗靶点提供平台,本文就目前CLD动物模型的研究进展作一综述。
国外期刊精品文章简介
Hepatology International|干扰素联合核苷类似物治疗儿童慢性乙型肝炎的效果
2023, 39(7): 1534-1534. DOI: 10.3969/j.issn.1001-5256.2023.07.gwjpwzjj1
摘要(468) HTML (221) PDF (750KB)(50)
摘要:
International Hepatology|细胞内游离铁是铁调素表达和铁代谢的关键调节子
2023, 39(7): 1686-1686. DOI: 10.3969/j.issn.1001-5256.2023.07.gwjpwzjj2
摘要(563) HTML (397) PDF (756KB)(38)
摘要:
消息
《临床肝胆病杂志》被荷兰Embase数据库收录
2023, 39(7): 1677-1677.
摘要(267) HTML (213) PDF (906KB)(31)
摘要:
致谢
本期审稿专家
2023, 39(7): 1585-1585. DOI: 10.3969/j.issn.1001-5256.2023.7.zhixie1
摘要(409) HTML (150) PDF (748KB)(37)
摘要: